以下文章来源于战术导弹技术 ,作者张亚坤 曾凡等
本刊创刊于1980年,中文核心期刊,是为导弹的研究、设计、制造、试验、使用等服务的学术期刊。该公众号旨在及时发布刊物出版服务信息,定期推送优秀论文、选题指南、征稿启事,传播论文写作知识,以及动态资讯等。
专家库 | 人才库 | 企业库 | 项目库 | 投资机构库 | 招商信息库 | 前沿特攻队招募
前沿君微信:tech9999 手机:18501361766
转自:战术导弹技术
本文选自《战术导弹技术》2019年第1期
作者:张亚坤,曾凡,戴全辉,武振波
摘要:雷达智能隐身技术是未来体系对抗、电磁频谱作战条件下雷达隐身技术发展的主要方向,但是目前雷达智能隐身技术发展还在起步阶段,仍存在一些基础性方向性的问题尚未解决。针对此问题,在介绍雷达隐身技术智能化的发展需求及概念的基础之上,对国内外正在研究的可调节/重构隐身技术、有源对消技术、智能蒙皮等进行分类、梳理,总结展望雷达智能隐身技术未来发展趋势,并对其未来发展方向提出了建议。
关键词:雷达智能隐身; 智能蒙皮; 可调节/重构隐身技术; 有源对消技术
随着体系对抗条件下反隐身技术的不断发展,未来飞行器全作战流程将面临着全频谱的战场威胁环境,现有隐身结构材料等技术全频段兼容不够宽、宽波段性能不均、可调可控性差,不能有效支撑未来体系作战下隐身技术多频谱平衡、多特征域综合等隐身发展需求。因此在飞行器自主作战发展形势下,隐身技术要向自适应、智能化方向演变,不仅解决传统雷达隐身技术的缺陷,而且帮助提升飞行器突防作战能力和智能化水平。
雷达智能隐身集感知、决策、执行于一体,能够自主感知战场威胁电磁波,分析其工作波段、入射方向等参数,并能根据威胁的特点产生或选择最佳的隐身方案,最后能够对自身进行调整,实现隐身。目前国内外对雷达智能隐身相关技术的研究主要集中在可调节/重构结构材料、有源对消、智能蒙皮等方向。本文根据这些技术在飞行器上的应用,对其进行分类并对研究现状进行介绍,并就未来雷达智能隐身的发展趋势和方向进行总结和展望。
可调节/重构智能隐身技术
可调节/重构智能隐身技术主要是通过可调节/重构结构和材料实现。目前,国内外对可调节/重构结构和材料的研究,按照用途可以分为两种,一种是应用到隐身电磁窗口上,另一种是应用到机体蒙皮上。
1.1电磁窗口用可调节/重构隐身结构和材料
由雷达天线、天线罩及雷达仓内高频部件组成的雷达天线系统是飞行器头部区域的一个强散射源,其隐身效果直接影响飞行器的隐身性能,所以隐身天线罩的设计至关重要。隐身天线罩的设计要求是其谐振频率完全落在我方雷达的中心频率上,通带为我方雷达的工作频段,通带外则呈现反射特性或吸收特性。
目前国内外正在研究的智能频率选择表面、可控电磁屏蔽材料等均可用于隐身天线罩的设计中,不仅可以实现谐振频率完全落在我方雷达的中心频率上,通带为我方雷达的工作频段,通带外则呈现反射特性的设计要求,而且可以实现通带的开关特性可控,谐振频率可调,使其具有智能隐身性能。
1.1.1智能频率选择表面
频率选择表面(FSS)是由大量无源谐振单元组成的单屏或多屏周期性阵列结构,由周期性排列的金属贴片单元或在金属屏上周期性排列的孔径单元构成。它能有效地控制电磁波的反射和传输特性,其实质是一种空间滤波器。
智能频率选择表面是在传统的FSS周期单元上加载光控、电控变容二极管等微波器件,实现对FSS的主动控制,包括谐振点的变频控制、稳频控制等。智能FSS具有自调谐功能,在雷达隐身应用中具有很大的灵活性。智能FSS有开关型和变频型两类。
开关型智能FSS材料是通过PIN二极管直流正、反偏置电压下的阻抗特性,进而控制FSS谐振特性;这种开关型智能FSS只能实现通带的开关,不能实现谐振频率的连续可调。2007年,澳大利亚麦考瑞大学的Ghaffer I. Kianil等,研究了一种圆环形主动FSS,通过PIN二极管控制中心频点为2.45GHz通带的开关。2008年,韩国延世大学的Kihun Chang等,研究了PIN二极管有源FSS,实现了中心频点为2.3GH通带的开关。
变频型智能FSS材料可以通过电控变容二极管或电控各向异性介质(如液晶材料),控制FSS等效回路的阻抗特性,从而控制FSS谐振特性,能够实现智能FSS在特定频段内谐振频率连续可调。2008年,英国贝尔法斯特女王大学的A. Munir等证实了通过调节加载变容二极管偏置电压能够控制主动FSS传输特性,其通带中心频点在2.9GHz~3.2GHz可调,阻带中心频点在2.65GHz~2.85GHz可调。2009年4月的美国专利(US7525711B1)展示了一种在超材料SRR开口上填充光感电容材料的有源FSS,通过光辐射调节开口处电容来实现中心频点的连续可调。2007年,英国贝尔法斯特女王大学的研究人员利用130μm厚的液晶层分隔2层孔径型单元阵列,形成了一种智能FSS,通过加载10V的电压信号使液晶介电常数升高,实现D波段(110GHz~170GHz)通带可调。另外,宾夕法尼亚州立大学的Douglas H. Werner于2008年研究了一种智能FSS:在传统FSS上覆上一层1μm厚的液晶层,通过加载时变电场磁场或偏振激光来改变液晶分子取向,使液晶介电常数在2~4之间变化,实现阻带中心频点在90GHz~110GHz可调。
如果将PIN二极管和变容二极管混合使用,则既可以实现通带的开关,又可以实现通带的中心频点连续可调。2009年,英国肯特大学的B. Sanz-Izquierdo等,用PIN二极管和变容二极管分别实现中心频点在2.5GHz附近的通带开关和连续调节。
图1 一种智能频率选择表面实物图
1.1.2可控电磁屏蔽材料
可控电磁屏蔽材料可以通过控制外界条件改变材料的透波特性,比如通过改变外界的光照条件、电压、温度等。
等离子对雷达波具有折射和吸收衰减作用,可用于隐身雷达天线罩的设计。可将等离子体或惰性气体灌充于双层蒙皮之间,当雷达天线处于工作状态,通过开关切断等离子体激励电源,惰性气体处于非电离状态,雷达波可正常穿过雷达天线罩。当雷达需要隐身时,打开高压激励电源,产生高密度等离子体,雷达波将不能通过天线罩,并且会对来波进行吸收和衰减,使回波大幅度减小。通过调整灌入的惰性气体的密度及电压,调整等离子体的密度,可以实现对不同频段电磁波的屏蔽和吸收。
光致导电材料是是遇光导电的一种材料。有光照时,光致导电材料中会积累自由电子,使材料成为近似于金属特征的“准导体”材料;光照停止后,自由电子与空穴复合,导电能力下降,电阻恢复原值。具有光致导电特性的常用材料有硅、锗、锑化铟、硫化镉、砷化铟、硒化镉、硫化铅、锑化铟等,传统上使用最广泛的是硅、锗。硫化镉(CdS)光致导电材料具有响应速度快、坚固、良好的温度稳定性的优点,因而在智能隐身材料领域有着良好的应用前景。
美国休斯公司申请了“应用光导材料实现开关式电磁干扰屏蔽与防护的方法和装置”专利,该专利介绍了利用硫化镉、硒化镉等多种光致导电材料实现一种开关式电磁屏蔽系统,以及实现电磁干扰敏感器件的外部电磁辐射保护装置的思路和步骤。2004年1月的《国际防空回顾》报道了俄罗斯采用硫化镉或硒化镉光电薄膜材料,为其苏-35战斗机机载雷达研究了一种光可控的雷达隐身天线罩。在2005年的欧洲隐身会议上,俄罗斯科学院电磁理论和应用研究所提出了光控隐身天线罩。当光照天线罩内表面时,天线罩将雷达波偏离威胁方向反射,当光源关闭时,天线罩呈透波状态,满足雷达天线工作要求。
1.2机体蒙皮用可调节/重构结构和材料
可调节/重构吸波结构和材料除了可以用作隐身电磁窗口之外,还可以用作机体蒙皮,使机体蒙皮具有智能隐身性能。目前,这类结构和材料主要有导电高分子材料、动态自适应雷达吸波结构、有源电磁超材料等。
1.2.1导电高分子材料
导电高分子材料是19世纪70年代发展起来的新材料,由于其既具有金属和无机半导体的电学和光学特性,又具有有机聚合物的可加工性,得到广泛的关注和研究。
导电高分子材料的高分子经化学或电化学“掺杂”,可使其由绝缘体转变为导体,而且这个过程是可逆的,施加一定的条件,导电高分子聚合物可以“脱掺杂”,由导体转变为绝缘体。因此对其电磁参数可进行主动控制调节,从而实现对目标电磁散射及传输特性的控制。
英国谢菲尔德大学对一种导电聚合物在不同电压下的吸波性能进行了研究,这种导电聚合物的成分为PANiHBF4、PEO、银(12%,质量分数)、AgBF4(12%,质量分数)。该导电聚合物的电磁参数会随着外加电压而改变,当导电聚合物施加电压后,会发生如下反应:
其中,反应式左边易导电,反应式右边不易导电,施加电压后,反应向着易导电的方向进行。通过施加不同的电压,调节导电聚合物的电磁参数,控制电磁波的传输和反射特性。施加5V电压相对不施加电压的情况,反射率峰值变化如图2所示。
图2施加电压后反射率峰值变化曲线
用两层导电聚合物配置成Jaumann雷达吸收体,每层导电聚合物的电磁参数都可以调节,这样可使该吸收体具备宽频吸波的能力。图3为用导电聚合物配置成的Jaumann雷达吸收体在施加不同电压后的反射率与频率的关系。从图3中可以看出,通过调节电压,动态调整每层导电聚合物的电磁参数,可以使吸收峰处在不同的频段。
图3 两层可调阻抗Jaumann雷达吸收体不同频率下的吸收峰调节特性
1.2.2动态自适应雷达吸波结构
动态自适应雷达吸波结构可以根据入射电磁波的频段,做出调整使自身吸收峰处于入射电磁频段内。目前这种动态自适应雷达吸波材结构的一种实现方式是通过恰当的材料选取和结构设计,将智能FSS与吸波材料复合。这种方式可以实现吸波结构频率特性动态可调。
英国Tennat和Chambers用PIN二极管控制的智能FSS实现了动态自适应雷达吸波结构,吸收体是建立在Salisbury screen基础上的平面结构,如图4所示。其频率选择表面阵列结构如图5所示,利用标准的光刻技术在0.8mm厚的PCB板上构造FSS。FSS单元为两个弓形相联的偶极子,用于提供宽带响应,通过手焊技术将PIN二极管载入每个偶极子的中心处,以实现阻抗动态可调,板的尺寸为185mmX 235mm,包含180个偶极子单元(15x12)。
图4单层平面吸收体和传输线模型
图5动态频率选择表面阵列结构
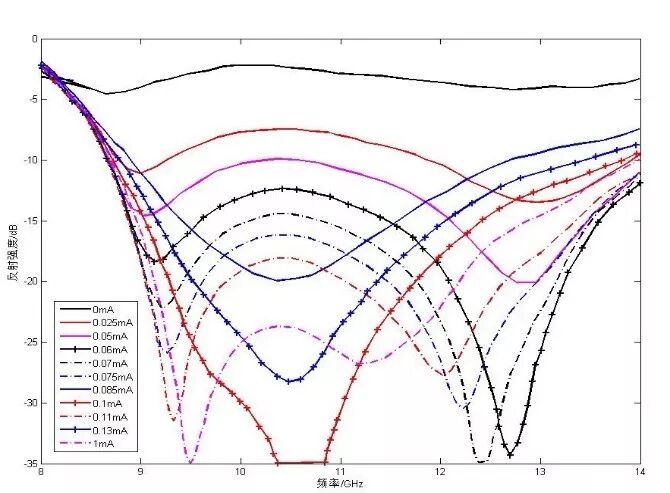
这种结构吸收体与传统的被动吸收体相比有更宽的带宽,而且实验结果证实,通过控制PIN二极管的栅流,在9GHz~13GHz频段吸收体的反射率动态可调,如图6所示。
图6不同二极管栅流条件下的吸收体反射率曲线
国内也有对基于智能FSS构造动态自适应雷达吸波结构的研究工作,华中科技大学在北京机电工程研究所的支持下设计了图案近似蝶形偶极子的贴片电阻加载的有源频率选择表面可调吸波体,通过改变加载电阻值,可动态调整吸波体反射率强弱,调整PIN二极管激励电压大小可实现一定频率范围内的吸波性能连续调制。其设计实物如图7所示。
图7一种动态自适应雷达吸波结构
1.2.3电磁超材料
电磁超材料可以制成吸波体,也可以用来进行相位调控。如果在超材料的设计中加入有源器件,可以对其吸波特性和反射相位进行动态调控。
通过调节超材料介质层的电磁参数,可以实现其谐振频率和谐振强度的改变。中国计量学院的程伟等曾采用双开口谐振环结构,用温度敏感材料锑化铟作为介质层,通过控制温度变化改变介质层的介电常数,从而实现其吸波频可调。南京航空航天大学的李珍珍等将半导体硅圆环嵌入到超材料吸波体结构的金属双环之间,通过改变半导体硅的电导率,内外金属环在短路和断路之间进行变换,从而实现谐振频点在两个频点之间进行变换。但是这种调节并不是连续的。
如果在超材料吸波结构的设计中加入变容二极管,通过控制偏置电压的大小可以实现其谐振频率的连续可调。国内曾有研究人员提出了一种微波段的基于电磁超材料的可谐调型吸收器,如图8所示,RF4基板的厚度为2 mm,底部镀有金属铜,正面由金属谐振环及微波二极管构成阵列,其中每个单元由两个金属谐振环以及一个微波二极管耦合在一起。只要改变二极管偏压的极性或者二极管与金属谐振环的耦合位置,就能够调节吸收器的吸收频带。
图8 一种可调超材料吸波结构
超表面是用来调控电磁波的相位、极化和吸收的一种超材料。通过对电磁波相位进行调控,可以实现对照射到其表面的反射回波进行赋形控制。如果将电调技术加入到超表面中,则能够动态控制反射回波方向图。一般情况下为了获得大的相位调节范围,普遍使用变容二极管加载或MEMS二极管加载。
2006年,Sean V. Hum基于MEMS的可调电容(能够克服压控二极管的损耗以及非线性效应),通过调节变容二极管的反向偏压,改变反射单元电长度,从而改变谐振频率。
2010年来自美国杜克大学的Thomas Henry Hand 提出基于互补CELC谐振器超材料的可重构反射阵列。通过变容二极管调节CELC单元的谐振频率,实现反射系数相位角的空间梯度分布,这一梯度分布可以用来将正常入射的平面波偏转到可控的非镜面方向。
2015年Amin Tayebi提出利用双矩形环单元(内环由金属贴片代替)电调反射面实现动态波束赋形,如图9所示为其单元与阵列结构。他们具体分析了变容二极管加载的方环与矩形贴片组成单元的全波仿真结果与等效电路模型。所提单元反射相位变化范围在F波段达到335°、S波段达到340°,这使得该反射阵列可以在 ±60°范围内实现波束偏转。
图9反射阵列单元结构及阵列布局
国内对有源电磁超表面也有研究工作。东南大学崔铁军课题组开展了“人工电磁随机表面”的研究。设计了多种电磁随机表面。通过调整反射阵列单元的反射相位,可使各阵元的反射相位在360°内均匀、随机地分布,将金属目标镜面反射峰值打散成一个无规律、杂乱的散射的波,从而降低雷达侦测。图10所示为其课题组于2016年设计的可重构超表面反射阵列。利用FPGA通过控制PIN二极管通断改变棋盘晶格(子阵)尺寸,实现散射波束扫描控制。PIN二极管导通与断开时,单元反射相位相差180°。
图10可重构超表面反射阵列及其测试装置
有源对消隐身技术
有源对消技术是一种主动隐身技术,利用相干手段使目标散射场和人为引入的辐射场在敌方雷达探测方向相干对消,而减弱敌方雷达接收到的目标真实回波,达到隐身的效果。
将有源对消技术应用到智能隐身系统中,通过自主感知威胁电磁信息,并分析其入射方向,工作频段,极化特性、相位和幅度等参数,然后计算出最佳的对消电磁波方向、幅度、相位等参数,最后生成控制指令,产生对消场,理论上有源对消可以使目标的RCS趋近于0。图11是一种有源对消装置概念示意图。
图11一种有源对消装置结构示意图
美国上世纪90年代就开始秘密研究有源对消隐身技术,有报道称其B-2隐身轰炸机上的ZSR-63防御电子设备就是一种有源对消系统。法国MBDA公司与Thales公司正在合作研发一种有源隐身智能蒙皮,用共形收发机检测并抵消探测雷达信号,用来降低进气道、导弹导引头的RCS,应用的就是有源对消原理。
国内电子集团29所早在1997年就开展了主动对消技术的电磁理论分析及相位抵消条件的论述,并指出主动对消和有源/无源干扰技术结合起来将会极大降低目标的雷达散射特征,但是后续研究工作未见公开报道。海军航空工程学院于2010年前后在基于RCS分析的基础上进行了有源对消的理论研究,将复杂目标分解为多个散射中心的组合,对这些散射中心与人为引入的辐射源进行RCS的理论求解,从理论上给出了实现对消所需要的对消波的幅度与相位条件,以及幅值差和相位差的存在对对消效果的初步理论分析。
智能隐身蒙皮技术
智能蒙皮这一技术构想是在20世纪80年代由美国空军提出的,在装备的外壳内植入智能结构以用于监视、预警、隐身和通信等。用于隐身的智能蒙皮可以根据电磁威胁频段、方位等信息,自主调节自身结构内部的电磁参量,使得电磁散射信号返回最小。目前智能蒙皮技术发展以美国为主导,已经在包括F22、F35、F18升级型及X系列等多种机型上测试和应用。欧盟、俄罗斯、日本等国也均有大量的研究。下面主要介绍具有隐身功能的智能蒙皮的研究情况。
2012年,美国雷神公司开发了“透波率可控人工复合蒙皮材料”,该材料采用嵌入了可变电容的金属微结构频率选择表面,通过控制加载在可变电容上的偏置电压,可以改变频率选择表面的电磁参数,从而实现材料透波特性的人工控制,可应用于各种先进雷达系统和下一代隐身战机的智能隐身蒙皮。2015年4月份,由NASA和美国空军支持的“系统研发型飞行器”(Systems Research Aircraft,SRA)项目在超材料智能蒙皮技术上取得重大突破。该技术利用超材料设计,将F/A-18“大黄蜂”的垂尾改进成为机载通信天线和合成孔径雷达,从而实现超材料智能蒙皮的共形设计。该智能蒙皮可实现低可探测性的指标,目前已经广泛应用在F-22、F-35、全球鹰无人机上,用以提高隐身性能。
除了应用在飞机上,美国海军也在研究将光纤智能蒙皮应用于舰船表层的电磁隐身问题,从而提高舰船和潜艇的隐身性能。美国弹道导弹防御局也计划将光纤传感器构成的智能蒙皮集成进导弹天基防御系统中,从而对敌方威胁做出精确判断。
2007年8月,莫斯科航展展出了俄罗斯战斗机苏-35BM,其已提前使用了俄罗斯第五代战机“未来前线战斗机”(PAK-FA)T-50的称为“智能蒙皮”的电子战系统设计,即在机身各处分布150个天线。2011年,日本宣称完成了“智能蒙皮机体构造的研制”,将用于心神战机的研制。2016年,日本首架自主研制的“心神”隐形试验机完成首飞。据美国《航空周刊》网站报道,西门子与英国航宇系统公司正在开展应用于欧洲战斗机样机的智能蒙皮的研制工作。该蒙皮将可实现雷达、辅助通信以及作为主动隐身系统的功能。法国MBDA公司与Thales公司正在合作研发一种有源隐身智能蒙皮,采用有源对消原理,用共形收发机检测并抵消探测雷达信号,用来降低进气道、导弹导引头的RCS。
04
雷达隐身智能化发展分析
智能隐身技术是一个包括信息感知与获取,数据处理、反馈控制技术以及材料技术的综合研究领域,在技术上有很大难度。前面几节介绍了国内外开展的大量基础性研究与探索工作,总结如下:
(1)可调节/重构结构和材料可分为隐身电磁窗口用和机体蒙皮用两类,其调节方式主要通过电路调节、光照调节、几何结构调节等方式。属于电路调节的有:智能频率选择表面,通过调节等效电路中阻抗特性实现谐振频率的调节;导电高分子材料,通过改变施加电压改变其组成成分从而实现吸波频率的调节;动态自适应雷达吸波结构、有源电磁超表面和等离子体隐身也均是电路调节方式。光导电磁屏蔽材料属于光照调节,通过光照改变材料的透波频率。
(2)有源对消的概念提出和开始研究时间很早,但是目前为止其发展仍然不够成熟,实现起来有以下几个关键技术难点:入射信号多参量实时测量,即对每个照射目标的信号进行方向、频率、极化、幅度和相位的实时测量;隐身信号的多参量实时跟踪、控制技术,即根据探测雷达与隐身目标相对运动情况,实时调整隐身控制系统以保持对消波的频率幅度与目标反射回波相同,而相位相反。
(3)智能隐身蒙皮是从工程实际出发提出的概念,是智能隐身在飞行器上的实现形式之一。但是智能蒙皮要实现和得到广泛应用,还有很多技术难点需要攻克和进一步完善。智能蒙皮的主体材料需要采用质量轻、高强度并且耐高温的新型复合材料,但是目前大部分聚合物复合材料尚处于试验阶段。此外,将传感器阵列和光纤传输系统完美地集成到薄薄的蒙皮材料中,也是需要攻克的技术难关。
结束语
智能隐身技术是一项改变战场游戏规则、大幅提升飞行器突防能力的颠覆性技术,需要开展理论、设计、器件、技术、工艺、应用等协同创新研究,通过对目前国内外研究现状的总结和分析,对未来发展方向建议如下:
(1)雷达智能隐身技术发展不能只局限于缩减飞行器的RCS,还要从电磁频谱对抗等角度进行飞行器特征信号隐身对抗,综合采取迷惑、欺骗、干扰等方式降低敌方雷达威胁设备和系统的效能。
(2)雷达智能隐身技术是集感知、决策、执行于一体,但是目前国内外对雷达智能隐身技术的研究主要集中在执行这一方面,对感知和决策两方面探索研究工作仍然较少,所以还需要对两个方面进一步深人研究。
(3)未来雷达智能隐身的发展,可以与人工智能发展相结合,使武器装备能够完全自主感知周围电磁环境,自主分析威胁信号,通过深度学习等人工智能算法产生最优的隐身模式及隐身特征信号调控方案。
引用格式:张亚坤,曾凡,戴全辉,等. 雷达隐身技术智能化发展现状与趋势[J]. 战术导弹技术, 2019,(1): 56-63.
| 一网打尽系列文章,请公号内回复以下关键词查看: | ||
|---|---|---|
| 创新发展:习近平 | 创新中国 | 创新创业 | 科技体制改革 | 科技创新政策 | 协同创新 | 科研管理 | 成果转化 | 新科技革命 | 基础研究 | 产学研 | 供给侧 | ||
| 热点专题:军民融合 | 民参军 | 工业4.0 | 商业航天 | 智库 | 国家重点研发计划 | 基金 | 装备采办 | 博士 | 摩尔定律 | 诺贝尔奖 | 国家实验室 | 国防工业 | 十三五 | 创新教育 | 军工百强 | 试验鉴定 | 影响因子 | 双一流 | 净评估 | 大学排名 | ||
| 预见未来:预见2016 |预见2020 | 预见2025 | 预见2030 | 预见2035 | 预见2045 | 预见2050 | ||
| 前沿科技:颠覆性技术 | 生物 | 仿生 | 脑科学 | 精准医学 | 基因 | 基因编辑 | 虚拟现实 | 增强现实 | 纳米 | 人工智能 | 机器人 | 3D打印 | 4D打印 | 太赫兹 | 云计算 | 物联网 | 互联网+ | 大数据 | 石墨烯 | 能源 | 电池 | 量子 | 超材料 | 超级计算机 | 卫星 | 北斗 | 智能制造 | 不依赖GPS导航 | 通信 | 5G | MIT技术评论 | 航空发动机 | 可穿戴 | 氮化镓 | 隐身 | 半导体 | 脑机接口 | 传感器 | ||
| 先进武器:中国武器 | 无人机 | 轰炸机 | 预警机 | 运输机 | 直升机 | 战斗机 | 六代机 | 网络武器 | 激光武器 | 电磁炮 | 高超声速武器 | 反无人机 | 防空反导 | 潜航器 | ||
| 未来战争:未来战争 | 抵消战略 | 水下战 | 网络空间战 | 分布式杀伤 | 无人机蜂群 | 太空战 | 反卫星 | 卫星 | 混合战争 | ||
| 领先国家:美国 | 俄罗斯 | 英国 | 德国 | 法国 | 日本 | 以色列 | 印度 | ||
| 前沿机构:战略能力办公室 | DARPA | 快响小组 | Gartner | 硅谷 | 谷歌 | 华为 | 阿里 | 俄先期研究基金会 | 军工百强 | ||
| 前沿人物:钱学森 | 马斯克 | 凯文凯利 | 任正非 | 马云 | 奥巴马 | 特朗普 | ||
| 专家专栏:黄志澄 | 许得君 | 施一公 | 王喜文 | 贺飞 | 李萍 | 刘锋 | 王煜全 | 易本胜 | 李德毅 | 游光荣 | 刘亚威 | 赵文银 | 廖孟豪 | 谭铁牛 | 于川信 | 邬贺铨 | ||
| 全文收录:2018文章全收录 | 2017文章全收录 | 2016文章全收录 | 2015文章全收录 | 2014文章全收录 | ||
| 其他主题系列陆续整理中,敬请期待…… |