专家库 | 人才库 | 企业库 | 项目库 | 投资机构库 | 招商信息库 | 前沿特攻队招募
前沿君微信:tech9999 手机:18501361766
转自:学术plus(caeit-e)
作者:中国电子科技集团首席科学家曹秋生
中国电子科技集团公司第二十七研究所路静,柳建光,闫婧
本篇节选自论文《从SHiELD看机载激光武器的反导能力和技术挑战》,发表于《中国电子科学研究院学报》第14卷第5期
摘 要:综述SHiELD项目和美国空军机载激光武器发展路线。在典型参数设定下仿真计算机载激光武器对战术导弹目标的毁伤距离,并给出相关的变化关系曲线,供系统设计和评估参考。基于衍射极限限制和聚焦发射两种方法得到的结果呈现很好的符合性,表明激光光束在聚焦发射时同样遵从衍射极限限制特性。仿真结果还表明,除了增加激光发射功率、延长目标照射时间外,改善光束质量和加大发射口径对增大照射在目标上的激光功率密度、提高目标毁伤距离尤为有效。最后,围绕战斗机平台的尺寸/重量/耗能约束、高速飞行环境和自卫作战要求,探讨若干挑战性技术问题。
关键词: 高能激光;机载激光武器;毁伤距离;衍射极限限制;动态跟踪;大气效应
论文全文摘编如下
仅供学术交流与参考
机载激光武器可充分利用中高空大气洁净度高、激光大气传输效应弱的优势,并不大受携弹量限制,具有广阔应用前景。美军基于二氧化碳[1]和化学高能激光器[2-4]开展过机载激光武器的研究和演示,然而由于激光体制在体积、重量和安全性等方面的固有缺陷,项目未能持续。
以电为能源的板条或光纤固体激光器在小型轻量化、大功率输出和高光束质量方面具有优势并且波长短、聚焦性好,是当前机载激光武器领域所倚重的主要技术体制。但受机载环境特性约束以及高能固体激光现有发展水平的局限,机载激光武器目前尚处于技术体制确定、关键技术攻关研究和系统集成试验阶段,要达到实用化还面临诸多技术挑战。
美国已经启动和开展了多个基于固体激光体制的机载激光武器研发项目[3],其中自卫高能激光演示样机(Self-protect High Energy Laser Demonstrator,SHiELD)项目最具代表性,可为机载激光武器的未来发展提供启示和借鉴。
该项目由美国空军研究实验室(AFRL)主导,周期为2015到2021财年,总经费为2.814亿美元,将研发和演示以平台自卫为目的、以导弹或无人机等空中威胁目标为打击对象[5]的战术喷气战斗机载紧凑型激光武器系统,技术成熟度(TRL)要求6级。
研究内容涉及满足战斗机大小、重量和耗能约束的激光武器系统设计实现,亚音速-超音速航空光学效应抑制,敏捷、紧凑、大口径并适应飞行环境的光束定向器,以及导弹动目标捕获、跟踪、对准、毁伤等关键技术。
预期成果:
一是激光武器系统与飞机平台的集成,展现针对可见光/红外制导空-空和地-空导弹威胁的自卫能力,展示跨音速环境下的激光效能,表征超声速环境特性以确定光束控制技术后续发展战略,形成适合飞行的武器系统用于后续研究(部件改进、作战行动概念、替代平台等);
二是可等比放大到更高功率、更多(模块)数量、更多可锁定目标种类的子系统;
三是形成兼顾防卫和进攻的多能系统。
AFRL倾向于采用吊舱式独立结构以利于飞机安装、减少气动影响和成果在不同飞机平台(包括无人作战飞机)间的移植应用。系统分为三个子系统。其中:
(1)气动集成吊舱结构子系统(LPRD)由波音公司负责,为激光器提供机上安装空间、能源和制冷。
(2)光束控制转塔子系统(STRAFE)由诺·格公司负责,适合中等激光能量水平,将集成于吊舱结构子系统中,结构应符合适航要求。将在地面和空中各种跨声速飞行场景下进行非合作目标捕获、跟踪、对准及打击性能演示,表征系统在跨声速和超声速飞行中的气动和振动环境特性,包括针对各种场景的详细气动光学波前时空变化和瞄准线稳定特性。
(3)高能激光子系统(LANCE)由洛·马公司负责[6-8],要求为研究和提升新颖的前沿激光器技术和实施途径,研发在战术飞行应力条件下具有最小化光束质量退化的可靠、坚固的高能激光器,集成到系统气动结构中和战术飞机上,支撑系统飞行测试和演示。工作内容还包括量化典型飞行条件下的关键激光参数如激光输出功率、电-光效率、功率稳定性、光束抖动、桶中功率等。工作重点将针对飞机平台约束,聚焦于提高出光效率,减小体积、重量和能耗,获得接近理想的光束质量,并关注机载环境下突出的过载和气动效应问题。
项目将在2019和2020财年开展第一阶段低功率机载测试飞行试验,以一台较低功率激光器替代LANCE并作为目标预瞄准指示器,构成符合飞行要求、具有光束和系统控制功能及激光供电电源和冷却设备的吊舱型式,演示跨声速飞行光束控制性能,并利用信标光源表征超声速飞行气动效应,研究超声速环境如何影响激光束的传播及如何补偿激光大气畸变。
第二阶段高功率机载测试飞行试验计划安排在2021财年,将在战术战斗机上试验集成了LANCE的全尺寸激光武器样机,开展亚音速/超音速飞行测试,确认LANCE 与其它子系统的工作协调性、机载电池的功率提供能力,尤其是确定激光器是否会过热而需附加热管理措施。
SHiELD的具体战技指标并未公开,但可以归纳出四方面的明确要求,即(1)以战术喷气战斗机作为装载平台,意味着对设备适装性要求非常严苛;(2)以战术导弹为主要打击目标,意味着系统应具备硬目标毁伤能力和出色的动态目标精密跟瞄能力;(3)以平台自卫为任务使命,意味着攻击角度范围要大,火力转移要快;(4)系统要在跨音速/超音速或高过载飞行环境下进行飞行测试,意味着要在实际飞行环境对系统作战能力进行验证。
AFRL围绕机载高能激光武器制订发展路线,持续增加其角色作用和投资额度,始终贯穿着减小体积(S)、重量(W)、耗能(P)和提升反介入/区域拒止(A2/AD)能力的思想,明确提出激光源、光束控制、目标捕获跟踪对准(APT)、能源/热管理和目标效应、数值分析等技术研究内容,既反映了技术攻关的难点和重点,又体现了美空军发展机载激光武器的需求牵引和目的。
2013年版路线图对高能激光器的发展划分了三个阶段。
第一阶段是针对传感器和地面软目标,发展吊舱式数十kW级连续或脉冲激光;
第二阶段是针对中距离威胁目标,发展100kW以上高能激光;
第三阶段是针对射程内的空中及地面硬目标,发展300kW以上高能激光。
更新后的2018年版路线图[9]中,机载激光武器系统的:
第一阶段(2018-2021年)为入门级演示阶段,基于数十kW级高能激光,演示毁伤红外制导空空导弹和传感器;
第二阶段(到2025年)基于100kW级高能激光和第4代、第5代战机,演示针对飞机平台自卫的中距离导弹和飞机毁伤及对地面硬目标的超精确打击;
第三阶段(到2029年或之后)基于300kW级高能激光和第6代战机,演示对视距外飞机、射程内飞行硬目标和地面硬目标的毁伤。
路线图未直接提及MW级激光器及武器系统,但值得注意的是,AFRL于2019年1月15日发布“紧凑型高能激光子系统工程评估(CHELSEA)”项目公告,期望在LANCE基础上进一步提高出光功率和效率。项目数据将用于在2024年前设计制造TRL5级、适用近音速战术飞机的紧凑坚固的高能激光子系统,以取代LANCE或作为新的机载激光系统的一部分,并可能影响之后美国政府的技术投入决策[10]。
激光武器对金属和非金属靶材,存在层裂破坏、热爆炸破坏和热烧蚀等破坏机制[7]。在目前的激光输出功率水平上多属于热烧蚀机制,即目标被高能激光照射的部位由表及里急剧升温,引起材料熔融或气化,导致目标凹陷变形等机械结构破坏,甚至烧穿壳体,进而烧坏目标内部零部件引起失控,或点燃助推器燃料箱引起爆炸等[11,12]。
目标毁伤最小激光照射能量密度Em等于照射作用时间tm和激光功率密度毁伤阈值Im的乘积。因为照射过程中的热量损失,靠延长tm积累激光照射能量来降低Im值有一定限度。对于飞机平台自卫,由于来袭导弹速度快、机动性强,保持激光长时驻留目标不易,因而tm应越短越好,这样还可弱化激光光束漂移和抖动的影响。事实上,对导弹目标的确切毁伤阈值目前并不十分明确,其与目标壳体材料、内外结构、表面涂覆和气象环境(温度、风)及运动状态(是否自旋、姿态变化)等有关。李勇等[12]针对钢制壳体飞毛腿导弹估算出其Em=3.28kJ/cm2(不考虑弹体自旋),由此可得Im=3280W/cm2(tm=1s)或Im=1093W/cm2(tm=3s)。
把基于夫琅和费衍射理论的艾里斑(占总功率83.8%)作为作用在目标上的激光光斑,通过下式把激光发射功率Pt与最大目标毁伤距离Rm、到靶功率密度毁伤阈值Im、波长λ、光束质量因子β、发射光学透过率τ0、大气透过率τ1、发射口径D和导弹壳体表面激光反射率r、激光入射方向与目标表面法线夹角α关联起来[11,12]:
(1)
假定r= 0.3,τ0=0.7,α= 10°,λ=1.064μm(实际取决于掺杂元素种类)。考虑中高空良好气象条件。由于近红外激光几乎不存在分子吸收,分子散射比气溶胶衰减约小1-2个数量级,气溶胶散射和吸收是主要衰减因素[13],则:
(2)
其中v为能见度,假设为80km,对应q值为1.6。
此外,实际高能激光的光束质量与理想值相比有一定差距且在传输过程中会产生一定程度的退化,因此综合考虑设β=2.5。利用式(1)和(2),计算得到一系列关系曲线。从图1可见,要在1s左右击毁5km远的导弹,Pt约为25kW(D=0.9m)或55kW(D=0.6m)或220kW(D=0.3m)。如延长tm,即降低Im值,则所需的Pt将减小。显然Pt随D的增大而显著减小,但随之会增加ATP系统的体积和重量及对飞机气动甚至隐身特性的影响。对战术战斗机,D的值以小于1m为宜。图2显示Rm与Pt和Im的变化关系,图3显示Rm一定时,β对所需Pt的显著影响,充分说明改善光束质量比单纯提高发射功率更有实际意义。
图1激光器输出功率与毁伤阈值和激光发射口径(Rm=5km,β=2.5)
图2激光器输出功率与目标毁伤距离(β=2.5)
图3激光光束质量与激光输出功率需求(D=0.6m,Rm=10km)
图2中部分结果列于表1。可见,对D= 0.6m和tm= 1-3s,Rm可达4-8km(Pt=50kW)或6-12km(Pt=100kW)或11-19km(Pt=300kW);当Pt达到1MW量级以上,Rm将相当或超过近程空空导弹的射程(~20km)。
表1基于衍射极限限制的目标毁伤距离Rm仿真结果(D=0.6,β=2.5)
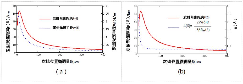
在工程上常采用所谓聚焦发射技术[14],即高能激光在APT系统引导下,经卡式发射光学系统聚焦在被打击目标上,且聚焦距离可通过微调次镜位置(微调量δ)而跟随目标变化。设发射主镜和次镜的曲率半径分别为2.4m和0.08m,β为2.5,调整光路使得口径D为0.6m的主镜上光斑半径为0.3m,则根据激光光束传输理论[15],通过数学软件MATHCAD14可估算聚焦距离F(δ)和光斑半径W(δ)随δ的变化关系。从图4a可见,F(δ)存在一个最大值,且相应的聚焦光斑半径W(δ)也是变化的。对应F(δ)曲线上升沿的光斑较大、激光功率密度较小,因此实际激光武器系统宜选择工作在F(δ)曲线的下降沿,即所谓的“功率聚焦”模式[14],以获得较小的光斑、较大的激光功率密度和较强的目标毁伤能力。此时,显见聚焦光斑随聚焦距离而增大,如果定义:
(3)
这里Rm(δ)为目标距离,聚焦发射时实际上等于F(δ),则可得到A(δ)的变化曲线示于图4b。可见,在F(δ)的下降沿, A(δ)的值基本保持恒定(~1.27),呈现类似衍射极限限制的特性。而对应F(δ)的上升沿,A(δ)随δ快速变化,与衍射极限限制特性完全不同,此时系统聚焦状态具有强烈的不稳定性,不利于激光发射聚焦工作。
图4 发射聚焦距离和聚焦光斑半径调节变化关系
图5基于发射聚焦调节的毁伤距离估算(D=0.6)
假设目标上的聚焦光斑保持圆形分布,则基于光斑半径W(δ)的激光平均到靶功率密度I(δ)按下式变化:
图5所示为不同激光发射功率下I(δ)随δ的变化关系。在图5a中,I(δ)对应Im=3280W/cm2于A点,相应的δ值对应F(δ)曲线于C点,对应F(δ)为4.85km,这即武器系统对应Pt=50kW和tm=1s的最远导弹目标毁伤距离Rm。同理可以找到B和D点,对应Im=1093W/cm2、tm=3s和Rm=8.16km。线段CD反映了激光武器系统所处的调焦工作状态,集中体现了聚焦距离、毁伤阈值、毁伤能力及照射作用时间等特性。对图5b、c、d作同样处理后,得到几组仿真结果,示于表2。与表1比较,可见结果高度一致,说明两种方法都遵从衍射极限限制特性。
表2基于聚焦发射的目标毁伤距离Rm仿真结果(D=0.6m,β=2.5)
高转换效率、高光束质量、高功率输出是全固态高能激光器普遍追求的目标,而严苛的体积、重量、耗能及气动特性限制是机载激光武器领域的特殊问题。当前技术路线主要集中于单口径输出和多链路相干或非相干合成两类,增益介质大多采用板条或光纤或二者结合。相干合成体制在系统成本控制、热管理和光束控制方面具有潜在优势,但在单元光束净化、相位控制、孔径填充和光轴校准等方面尚存在技术难点[16]。非相干合成方式相对简单易行,其远场激光功率叠加的效果可能适合某些实际需要。
美国诺·格公司于2009年在JHPSSL项目中基于端面抽运传导冷却板条激光器结构采用7路15kW级模块相干合成实现了105kW激光输出[17],光束质量BQ值为2.9,相当于β值为7。达信公司在HELLADS计划中利用“薄Z字形”陶瓷板条专利技术[17],采用6个17kW模块串联单谐振腔方式实现了100kW高功率激光输出,但光束质量指标未达到要求。美国DARPA的HELLADS项目提出了输出功率150kW、重量770kg的指标要求[3],但尚未见实际达到情况报道。
美国IPG公司2009年就已实现了9.6kW的单纤单模激光输出,电光效率高于23%,其多模连续光纤激光器输出功率可达50kW,电光效率高于25%[18],但光束质量因子在30左右。IPG公司采用单频种子源相位调制MOPA结构2015年实现了波长1030nm的2.2kW窄线宽激光输出[19],光束质量因子小于1.1,插头效率达40%。洛·马公司基于波分复用(WDM)技术的所谓“频谱组束”技术,把多个不同激光光束融合进一个纤芯中,其中每一个激光器都工作在自己的狭窄光谱内,实现光纤激光器高光束质量高能输出[20],其正在研发的HELIOS系统据称将输出150kW的功率。中国工程物理研究院2016年实现了共孔径光谱合成9.6kW功率输出[21],光束质量因子约为3,并在研究采用双MLD光栅光谱合成结构[22],以期实现80kW(1030-1050nm)或200kW(1030-1085nm)功率输出。
高能固体激光器将电能转换为激光后大量多余废热需迅速消散,以免在增益介质中产生热积累,带来温度升高甚至热畸变,严重影响激光输出功率和光束质量。高效紧凑的冷却和热管理系统必须满足体积、重量和耗能方面的机载要求,其趋势是应用相变储热方法[23],还可考虑环路热管、强化换热等技术。
常规机载供电很难直接满足激光武器供电需求,需要采用独立任务电源或在机载发电机和高能激光电源之间设置储能装置,实现发电、充电和储能组合供电。储能装置必须满足机载环境要求,并具有高能量和功率密度、能快速充放电、循环使用寿命长、可靠性高等特性,储能方式有电池、超高速飞轮及超级电容器等[24]。
总之,当前全固态激光器已能实现100kW级功率输出,但普遍需要解决光束质量退化问题,一般电光转换效率难以超过40%,质量功率比一般高于5kg/kW,在飞机环境适装性和适应性方面的整体性能有待充分验证。
激光武器借助粗精多跟踪通道APT系统实现微弧度级高精度复合控制,有效投送高能激光和毁伤目标。APT通常采用红外和可见光成像探测手段,其粗跟踪单元具有较大的视场和较低的伺服带宽,完成目标初始捕获和粗跟踪,而精跟踪单元具有较小的视场和动态范围、较高的伺服带宽,进一步抑制粗跟踪残差和宽功率谱振动,实现快速实时高精度目标跟踪和对准[25]。
战斗机以音速/亚音速飞行,空空导弹如AIM-120速度达到4马赫,平台和目标间的大速度大角度相对运动容易引起目标跟踪滞后甚至丢失。目标位置、背景、光照和轮廓大小、形状等的动态变化以及平台和目标抖动造成的图像模糊、光轴指向不稳等,都要求系统信号检测灵敏,目标捕获跟踪和聚焦发射处理与控制精度高、动态范围大、实时性强、反应速度快、智能化好。
系统应能经受住飞机颠簸和加速过载,并能对飞机的各种运动进行补偿, 包括慢速摇摆、快速振动及由气流和湍流所引起的颠振。当飞机超音速飞行时,对前方大气产生强扰动,形成激波,引起大气压强、密度、温度突然升高。当光通过时,受高温激波流场干扰会发生光线偏折而引起视觉误差,受热辐射影响会降低红外成像探测信噪比,产生图像模糊、抖动甚至畸变等一系列气动光学效应[26],需进行校正。
高能激光在大气传输过程中,与大气相互作用,产生一系列线性和非线性效应,导致激光功率损失和光斑扩展、漂移、抖动甚至畸变,从而降低到靶激光功率密度、能量集中度及光斑稳定性。SHiELD项目将飞机及激光吊舱周围的超声速环境对激光束传播的影响和激光大气畸变补偿作为研究和试验内容,以掌握飞行环境大气效应规律,最小化激光功率衰减、光束质量退化及光斑抖动或漂移,确保激光功率或能量有效投送到目标上。
机载激光大气传输效应除常规大气效应外,还包括由飞行和作战环境引起的效应,如图6所示。大气折射是指大气密度不均匀所致的激光传输路径弯曲现象,传输距离较短时可忽略。大气分子吸收导致激光功率衰减但一般不影响光束质量,波长在“大气窗口”的激光大气吸收较少,具有较高的大气透过率。而气溶胶(悬浮微粒)散射不仅导致激光功率衰减,还会影响光强分布,但主要存在于近地面和低空,随海拔高度减弱。大气能见度较低时,以气溶胶散射为主,可忽略分子散射。
图6机载激光大气传输效应
当激光传输通过大气湍流时,由于大气中局部温度、压强等随机变化引起的折射率无规则分布,受到扰 动而出现光轴抖动和相位、光强随机起伏,表现出光斑漂移、扩展和闪烁等现象,与激光波长、传输距离和湍流强度相关,受温度、风速等影响并随时间变化。通常用折射率结构常数Cn2 =10-nm-2/3描述大气湍流强度(强、中、弱湍流时n分别为-12、-14和-16),用大气相干长度r0=Cλ6/5(Cn2/Rm)-3/5描述大气波前畸变范围[27](平面波C=0.185)。
热晕效应即当高能激光在大气中传输时,加热空气形成负透镜,当存在侧向风时,形成特有的弯向上风的弯月形光束分布,造成光的畸变、弯曲和发散,与激光传输功率、光束几何参数和空气热力学特性等有关,可用Bradley-Hermann畸变参数N表示[28]。热晕效应与湍流效应具有相互作用,当湍流效应较强时,可认为热晕效应是在湍流效应基础上产生的,当湍流效应较弱时,可认为二者作用相互独立。当高能激光传输功率大到一定值时,目标上的激光功率密度不仅不随之增大,反而随之减小,从而限制了激光功率在大气中的传输,且该值随大气湍流效应的增强而进一步减小。
当激光功率密度大于某一阈值时(通常>108W/cm2),气体吸收光子发生电离,形成高密度等离子体,即所谓的击穿效应,使激光入射受到阻断。当前激光功率水平下可暂不考虑击穿效应。拉曼效应是指激光传输时与大气分子运动相互作用而引起的频率发生变化的散射,会对激光功率产生衰减,但所占比例很小,一般可忽略。
考虑常规大气传输效应后,式(1)可修正为[29]:
其中,σJ为大气抖动幅度,σD=(21/2/p)(λ/D)为光束衍射角。可见,大气效应导致的激光功率衰减损失和光束的附加扩展,都会引起到靶功率密度下降。在中等湍流和热晕强度下,所产生的影响是非常明显和可观的。
此外,在实际作战和训练环境下,飞机和导弹的发动机尾焰,以及弹药爆炸所产生的烟尘、碎片、颗粒等都将引起附加的激光散射,而飞机和导弹高速飞行对大气的剧烈扰动是否会加大湍流效应还需深入研究。当飞机作超音速飞行时, 飞机流场中存在强的激波结构,且既存在大尺度结构,也存在小尺度波动特性。数值分析表明[30],当激光束穿过具有激波结构的超声速流场时,大气密度的不均匀分布导致的折射率不均匀分布会引起光束相位扰动,进而导致光束中心传播方向发生偏折,且波长越短、传播距离越远越明显。从公开资料来看,对高能激光传输受激波影响的研究尚无充分的实测数据支撑。
利用自适应光学技术可对大气湍流、热晕等因素造成的激光波前畸变进行部分相位补偿和校正,改善光束传输质量[31]。自适应光学对弱湍流效应的修正效果是显著的,但实际的湍流强度变化是不均匀的、随机的,在强湍流效应情况下,要考虑闪烁效应和相位不连续性的影响。需要深入研究机载高能激光大气传输的波前畸变测试、分析和应用。
实战中战斗机可能面临来自不同方向的多个导弹威胁,理想情况下,类似SHiELD的平台自卫系统应具备覆盖飞机周围全空域的多目标连续打击能力。
洛·马公司在AFRL和DARPA联合支持下,在2014-2015年间研发了一套可向飞机上、下空间任何方向发射激光的所谓航空自适应光束控制(Aero-adaptive,Aero-optic Beam Control)转塔系统[3],并利用一架达索猎鹰10商用喷气飞机作为搭载平台,将其安装于上下穿过飞机机体的升力风扇空间,进行了测试试验。
设计和实现类似结构的复杂系统涉及对飞机平台的改造,需解决轻量化与重量平衡、气动共形设计、空间适配等方面的技术难题。
SHiELD项目在一定程度上代表了机载激光武器当前的发展方向和趋势。基于衍射极限限制和聚焦发射两种方法进行了机载激光武器对导弹目标的毁伤距离仿真,得出一致的结果,意味着激光光束在聚焦发射中遵循衍射极限限制特性。
仿真结果表明,在激光发射功率50-100kW水平及良好气象条件下,适当设定系统参数,战斗机载激光武器对非旋转导弹的硬毁伤能力有可能达到5-10km左右,但在机载环境约束下的高转换效率、高光束质量、高功率激光输出,高速目标精密跟瞄和聚焦发射,大气传输效应抑制和畸变补偿,以及紧凑轻量、气动共形、全向发射结构设计实现等方面存在严苛技术挑战。
提升发射功率水平或采用较大发射口径、改善光束质量、延长目标照射时间、有效修正大气畸变等均有利于增大到靶功率密度或激光能量,提高毁伤能力,其中改善光束质量和增大发射口径尤为有效,但前者在技术实现上有难度,后者受平台约束条件限制,系统设计时应综合考虑。
【参考文献】
[1] 林聪榕.美国机载激光武器及其关键技术[J]. 现代防御技术,2006,34(4):10-13
[2] 任国光,黃裕年.机载激光武器的发展现状与未来[J]. 激光与红外,2005.05,35(5):309-314
[3] 李聪,路静.美国高能激光武器发展分析[J]. 电光系统(情报板),2017,第4期:6-10
[4] 袁天宝,石艳霞,姜娜.美国机载激光武器作战能力分析[J]. 红外与激光工程,2007.09,第36卷增刊:71-74
[5] ndiastorage.blob.core.usgovcloudapi.net/ndia/2017/science/Blackhurst.pdf
[6] news.lockheedmartin.com/2017-11-06
[7] optics.org/news/8/11/8,2017.12.18
[8] www.lockheedmartin.com/directedenergy
[9] www.itea.org/images/pdf/conferences/2018_System-of-Systems/2018_SoS_Proceedings
[10] 光电情报专刊,第3期,中国电科发展战略中心,2019.01.31
[11] 郭劲.战术激光武器系统若干关键技术分析及发展研究[J]. 光学精密工程,1996.02,4(1):7-14
[12] 李勇,汪民乐,张均.高能激光武器对弹道毁伤能力研究[J]. 红外与激光工程,2006.10,35(5):588-592
[13] 华中科技大学,天津大学,西北电讯工程学院合编.激光技术[M]. 湖南科学技术出版社,1981(第一版):272
[14] 曹秋生.战术激光武器聚焦发射特性计算研究[J]. 电光系统,2017,第3期:1-5
[15] A. E. Siegman. “New Developments in Laser Resonators”, SPIE Vol.1224, 1990
[16] 刘泽金,周朴,许晓军.对百千瓦级全固态激光相干阵列系统的分析[J]. 激光与光电子学进展. 2010,47:011402
[17] 陈金宝,郭少锋.高能固态激光器技术路线分析[J].中国激光. 2013,40(6):1-7
[18] 吴武明,冷进勇,周朴等.高平均功率电能激光器研究进展[J]. 红外与激光工程,2011,40(2):203-209
[19] Platonov N,Yagodkin R, Cruz J, et al. 1.5kW linear polarized on PM fiber and 2kW on non-PM fiber narrow linewidth CW diffraction-limited fiber amplifier[C]//SPIE,2017,10085: 100850M
[20]激光制造网LaserfairCom2017-12-12
[21] 马毅,颜宏,彭万敏等.基于多路窄线宽光纤激光的9.6kW共孔径光谱合成光源[J]. 中国激光,2016, 43(9):0901009
[22] 马毅,颜宏,孙殷宏等.基于双光栅的光纤激光光谱合成关键技术研究进展[J]. 红外与激光工程,2018, 47(1):0103002
[23] 高光波,韩林森.机载激光武器热管理系统研究[J]. 航空制造技术,2018,61(7):93-96
[24] 姜锦锋,张著,高光波.机载激光武器储能供电研究[J]. 航空制造技术,2018,61(19):84-91
[25] 宋延嵩,佟首峰,姜会林等.机载激光通信系统精跟踪单元变结构控制技术[J]. 红外与激光工程,2010, 39(5):934-938
[26] 张丽琴, 费锦东. 气动光学效应光电校正方法研究[J]. 红外与激光工程,2004, 33(6):580-583
[27] 王晓宾,马征征.大气对舰载激光武器的影响及对策[J]. 装备环境工程,2012.04, 9(2):33-37
[28] 冯晓星,张鹏飞,乔春红等.高能固体脉冲激光热晕效应相位补偿的数值分析[J]. 红外与激光工程,2015, 44(5):1408-1413
[29] 胥杰,赵尚弘,占生宝等.大气对激光武器系统的影响分析[J]. 光学技术,2007.11, 33(增刊):229-231
[30] 贺旭照, 易仕和, 孔铁全. 激波对激光束远场强度分布影响的数值研究[J]. 空气动力学学报,2004.03,22(1):84-86
[31] 饶瑞中.激光大气传输湍流与热晕综合效应[J]. 红外与激光工程,2006, 35(2):130-134
| 一网打尽系列文章,请公号内回复以下关键词查看: | ||
|---|---|---|
| 创新发展:习近平 | 创新中国 | 创新创业 | 科技体制改革 | 科技创新政策 | 协同创新 | 科研管理 | 成果转化 | 新科技革命 | 基础研究 | 产学研 | 供给侧 | ||
| 热点专题:军民融合 | 民参军 | 工业4.0 | 商业航天 | 智库 | 国家重点研发计划 | 基金 | 装备采办 | 博士 | 摩尔定律 | 诺贝尔奖 | 国家实验室 | 国防工业 | 十三五 | 创新教育 | 军工百强 | 试验鉴定 | 影响因子 | 双一流 | 净评估 | 大学排名 | ||
| 预见未来:预见2016 |预见2020 | 预见2025 | 预见2030 | 预见2035 | 预见2045 | 预见2050 | ||
| 前沿科技:颠覆性技术 | 生物 | 仿生 | 脑科学 | 精准医学 | 基因 | 基因编辑 | 虚拟现实 | 增强现实 | 纳米 | 人工智能 | 机器人 | 3D打印 | 4D打印 | 太赫兹 | 云计算 | 物联网 | 互联网+ | 大数据 | 石墨烯 | 能源 | 电池 | 量子 | 超材料 | 超级计算机 | 卫星 | 北斗 | 智能制造 | 不依赖GPS导航 | 通信 | 5G | MIT技术评论 | 航空发动机 | 可穿戴 | 氮化镓 | 隐身 | 半导体 | 脑机接口 | 传感器 | ||
| 先进武器:中国武器 | 无人机 | 轰炸机 | 预警机 | 运输机 | 直升机 | 战斗机 | 六代机 | 网络武器 | 激光武器 | 电磁炮 | 高超声速武器 | 反无人机 | 防空反导 | 潜航器 | ||
| 未来战争:未来战争 | 抵消战略 | 水下战 | 网络空间战 | 分布式杀伤 | 无人机蜂群 | 太空战 | 反卫星 | 卫星 | 混合战争 | ||
| 领先国家:美国 | 俄罗斯 | 英国 | 德国 | 法国 | 日本 | 以色列 | 印度 | ||
| 前沿机构:战略能力办公室 | DARPA | 快响小组 | Gartner | 硅谷 | 谷歌 | 华为 | 阿里 | 俄先期研究基金会 | 军工百强 | ||
| 前沿人物:钱学森 | 马斯克 | 凯文凯利 | 任正非 | 马云 | 奥巴马 | 特朗普 | ||
| 专家专栏:黄志澄 | 许得君 | 施一公 | 王喜文 | 贺飞 | 李萍 | 刘锋 | 王煜全 | 易本胜 | 李德毅 | 游光荣 | 刘亚威 | 赵文银 | 廖孟豪 | 谭铁牛 | 于川信 | 邬贺铨 | ||
| 全文收录:2018文章全收录 | 2017文章全收录 | 2016文章全收录 | 2015文章全收录 | 2014文章全收录 | ||
| 其他主题系列陆续整理中,敬请期待…… |