电话:010-58330898 手机:18501361766
微信:tech99999 邮箱:qianyanjun@techxcope.com
来源:集智俱乐部
译者:陈清华、高晓慧
论文题目: From Big Data To Important Information 论文地址: https://necsi.edu/from-big-data-to-important-information
图 1. 滑块 (某时刻速度为 v) 沿斜面滑动的示意图。
图2:水的相图。液态水和气态水之间的转变停止在临界点(红点)。在临界点,类液体和类气体密度之间的波动存在于整个系统,因此系统不再平滑(违反微积分的假设),平均值失效(违反统计的假设)。为了解决这个问题和其他类似问题,人们发展出一种考虑跨尺度行为的新方法,即重整化群。
图3:复杂度曲线(尺度的函数)。
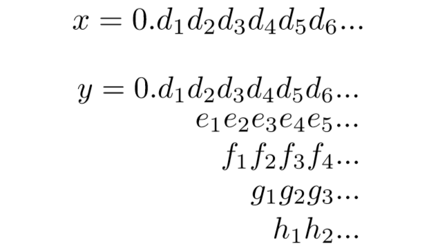
图4:一个实数(上面的,x)有无穷的位数,确定一个点的位置,在精度加倍(尺度减半)的情况下,会增加2种(位置的)可能性,信息量增加1。单个实数值并不能很好的表示整个复杂系统,因为复杂系统的信息量不同于尺度增加(y),其位数的增加应类似于图3所表述的复杂度曲线那样。
图5:当我们关注最大尺度时,系统行为会映射到简化的模型上,每个模型都可适用于具有广泛不同的微观细节的大量可能系统。此图显示的一些例子:高斯分布、波动、从有序到无序(如本文讨论的相变)、图灵斑图、Navier-Stokes方程描述的流、吸引子动力学。少数几个模型就可以捕获大量不同系统的行为,其根源是普适性,具体系统是普适性行为类的成员。
图6:1991年南斯拉夫人口普查数据被转换成空间表示形式[左],并用多个体模拟预测可能与邻近群体发生冲突的人口[红色叠加层,左和右]。该预测与报告为大规模战斗和屠杀地点的城市位置[黄色圆点,右]非常吻合(相关性为90%)
图7:价格变动本身会刺激交易者,从而导致交易者之间的相互影响,购买可以引起更多的买入,卖出可以引起更多的卖出,最终这种从众效应会引发市场价格泡沫或暴跌。更准确地说,泡沫的产生是两种不同类型投资者之间地相互作用:一种是跟随趋势的投机者,他们在价格上涨时买进,在价格下跌时卖出;另一种是基本值投资者,他们根据供求信息,低价买进,高价卖出。
参考文献:
| 一网打尽系列文章,请回复以下关键词查看: | ||
|---|---|---|
| 创新发展:习近平 | 创新中国 | 创新创业 | 科技体制改革 | 科技创新政策 | 协同创新 | 科研管理 | 成果转化 | 新科技革命 | 基础研究 | 产学研 | 供给侧 | ||
| 热点专题:军民融合 | 民参军 | 工业4.0 | 商业航天 | 智库 | 国家重点研发计划 | 基金 | 装备采办 | 博士 | 摩尔定律 | 诺贝尔奖 | 国家实验室 | 国防工业 | 十三五 | 创新教育 | 军工百强 | 试验鉴定 | 影响因子 | 双一流 | 净评估 | ||
| 预见未来:预见2016 |预见2020 | 预见2025 | 预见2030 | 预见2035 | 预见2045 | 预见2050 | ||
| 前沿科技:颠覆性技术 | 生物 | 仿生 | 脑科学 | 精准医学 | 基因 | 基因编辑 | 虚拟现实 | 增强现实 | 纳米 | 人工智能 | 机器人 | 3D打印 | 4D打印 | 太赫兹 | 云计算 | 物联网 | 互联网+ | 大数据 | 石墨烯 | 能源 | 电池 | 量子 | 超材料 | 超级计算机 | 卫星 | 北斗 | 智能制造 | 不依赖GPS导航 | 通信 | 5G | MIT技术评论 | 航空发动机 | 可穿戴 | 氮化镓 | 隐身 | 半导体 | 脑机接口 | 传感器 | ||
| 先进武器:中国武器 | 无人机 | 轰炸机 | 预警机 | 运输机 | 直升机 | 战斗机 | 六代机 | 网络武器 | 激光武器 | 电磁炮 | 高超声速武器 | 反无人机 | 防空反导 | 潜航器 | ||
| 未来战争:未来战争 | 抵消战略 | 水下战 | 网络空间战 | 分布式杀伤 | 无人机蜂群 | 太空战 | 反卫星 | ||
| 领先国家:美国 | 俄罗斯 | 英国 | 德国 | 法国 | 日本 | 以色列 | 印度 | ||
| 前沿机构:战略能力办公室 | DARPA | 快响小组 | Gartner | 硅谷 | 谷歌 | 华为 | 阿里 | 俄先期研究基金会 | 军工百强 | ||
| 前沿人物:钱学森 | 马斯克 | 凯文凯利 | 任正非 | 马云 | 奥巴马 | 特朗普 | ||
| 专家专栏:黄志澄 | 许得君 | 施一公 | 王喜文 | 贺飞 | 李萍 | 刘锋 | 王煜全 | 易本胜 | 李德毅 | 游光荣 | 刘亚威 | 赵文银 | 廖孟豪 | 谭铁牛 | 于川信 | 邬贺铨 | ||
| 全文收录:2017文章全收录 | 2016文章全收录 | 2015文章全收录 | 2014文章全收录 | ||
| 其他主题系列陆续整理中,敬请期待…… |