这是一件真事……呃……很悲伤的真事。
今早打开了很久没看的湾湾论坛,又看到了一个典型的自high湾湾。楼主说他经常在地铁站帮助找不到路的人,终于遇到一个“华人”对他握手称谢。
俺没有完全放弃这个湾湾论坛的原因是上面还有不少很有想法的人。立刻就有人回复:“从心理学来说,你这是为了希望受到别人的感谢进而帮忙。”有人紧接着回复,“這不算特例,有個科學家用數學公式證明:這世界上沒有真正的‘利他’行為。”
我对于心理学的态度是“呵呵”,但提到了数学公式就来了兴趣。马上就有人指出,那位科学家是“乔治·普莱斯”。
嗯,今天就写写乔治·普莱斯(George R. Price)。
⭕️
普莱斯生于1922年。父亲是个电工,在他4岁的时候就去世了;母亲曾经当过戏剧演员。总之,就是个普通甚至有点儿惨的家庭,而且少年时代刚好碰上了美国经济大萧条。普莱斯是个天才儿童。他21岁时从芝加哥大学毕业,24岁同样在芝加哥大学获得化学博士学位。25岁结婚,33岁离婚,有两个女儿。这段婚姻注定会有问题:普莱斯自己当时是坚定的无神论者,他媳妇却是罗马天主教信徒。
普莱斯1943年大学刚毕业的时候刚好是二战期间,了解芝加哥大学的同学应该不意外他顺理成章地参与了“曼哈顿计划”。他的履历放在今天也是一等一:在哈佛大学教过化学,在阿贡国家实验室当过顾问,后来在贝尔实验室研究晶体管。之后在明尼苏达大学开始从事医学、生物领域的研究,而他后来最大的贡献就是此方面。1955年和1956年,他在《Science》上发表了两篇论文批评“超感官知觉”。
牛人就是牛人。作为一名化学博士,普莱斯并没有专门学过种群遗传学和统计学,但他读了20世纪最伟大的进化论理论学者W.D. Hamilton的论文之后,提出了“普莱斯公式”:
这个公式是关于种群对偶基因频率的协方差分析——每个字都看得懂,但放在一起不知道啥意思。我也看不大懂,好在wiki上除了这个公式的条目之外,还特地开了一个用例子解释这个公式的条目。
⭕️
这怎么跟“利他”行为扯上的呢?往深了扯就必须提到叔本华,提到叔本华又不得不继续扯康德……没完没了。简单忽悠:叔本华否定“自由意志”的存在。可能分成“自由的”、“意志”两段好说一些,叔本华说的“意志”大致可以理解为本性、本能,理性是从“意志”派生的;你以为“自由地”根据自己的理性做出了决定,其实根本不是。
那到底是“谁”做出了决定?
基因。
那基因根据什么做出了决定?
博弈论。
普莱斯公式的最重要意义就是把博弈论引入了进化论,也就是说,可以用描述博弈论的数学公式进而描述进化论。“利他”行为是基因为了最大可能地传播自己而遵循的博弈论的解,而普莱斯的公式证明了不存在普世的“利他”行为。
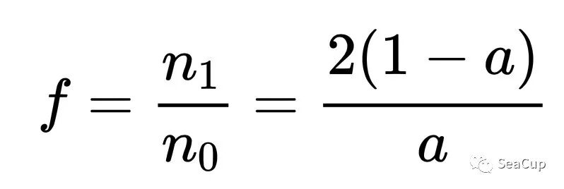
Wiki上以镰状细胞性贫血病为例解释了普莱斯公式的应用。镰状细胞性贫血病是一种遗传病,按照自然选择的原则,这种遗传病的患者应该都死翘翘了,带有镰形细胞性状的基因也应该被抹掉了。但并没有。原因是带有镰形细胞性状基因的人不大可能得疟疾。这时基因就要面对的博弈了:染色体里要不要包含这种有利又有害的性状?如何取舍?
普莱斯公式推导的简化结果是:
如果没有疟疾的存在,a=1,那么f=0,镰形细胞性状基因完全被敲掉,就此被淘汰。如果存在疟疾,a就是小于1的一个值,镰形细胞性状基因将继续存在。
接下来说“利他”。“利他”行为用数学描述就是一种基因倾向,这种倾向会降低个体适应度(与进化相关,适应度越高越不会被淘汰),但会提高个体所属的群体的适应度。用人话说:牺牲了自己,自己的基因就没法往下传播了;但牺牲了自己拯救了很多人,他们的基因可以继续传播。
(此处略去几十行公式推导)
如果一个群体的每一个个体都具有同等的“利他”行为,“利他”行为才会延续下去。但这个情况太理想化了,完全不可能。但只要出现了两种不等同的“利他”行为,群体化的“利他”行为就会减少,这样才能提高群体的适应度。现实世界何止两种不等同的“利他”行为呢?
根据普莱斯公式,直系亲属之间——父母与子女之间、亲兄弟姐妹之间——比较会出现“利他”行为,因为共享了50%的基因,“利他”有利于基因传播,即使其中一个挂了,还有其他共享50%的基因的人继续传播下去。注意:夫妻之间不会,因为彼此并没有共享基因,所以“夫妻本是同林鸟,大难临头各自飞。” 随着共享基因比例的减少,彼此之间就越不大可能出现“利他”行为。
⭕️
普莱斯是个好心肠的人,实在不能接受自己的公式推导出来的“黑暗”结论。他一度怀疑自己的公式推导有问题,然而经过同行确认,普莱斯公式是目前“描述自然选择基本定理的最好公式”。
普莱斯愈来愈抑郁,竭尽全力帮助随机遇到的、完全陌生的人,试图证明自己的理论是错的。他自己因为甲状腺癌手术导致一边肩膀部分瘫痪,靠着赔付的医疗保险金移居英国。就在这种情况下,他的后半生都投身于帮助无家可归的人,经常让他们住在自己的家里(白左们如果都这样做就好了)。有时候自己家里太挤,他就睡在办公室里。他还尽力帮助酒精上瘾的酒鬼,结果酒鬼们还偷他东西,他就更加抑郁了。
后来因为当地要搞开发,他原本租的房子被拆掉了,自己也成了无家可归者,在北伦敦地区四处偷偷住废弃的房子。
1975年1月6日,普莱斯用一把剪刀刺破颈动脉自杀。
直到2000年,学者们才又发现了普莱斯公式。因为当年他提出公式的时候刚刚涉足理论生物学领域,也没怎么发论文。
哎,这么个好人连照片都没有留下来几张。
写这篇弄得俺也很郁闷,去喝抹茶星冰乐好了
⬇︎