强激光场与原子的相互作用会使束缚态电子云发生畸变。早期研究工作表明在超强极紫外激光中,原子的电子波函数会发生畸变,形成类似于分子波函数的电子态。这种电子态在强场中的原子稳定化、中性原子激光加速、空气激光等物理现象中起到了至关重要的作用。这种畸变过程只在超短激光脉冲发生,它的形成过程发生在飞秒甚至阿秒时间尺度。因此观察电子云畸变过程需要超高的时间分辨率。同时,在这种极端时间尺度内发生的电子畸变通常伴随电子的非绝热跃迁过程,这种非绝热过程在很大的程度上决定了原子稳定化的程度。因此实时测量原子波函数在激光场中的畸变过程对于理解激光与物质相互作用的非线性效应具有重要意义。目前,电子波函数在激光中的畸变过程尚未被观察到。近日,来自华中科技大学和深圳大学的团队提出了利用阿秒光电子全息干涉的方法来探测原子中电子波函数在超强极紫外激光中的畸变过程。这项工作揭示了原子的电子波函数在超强极紫外激光中的畸变过程,为超强激光中亚稳态的存在提供了有力证据。
图1 (a)超强极紫外激光中电子波函数的绝热演化过程。(b)在激光场峰值处的畸变波函数。(c)光电子全息干涉的原理示意图。
正 文
激光引起的原子和分子电子云畸变是造成物质各种非线性现象的内在原因。探测激光引起的束缚电子动力学过程对于理解物质非线性过程的性质至关重要。在超强极紫外激光中,原子的电子态会被激光场拉伸,形成所谓的亚稳态。过去的二十几年间,很多工作对由于亚稳态的存在导致的原子稳定化现象进行了深入的研究 [1]。但是对于畸变波函数实时测量尚未实现。
近日,来自华中科技大学的周月明、陆培祥教授研究小组针对以上问题提出可以利用阿秒光电子全息干涉方法[2]来探测原子的电子波函数在超强极紫外激光场的畸变过程。图1(a)展示了电子波函数在激光场中绝热演化过程。在激光场的上升沿,原子波函数被激光场拉伸,在下降沿,拉伸的波函数又回复到原子的波函数形状。为了探测这一演化过程,他们引入了一束红外激光脉冲,用来诱导畸变中的电子态发生隧穿电离。如图1(c)所示,隧穿电离产生的直接电离的电子波包和发生散射的电子波包会发生干涉,在动量谱中形成了全息干涉结构。这种全息干涉结构记录了隧穿电子波包的初始位置(如图1(b)所示)。而隧穿电子波包的初始位置依赖于波函数的瞬时形状。因此,通过从全息干涉图样中提取隧穿电子波包的位置,畸变波函数在超强极紫外激光中的演化过程被实时追踪。
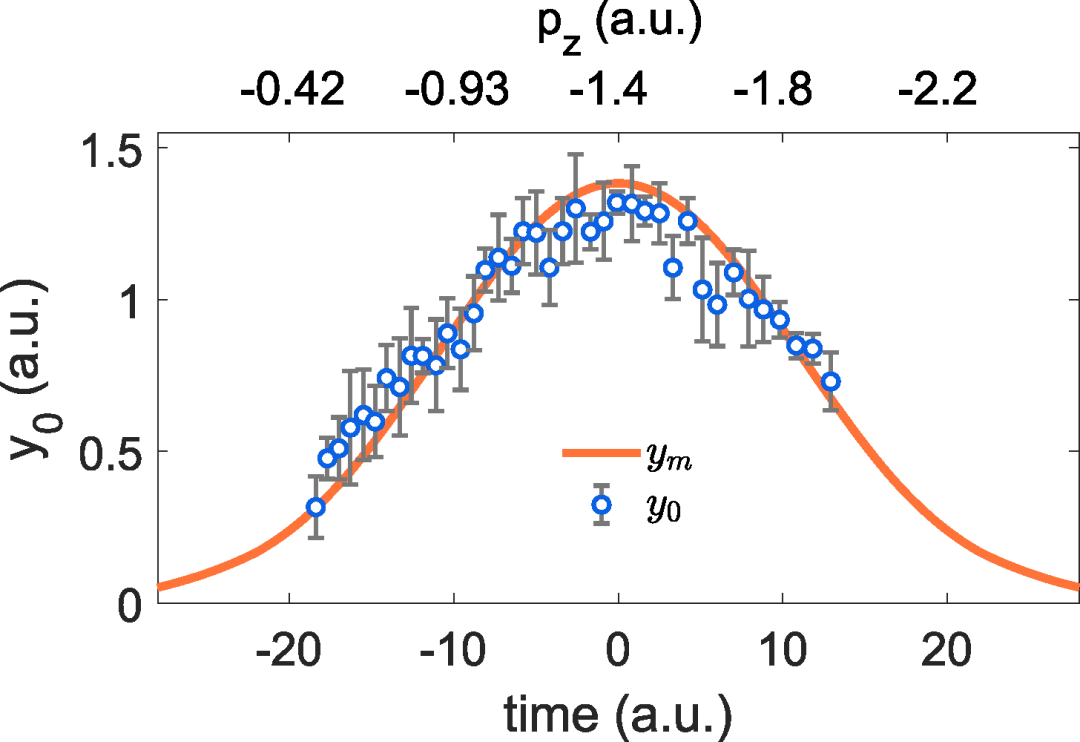
图2 从全息干涉图谱中提取的隧穿电离位置y_0和畸变波函数在隧穿出口位置处的极大值ym。
通过数值求解全维含时薛定谔方程,该工作证明了这一方案的可行性。图2展示由全息干涉图谱中提取的隧穿电离位置y0与从畸变波函数在隧穿出口位置处分布极大值的位置ym的对比。这两种结果符合的很好。这表明光电子全息的方法成功地“拍摄“了畸变中的波函数瞬时形态。
图3 在较短的极紫外激光中,由红外光产生的隧穿电离光电子动量分布。
在更短的极紫外激光脉冲中,由于激光包络的快速变化而引起原子电子态的非绝热跃迁过程十分显著。此时红外激光诱导的隧穿电离不仅仅来自于原子的基态,由于非绝热跃迁过程产生电子态对隧穿电离也有贡献。从而,导致光电子的全息干涉谱中出现叉状结构(如图3黑色虚线框所示)。通过分析叉状结构分布的位置,可以获得超强极紫外激光中的非绝热演化过程的信息。
总 结 展 望
研究团队成功实现了利用阿秒光电子全息干涉方法实时测量超强极紫外激光中原子电子波函数的畸变过程。该工作不仅证明了在超强激光中电子亚稳态的存在,更重要地揭示了在超强极紫外激光中的束缚态电子波波的阿秒演化过程。这对理解束缚态电子在超强激光场中的非线性响应有重要的意义。该研究提出的阿秒光电子全息的方法,可以推广到更复杂的体系中,揭示更复杂体系的电子阿秒动态过程。
作 者 介 绍
梁锦台(第一作者)
LIANG JINGTAI
华中科技大学博士研究生,主要研究方向为极紫外激光驱动的原子分子电离。
周月明 (通讯作者)
ZHOU YUEMING
华中科技大学教授,国家优秀青年基金获得者,主要从事强激光与原子分子相互作用超快动力学研究,在强场电离过程中的电子关联效应、强场隧穿电离、阿秒-亚埃超高时空分辨的光电子全息等方面取得重要成果。已经在物理学、光学权威期刊发表论文100余篇,包括Phys. Rev. Lett. 9篇。
陆培祥
LU PEIXIANG
华中科技大学教授,教育部长江学者特聘教授,国家杰出青年科学基金获得者,国务院学位委员会第八届物理学、天文学学科评议组成员,入选国家百千万人才工程,享受政府特殊津贴,教育部创新团队"激光技术与应用"负责人,国家自然科学基金“强场超快光学”创新研究群体负责人。主要研究方向强场超快光学,已在Phys. Rev. Lett., Nat.Photon., Nat. Commun., Nano Lett., Opt. Lett., Opt. Express, Phys. Rev., Appl. Phys. Lett.等学术刊物上发表SCI论文近600篇,被SCI引用9000次(H因子45),包括Rev. Mod. Phys., Nature Physics, Nature Photonics和Phys. Rev. Lett.等权威论文的多次引用。在国际学术会议上做特邀报告20多次,申请或授权国家发明专利30余项,曾获得2016年湖北省自然科学奖一等奖、中国科学院自然科学一等奖和日本IKEDA研究成果奖等奖励。
[1] M. Pont, N. R. Walet, M. Gavrila, and C. W. McCurdy, Dichotomy of the Hydrogen Atom in Superintense High-Frequency Laser Fields, Phys. Rev. Lett. 61, 939 (1988).
[2] Y. Zhou, O. I. Tolstikhin, and T. Morishita, Near-Forward Rescattering Photoelectron Holography in Strong-Field Ionization: Extraction of the Phase of the Scattering Amplitude, Phys. Rev. Lett. 116, 173001 (2016).
往期内容推荐:
超快科学 | 单次超快成像结合高维分子动力学模拟:认识激光烧蚀的新方法
科学家创下单个光子芯片上的1.84 PB/s光纤数据传输速率新纪录
中国科学院西安光学精密机械研究所全国重点实验室(拟建)主任招聘启事
超快科学 | 分子超快动力学高时/频分辨的远程相干拉曼光谱仪
超快科学 | TDAP: 解码量子材料超快动力学的利器(音频版)
点个在看欢迎转发