本文来自读者投稿,作者:黄同学
这是一篇关于推断统计、参数估计和假设检验等概念的全面讲解以及在python中的如何实现的文章,全文共5000字,建议收藏后阅读~
总体:我们所要研究的问题的所有数据,称为总体。
个体:总体中的某个数据,就是个体。总体是所有个体构成的集合。
样本:从总体中抽取的部分个体,就构成了一个样本。样本是总体的一个子集。
样本容量:样本中包含的个体数量,称为样本容量。
import numpy as np
import pandas as pd
import matplotlib as mpl
import matplotlib.pyplot as plt
import seaborn as sns
import warnings
from sklearn.datasets import load_iris
from scipy import stats
sns.set(style="darkgrid")
mpl.rcParams["font.family"] = "SimHei"
mpl.rcParams["axes.unicode_minus"] = False
warnings.filterwarnings("ignore")
“推断统计”研究的是用样本数据去推断总体数量特征的一种方法。它是在对样本数据进行描述的基础上,对统计总体的未知数量特征做出以概率形式表述的推断。
在实际研究中,总体数据的获取往往是比较困难的,总体参数一般也是未知的。因此,我们就需要利用总体的某个样本,通过样本统计量去估计总体参数。基于这个需求,我们就需要学习推断统计。
通过上述叙述,我们给推断统计做一个说明。“推断统计”就是利用样本统计量,去推断总体参数的一种方法。
参数估计:用样本统计量去估计总体的参数。比如,用样本均值去估计总体均值,用样本方差去估计总体方差。
点估计:用样本统计量的某个取值,直接作为总体参数的估计值。
区间估计:在点估计的基础之上,给出总体参数估计值的一个区间范围,该区间通常由样本统计量加减估计误差得到。
① 怎么求鸢尾花的平均花瓣长度?
事实上,世界上鸢尾花千千万,我们总不能说把所有的鸢尾花的数据信息,都统计出来。因此,这就需要我们用样本均值去估计总体均值。
iris = load_iris()
dt = np.concatenate([iris.data,iris.target.reshape(-1,1)],axis=1)
df = pd.DataFrame(dt,columns=iris.feature_names + ["types"])
display(df.sample(5))
# 计算鸢尾花花瓣长度的均值
df["petal length (cm)"].mean()
结果如下:
结果分析:点估计有点简单粗暴,容易受到随机抽样的影响,很难保证结果的准确性。但是,点估计也不是一无是处,样本值是来自总体的一个抽样,在一定程度上还是可以反映出总体的一部分特征。同时,样本容量越接近总体容量,点估计值也会越准确。
① 什么是区间估计?
当你碰到一个陌生人,我让你判断出这个人的年龄是多少?这里有两种方式完成你的推断。第一,这个人25岁。第二,这个人20-25岁之间。哪种结果更让你信服呢?很明显第二种更让人信服。对于第一种说法,相当于上述的点估计。第二种,相当于区间估计,就是给定一个区间,这个区间包含真值。
统计学中对区间估计的定义:在点估计的基础之上,给出总体参数估计的一个区间范围,该区间通常由样本统计量加减估计误差得到。
问题:获取一个抽样样本后,如何确定置信区间和置信度?
要确定置信区间和置信度,就需要知道样本和总体,在分布上有怎样的联系。中心极限定理给出了这个问题很好的回答。上述疑问将在下面为您一一揭晓。
设从均值为μ,方差为σ²的任意一个总体中,抽取样本量为n的样本。当n充分大的时候,样本均值X拔近似服从均值为μ,方差为σ²/n的正态分布。
注意:中心极限定理要求n充分大,但是多大才叫充分大呢?一般在统计学中n>=30称之为大样本(统计学中的一种经验说法)。因此在实际生产中,不用多想,肯定都是大样本。
设X1,X1,…,Xn是从总体中抽取出来的样本容量为n的随机样本,假设总体均值为μ,方差为σ²。那么很显然这n个样本是独立同分布的,“独立”指的就是每个个体被抽到的概率是相同的,每个球被抽到也不会影响其它球被抽到,“同分布”指的是每一个个体都和总体分布一样,均值为μ,方差为σ²。
基于上述叙述,下面我们来推导样本均值X拔的分布。
不管进行多少次抽样,每次抽样都会得到一个均值。当每次抽取的样本容量n足够大时,样本均值总会围绕总体均值附近,呈现正态分布。
当样本容量n足够大时,样本均值构成正态分布,样本均值近似等于总体均值μ,而样本方差等于总体方差σ²除以n,即σ²/n。
样本均值分布的标准差,我们称之为标准误差,简称“标准误”。
# 设置一个随机种子,保证每次产生的随机数都是一定的
np.random.seed(3)
# 产生均值为50,标准差为80,大小为100000的一个总体
all_ = np.random.normal(loc=50,scale=80,size=100000)
# 创建一个样本均值数组
mean_array = np.zeros(10000)
for i in range(len(mean_array)):
mean_array[i] = np.random.choice(all_,size=64,replace=True).mean()
display("样本的均值:",mean_array.mean())
display("样本的标准差:",mean_array.std())
display("偏度:",pd.Series(mean_array).skew())
sns.distplot(mean_array)
结果如下:
从图中可以看出:样本均值近似等于总体均值50,而样本方差等于总体方差80除以8,即10。
我们要知道什么是α值,什么是置信度,什么是置信区间,以及怎么求置信区间。首先要了解以下几方面的知识,才能有一个比较透彻的了解。
1)什么是小概率事件?
2)随机变量的分布的概念。
3)标准正态分布的概率密度函数和和分布函数
4)随机变量的α分位数的概念。
5)标准正态的分位数表怎么得到的呢?
6)区间估计的概念。
7)置信水平1-α的解释
8)枢轴法求置信区间的步骤。
“小概率事件”指的就是在一次随机试验中,几乎不可能发生。
假定参数是射击靶上10环的位置,随机进行一次射击,打在靶心10环的位置上的可能性很小,但是打中靶子的可能性确很大。然后用打在靶上的这个点画出一个区间,这个区间包含靶心的可能性就很大,这就是区间估计的基本思想。
对总体样本进行反复抽样(每次抽取到的样本容量都为n),那么每个样本均值都会确定一个区间(a,b),每个这样的区间要么包含总体参数,要么不包含总体参数,不能说成“以多大的概率包含总体的参数”。其中包含总体参数的区间有1-α个,而只有α个区间不包含总体参数,如下图所示(红色表示该样本构成的区间估计不包含总体参数,白色表示该样本构成的区间估计包含总体参数)。
用一个详细的案例说明:如果对总体返回抽样10000次,每次抽样的样本量都是n,每个样本都会得到一个区间估计,那么10000次抽样,就会得到10000个区间。当置信水平1-α=95%时,那么就表示10000个区间中包含总体参数的有9500个抽样样本,只有500个样本不包含总体参数,这个不包含总体参数的样本就相当于我们估计错误。这个概率只有5%。这个5%在统计学中,就叫做小概率事件,也就是说在一次随机试验中,这个小概率事件不可能发生。
即:当我们随机抽取一个样本容量为n的抽样样本,并且利用这个样本构造总体参数的置信区间,当指定了置信水平1-α=95%时,那么这个样本,基本就可以认为是包含了总体参数,也就是说,总体参数就在这个置信区间内。
枢轴量指的就是包含待估计参数,而不包含其它未知参数,并且分布已知的一个量。
枢轴量设计到三个重要点:1、包含估计参数。2、不包含其它未知参数。3、该枢轴量的分布已知。
假设检验,也称为显著性检验,指通过样本的统计量,来判断与总体参数之间是否存在差异(差异是否显著)。我们事先对总体参数进行一定的假设,然后通过收集到的数据,来验证我们之前作出的假设(总体参数)是否合理。
在假设检验中,我们会建立两个完全对立的假设,分别为原假设H0与备择假设H1。然后根据样本信息进行分析判断,是选择接受原假设,还是拒绝原假设(接受备择假设)。假设检验基于“反证法”。首先,我们会假设原假设为真,如果在此基础上,得出了违反逻辑与常理的结论,则表明原假设是错误的,我们就接受备择假设。否则,我们就没有充分的理由推翻原假设,此时我们选择去接受原假设。
在假设检验中,违反逻辑与常规的结论,就是小概奉事件。我们认为,#小概率事件在一次试验中是不会发生的*。我们首先认为原假设为真,如果在此基础上,小概率事件发生,则我们就拒绝原假设,否则,我们就选择去接受原假设。
假设检验遵循“疑罪从无”的原则,接受原假设,并不代表原假设一定是正确的,只是我们没有充分的证据,去证明原假设是错误的,因此只能维持原假设。那么,假设检验中的小概率事件是怎么得出的呢?想想之前讲到的置信区间,是不是一切都验然开朗了?
“疑罪从无”很形象的说明的假设检验向我们传达的含义。也就是说,当我们没有充分的理由拒绝原假设,就必须接受原假设,即使原假设是错误的,但是你找不到证据证明原假设是错误的,你就只能认为原假设是对的。反之,经过一次随机试验,你如果找到了某个理由拒绝了原假设,那么原假设肯定就是错误的,这个是一定的。
假设检验,用来检验样本的统计量与总体参数,是否存在显著性差异。那么如何才算显著呢?我们就可以计算一个概率值(P-Value),该概率值可以认为就是支持原假设的概率,因为在假设检验中,通常原假设为等值假设,因此,P-Value也就表示样本统计量与总体参数无差异的概率。然后,我们再设定一个阈值,这个阈值叫做“显著性水平 ” (使用α表示),通常α的取值为0.05(1-α叫做置信度)。当P-Value的值大于α时,接受原假设。当P-Value的值小于α时,拒绝原假设。简单记为:p值越小越拒绝原假设。软件中一般都会展示这个p值,那里的p值,指的就是我们这里所叙述的p值。
假设检验和参数估计是推断统计的两个组成部分,都是利用样本对总体进行某种推断,但是两者进行推断的角度不同。参数估计讨论的是用样本统计量估计总体参数的一种方法,总体参数在估计前是未知的。而假设检验,则是对总体参数先提出一个假设,然后用样本信息去检验这个假设是否成立。
① 根据实际问题的要求,提出原假设和备择假设。
② 给出显著性水平α以及样本容量n。
③ 确定检验统计量和拒绝域。
④ 计算出检验统计量的值,并作出决策。
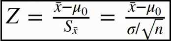
Z检验用来判断样本均值是否与总体均值具有显著性差异。Z检验是通过正态分布的理论来推断差异发生的概率,从而比较两个均值的差异是否显著。Z检验适用于:
总体呈正态分布。
总体方差已知。
样本容量较大。
② 案例如下
③ 有个人说:鸢尾花的平均花瓣长度为3.5cm,这种说法可靠吗?假设经过长期大量验证,鸢尾花花瓣长度总体的标准差为1.8cm,我们就可以使用Z检验来验证了。
from scipy import stats
iris = load_iris()
dt = np.concatenate([iris.data,iris.target.reshape(-1,1)],axis=1)
df = pd.DataFrame(dt,columns=iris.feature_names + ["types"])
display(df.sample(5))
mean = df["petal length (cm)"].mean()
n = len(df)
sigma = 1.8
z = (mean - 3.5) / (sigma / np.sqrt(n))
display(z)
结果如下:
t检验,与Z检验类似,用来判断样本均值是否与总体均值具有显替性差异。不过,t检验是基于t分布的。检验适用于:
总体呈正态分布。
总体方差未知。
样本容量较小。
⑤ 案例说明
⑥ 代码演示
# 方法一
iris = load_iris()
dt = np.concatenate([iris.data,iris.target.reshape(-1,1)],axis=1)
df = pd.DataFrame(dt,columns=iris.feature_names + ["types"])
display(df.sample(5))
mean = df["petal length (cm)"].mean()
std = df["petal length (cm)"].std()
n = len(df)
display(mean,std)
t = (mean - 3.5) / (std / np.sqrt(n))
display(t)
# 方法二
from scipy import stats
stats.ttest_1samp(df["petal length (cm)"],3.5)
结果如下:
欢迎扫码关注作者的CSDN:
猜你喜欢:
@ 号主:可乐
@ 公众号/知乎专栏/头条/简书:可乐的数据分析之路
@ 加微信(data_cola)备注:进群,拉你进可乐的数据分析交流群,每日数据分析知识总结,不定期行业经验分享