1、做好用户流失预测可以降低营销成本。老生常谈,新客户开发成本是老客户维护成本的5倍。
2、获得更好的用户体验。并不是所有的增值服务都可以有效留住客户。
3、获得更高的销售回报。价格敏感型客户和非价格敏感性客户。
1、流失客户有哪些显著性特征?
2、当客户在哪些特征下什么条件下比较容易发生流失?
该数据是datafountain上的《电信客户流失数据》,这里提供一个下载地址。
https://www.datafountain.cn/datasets/35guide
该数据集有21个变量,7043个数据点。变量可分为以下三个部分:用户属性、用户行为、研究对象。
用户属性customerID :用户IDgender:性别(Female & Male) SeniorCitizen :老年人(1表示是,0表示不是)Partner :是否有配偶(Yes or No) Dependents :是否经济独立(Yes or No)tenure :客户的职位(0-72,共73个职位)
用户行为PhoneService :是否开通电话服务业务(Yes or No)MultipleLines :是否开通了多线业务(Yes 、No or No phoneservice 三种)InternetService :是否开通互联网服务(No, DSL数字网络,fiber optic光纤网络 三种)OnlineSecurity :是否开通网络安全服务(Yes,No,No internetserive 三种)OnlineBackup :是否开通在线备份业务(Yes,No,No internetserive 三种)DeviceProtection :是否开通了设备保护业务(Yes,No,No internetserive 三种)TechSupport :是否开通了技术支持服务(Yes,No,No internetserive 三种)StreamingTV :是否开通网络电视(Yes,No,No internetserive 三种)StreamingMovies :是否开通网络电影(Yes,No,No internetserive 三种)Contract :签订合同方式 (按月,一年,两年)PaperlessBilling :是否开通电子账单(Yes or No)PaymentMethod :付款方式(bank transfer,credit card,electronic check,mailed check)MonthlyCharges :月费用TotalCharges :总费用
研究对象Churn:该用户是否流失(Yes or No)
分析视角是分析方法的灵魂。
分析方法有上百种,但分析视角只有四种:
一旦将业务需求拆解成指标,接下来只需要针对每个指标进行分析视角四选一即可。
数据集描述,已经将变量分为三个维度了:用户属性、用户行为、研究对象(是否流失客户),三个维度组合一下就得出了以下解题思路了:
以上两个分析思路运用的是【对比视角】,该视角下具体的分析方法有:
以上的分析方法是统计分析,只能一个维度一个维度地去比较。但实际情况中,并不是每个维度的权重都一样的,那如何去研究各个维度的权重?
权重问题属于分类视角,故我们可以采用分类模型,要用哪个分类模型呢?不知道。可以全部采用,看模型精度得分,然后选得分最高的模型进行进一步预测。
综合统计分析和XGB算法输出特征重要性得出流失客户有以下特征(依特征重要性从大到小排列):
电子支票支付的人在线备份业务Fiber optic 光纤网络设备保护业务网络安全服务按月签订合同方式当条件覆盖得越多,人群越精确,但与此同时,覆盖的人群也会越少。业务方可直接在数据库中,通过SQL检索符合要求的客户,然后做针对性的运营工作。
如何留住客户,可以从两方面去思考:
现象:“开通电子账单”的人反而容易流失。基本假设:价格敏感型客户。电子账单,让客户理性消费。建议:让“电子账单”变成一项“福利。跟连锁便利店,联名发"商品满减券",每月的账单时间,就将"商品满减券“和账单一起推送过去。文案:您上月消费了XX元,解锁了xx会员权益。底层规律:增加沉没成本。现象:“单身用户”容易流失。基本假设:社交欲望低。建议:一个单身用户拥有建立3个人以内的“亲情网”的权益。底层规律:增加沉没成本。import pandas as pd
import numpy as np
import matplotlib.pyplot as plt
import seaborn as sns
sns.set(style='darkgrid',font_scale=1.3)
plt.rcParams['font.family']='SimHei'
plt.rcParams['axes.unicode_minus']=False
import sklearn
from sklearn import preprocessing #数据预处理模块
from sklearn.preprocessing import LabelEncoder #编码转换
from sklearn.preprocessing import StandardScaler #归一化
from sklearn.model_selection import StratifiedShuffleSplit #分层抽样
from sklearn.model_selection import train_test_split #数据分区
from sklearn.decomposition import PCA #主成分分析 (降维)
from sklearn.ensemble import RandomForestClassifier #随机森林
from sklearn.svm import SVC,LinearSVC #支持向量机
from sklearn.linear_model import LogisticRegression #逻辑回归
from sklearn.neighbors import KNeighborsClassifier #KNN算法
from sklearn.cluster import KMeans #K-Means 聚类算法
from sklearn.naive_bayes import GaussianNB #朴素贝叶斯
from sklearn.tree import DecisionTreeClassifier #决策树
import xgboost as xgb
from xgboost import XGBClassifier
from catboost import CatBoostClassifier
from sklearn.ensemble import AdaBoostClassifier
from sklearn.ensemble import GradientBoostingClassifier
from sklearn.metrics import classification_report,precision_score,recall_score,f1_score #分类报告
from sklearn.metrics import confusion_matrix #混淆矩阵
from sklearn.metrics import silhouette_score #轮廓系数(评价k-mean聚类效果)
from sklearn.model_selection import GridSearchCV #交叉验证
from sklearn.metrics import make_scorer
from sklearn.ensemble import VotingClassifier #投票
import warnings
warnings.filterwarnings('ignore')
df=pd.read_csv(r'C:\Users\Think\Desktop\刻意练习数据\电信数据集\Customer-Churn.csv',header=0)
#预览数据
df.head()
#查看数据大小
df.shape
#查看数据数据及分布
df.describe()
这里安利一下spyder编辑器,下图是这个编辑器的界面。编程过程中,有赋值变量的操作,该编辑器都会在右上角呈现,双击一下,就可以像在Execel上查看数据,非常方便。查看该数据集的详情。
#查看缺失值
df.isnull().sum()
注:缺失值的数据类型是 float 类型。一旦有变量的数据类型转换成float 类型,需再次查看缺失值。
#查看重复值
df.duplicated().sum()
【输出】
#查看数据类型
df.info()
【输出】TotalCharages总费用应该跟MonthlvCharges是同一个数据类型(float64)。故需将TotalCharages由object转换成float64,且需要再次查看缺失值。
#总费用 TotalCharges 该列的数据类型应是float64,不是object
# df['TotalCharges'].astype('float64')
# 此处用“astype”转化数据类型报错 “could not convert string to float”
#改用强制转化 convert_numeric=True
df['TotalCharges']=df['TotalCharges'].convert_objects(convert_numeric=True)
df['TotalCharges'].dtype
输出如下:再次查看缺失值:
TotalCharges列有11个缺失值,处理缺失值的原则是尽量填充,最后才是删除。
缺失值填充的原则:
TotalCharges列是数值型数据,先画直方图查看数据分布形态。
#分别作直方图:全部客户类型、流失客户类型、留存客户类型
plt.figure(figsize=(14,5))
plt.subplot(1,3,1)
plt.title('全部客户的总付费直方图')
sns.distplot(df['TotalCharges'].dropna())
plt.subplot(1,3,2)
plt.title('流失客户的总付费直方图')
sns.distplot(df[df['Churn']=='Yes']['TotalCharges'].dropna())
plt.subplot(1,3,3)
plt.title('留存客户的总付费直方图')
sns.distplot(df[df['Churn']=='No']['TotalCharges'].dropna())
结果如下:从三个直方图看,该列数据是偏态分布,故选择
中位数填充。
df.fillna({'TotalCharges':df['TotalCharges'].median()},inplace=True)
#再次确认是否还有空值
df.isnull().sum()
结果如下:
研究对象'Churn'列重新编码“Yes”=1,“No”=0。重新编码有下面两种方法。
方法一:replace
df['Churn'].replace(to_replace = 'Yes', value = 1,inplace = True)
df['Churn'].replace(to_replace = 'No', value = 0,inplace = True)
方法二:map函数
df['Churn']=df['Churn'].map({'Yes':1,'No':0})
预览数据:
df['Churn'].head()
结果如下:绘制饼图,查看流失客户占比。
churn_value=df["Churn"].value_counts()
labels=df["Churn"].value_counts().index
plt.figure(figsize=(7,7))
plt.pie(churn_value,labels=labels,colors=["b","w"], explode=(0.1,0),autopct='%1.1f%%', shadow=True)
plt.title("流失客户占比高达26.5%")
plt.show()
结果如下:【分析】:流失客户样本占比26.5%,留存客户样本占比73.5%,明显的“样本不均衡”。
解决样本不均衡有以下方法可以选择:
提取特征
feature=df.iloc[:,1:20]
查看变量间的两两相关性
#重新编码
corr_df = feature.apply(lambda x: pd.factorize(x)[0])
corr_df.head()
#相关性矩阵
corr=corr_df.corr()
corr
结果如下:相关性矩阵可视化
#绘制热力图观察变量之间的相关性强弱
plt.figure(figsize=(15,12))
ax = sns.heatmap(corr, xticklabels=corr.columns, yticklabels=corr.columns,
linewidths=0.2, cmap="RdYlGn",annot=True)
plt.title("Correlation between variables")
结果如下:【分析】:从热力图来看,互联网服务、网络安全、在线备份、设备维护服务、技术支持服务、开通网络电视服务、开通网络电影之间相关性很强,且是正相关。电话服务和多线业务之间也存在很强的正相关关系。
查看研究对象"Churn"与其他变量下的标签相关性。独热编码,可以将分类变量下的标签转化成列
df_onehot = pd.get_dummies(df.iloc[:,1:21])
df_onehot.head()
结果如下:绘图查看用户流失('Churn')与各个维度之间的关系
plt.figure(figsize=(15,6))
df_onehot.corr()['Churn'].sort_values(ascending=False).plot(kind='bar')
plt.title('Correlation between Churn and variables ')
结果如下:【分析】:从图看gender(性别)、PhoneService(电话服务)相关性几乎为0,故两个维度可以忽略。['SeniorCitizen','Partner','Dependents', 'Contract',MultipleLines,'InternetService', 'OnlineSecurity', 'OnlineBackup', 'DeviceProtection','TechSupport', 'StreamingTV', 'StreamingMovies','PaperlessBilling','PaymentMethod']等都有较高的相关性,将以上维度合并成一个列表kf_var,然后进行频数比较。
kf_var=list(df.columns[2:5])
for var in list(df.columns[7:18]):
kf_var.append(var)
print('kf_var=',kf_var)
结果如下:
组间有显著性差异,频数分布比较才有意义,否则可能会做无用功。 "卡方检验",就是提高频数比较结论可信度的统计方法。
#分组间确实是有显著性差异,频数比较的结论才有可信度,故需进行”卡方检验“
from scipy.stats import chi2_contingency #统计分析 卡方检验
#自定义卡方检验函数
def KF(x):
df1=pd.crosstab(df['Churn'],df[x])
li1=list(df1.iloc[0,:])
li2=list(df1.iloc[1,:])
kf_data=np.array([li1,li2])
kf=chi2_contingency(kf_data)
if kf[1]<0.05:
print('Churn by {} 的卡方临界值是{:.2f},小于0.05,表明{}组间有显著性差异,可进行【交叉分析】'.format(x,kf[1],x),'\n')
else:
print('Churn by {} 的卡方临界值是{:.2f},大于0.05,表明{}组间无显著性差异,不可进行交叉分析'.format(x,kf[1],x),'\n')
#对 kf_var进行卡方检验
print('kf_var的卡方检验结果如下:','\n')
print(list(map(KF, kf_var)))
kf_var的卡方检验结果如下:
Churn by SeniorCitizen 的卡方临界值是0.00,小于0.05,表明SeniorCitizen组间有显著性差异,可进行【交叉分析】
Churn by Partner 的卡方临界值是0.00,小于0.05,表明Partner组间有显著性差异,可进行【交叉分析】
Churn by Dependents 的卡方临界值是0.00,小于0.05,表明Dependents组间有显著性差异,可进行【交叉分析】
Churn by MultipleLines 的卡方临界值是0.99,大于0.05,表明MultipleLines组间无显著性差异,不可进行交叉分析
Churn by InternetService 的卡方临界值是0.00,小于0.05,表明InternetService组间有显著性差异,可进行【交叉分析】
Churn by OnlineSecurity 的卡方临界值是0.00,小于0.05,表明OnlineSecurity组间有显著性差异,可进行【交叉分析】
Churn by OnlineBackup 的卡方临界值是0.00,小于0.05,表明OnlineBackup组间有显著性差异,可进行【交叉分析】
Churn by DeviceProtection 的卡方临界值是0.00,小于0.05,表明DeviceProtection组间有显著性差异,可进行【交叉分析】
Churn by TechSupport 的卡方临界值是0.00,小于0.05,表明TechSupport组间有显著性差异,可进行【交叉分析】
Churn by StreamingTV 的卡方临界值是0.00,小于0.05,表明StreamingTV组间有显著性差异,可进行【交叉分析】
Churn by StreamingMovies 的卡方临界值是0.00,小于0.05,表明StreamingMovies组间有显著性差异,可进行【交叉分析】
Churn by Contract 的卡方临界值是0.00,小于0.05,表明Contract组间有显著性差异,可进行【交叉分析】
Churn by PaperlessBilling 的卡方临界值是0.00,小于0.05,表明PaperlessBilling组间有显著性差异,可进行【交叉分析】
Churn by PaymentMethod 的卡方临界值是0.00,小于0.05,表明PaymentMethod组间有显著性差异,可进行【交叉分析】
从卡方检验的结果,kf_var包含的特征,组间都有显著性差异,可进行频数比较。
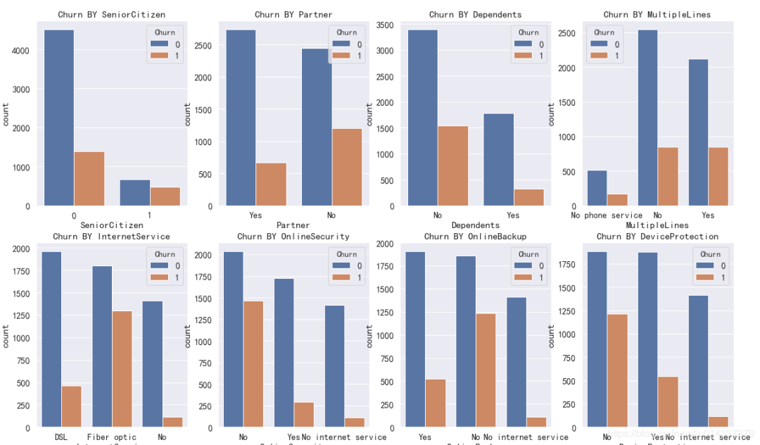
频数比较--柱形图
plt.figure(figsize=(20,25))
a=0
for k in kf_var:
a=a+1
plt.subplot(4,4,a)
plt.title('Churn BY '+ k)
sns.countplot(x=k,hue='Churn',data=df)
结果如下:因为PaymentMethod的标签比较长,影响看图,所以单独画。
plt.xticks(rotation=45)
sns.countplot(x='PaymentMethod',hue='Churn',data=df)
可以直接从柱形图去判断对哪个维度对流失客户的影响大吗?不能,因为“样本不均衡”(流失客户样本占比26.5%,留存客户样本占比73.5%),基数不一样,故不能直接通过“频数”的柱形图去分析。
解决办法:交叉分析,且作同行百分比('Churn'作为“行”)
print('ka_var列表中的维度与Churn交叉分析结果如下:','\n')
for i in kf_var:
print('................Churn BY {}...............'.format(i))
print(pd.crosstab(df['Churn'],df[i],normalize=0),'\n') #交叉分析,同行百分比
ka_var列表中的维度与Churn交叉分析结果如下:【SeniorCitizen 分析】:年轻用户 在流失、留存,两个标签的人数占比都高。
【Parter 分析】:单身用户更容易流失。
【Denpendents 分析】:经济不独立的用户更容易流失。
【MultipleLines 分析】:是否开通MultipleLines,对留存和流失都没有明显的促进作用。
【InternetService 分析】:办理了 “Fiber optic 光纤网络”的客户容易流失。
【OnlineSecurity 分析】:没开通“网络安全服务”的客户容易流失。
【OnlineBackup 分析】:没开通“在线备份服务”的客户容易流失。
【DeviceProtection 分析】:没开通“设备保护业务”的用户比较容易流失
【TechSupport 分析】:没开通“技术支持服务”的用户容易流失。
【StreamingTV 分析】:是否开通“网络电视”服务,对用户留存、流失,没有明显的促进作用。
【StreamingMovies 分析】:是否开通“网络电影”服务,对用户留存、流失,没有明显的促进作用。
【Contract 分析】逐月签订合同的用户最容易流失。
因为"Churn BY PaymentMethod"打印出来显示不全,故我就从临时表将“交叉表”给截图出来了: 【分析】使用“电子支票”支付的人更容易流失。
组间有显著性差异,均值比较才有意义。 显著性检验,先通过了齐性检验,再通过方差分析,最后才能做均值比较。
#自定义齐性检验 & 方差分析 函数
def ANOVA(x):
li_index=list(df['Churn'].value_counts().keys())
args=[]
for i in li_index:
args.append(df[df['Churn']==i][x])
w,p=stats.levene(*args) #齐性检验
if p<0.05:
print('警告:Churn BY {}的P值为{:.2f},小于0.05,表明齐性检验不通过,不可作方差分析'.format(x,p),'\n')
else:
f,p_value=stats.f_oneway(*args) #方差分析
print('Churn BY {} 的f值是{},p_value值是{}'.format(x,f,p_value),'\n')
if p_value<0.05:
print('Churn BY {}的均值有显著性差异,可进行均值比较'.format(x),'\n')
else:
print('Churn BY {}的均值无显著性差异,不可进行均值比较'.format(x),'\n')
对MonthlyCharges、TotalCharges维度分别进行齐性检验和方差分析
print('MonthlyCharges、TotalCharges的齐性检验 和方差分析结果如下:','\n')
ANOVA('MonthlyCharges')
ANOVA('TotalCharges')
【输出】: MonthlyCharges、TotalCharges的齐性检验 和方差分析结果如下:
警告:Churn BY MonthlyCharges的P值为0.00,小于0.05,表明齐性检验不通过,不可作方差分析
警告:Churn BY TotalCharges的P值为0.00,小于0.05,表明齐性检验不通过,不可作方差分析
用户出现以下特征比较容易流失:
我们可以在SQL(数据库)上找有以上特征的客户,进行精准营销,即可以降低用户流失。虽然特征选得越多,越精确,但覆盖的人群也会越少。故,我们还需要计算“特征”的【重要性】,将最为重要的几个特征作为筛选条件。
计算特征的【重要性】,是“分类视角”,接下来我们会挑选常见的分类模型,进行批量训练,然后挑出得分最高的模型,进一步计算“特征重要性”。
有前面的流失率与各个维度的相关系数柱状图可知: 流失率与gender(性别)、PhoneService(电话服务)相关性几乎为0,可以筛选掉,而customerID是随机数,不影响建模,故可以筛选掉。最终得到特征 churn_var
churn_var=df.iloc[:,2:20]
churn_var.drop("PhoneService",axis=1, inplace=True)
churn_var.head()
结果如下:
“MonthlyCharges"、"TotalCharges"两个特征跟其他特征相比,量纲差异大。处理量纲差异大,有两种方法:
以上两种方法,哪个能让模型精度提高,就选哪个。根据模型的最后得分,我选了“离散化”来处理量纲差异大。
scaler = StandardScaler(copy=False)
scaler.fit_transform(churn_var[['MonthlyCharges','TotalCharges']]) #fit_transform拟合数据
churn_var[['MonthlyCharges','TotalCharges']]=scaler.transform(churn_var[['MonthlyCharges','TotalCharges']]) #transform标准化
print(churn_var[['MonthlyCharges','TotalCharges']].head() )#查看拟合结果
【输出】
特征离散化后,模型易于快速迭代,且模型更稳定。
1、处理'MonthlyCharges':
#查看'MonthlyCharges'列的4分位
churn_var['MonthlyCharges'].describe()
离散操作
18.25=<churn_var['MonthlyCharges']<=35.5,标记 “1”
35.5<churn_var['MonthlyCharges']<=70.35,标记 “2”
70.35<churn_var['MonthlyCharges']<=89.85,标记 “3”
89.85=<churn_varf['MonthlyCharges']<=118.75,标记“4”
#用四分位数进行离散
churn_var['MonthlyCharges']=pd.qcut(churn_var['MonthlyCharges'],4,labels=['1','2','3','4'])
churn_var['MonthlyCharges'].head()
结果如下:2、处理'TotalCharges':
#查看'TotalCharges'列的4分位
churn_var['TotalCharges'].describe()
结果如下:
离散操作: 18=<churn_var['TotalCharges']<=402,标记 “1” 402<churn_var['TotalCharges']<=1397,标记 “2” 1397<churn_var['TotalCharges']<=3786,标记 “3” 3786<churn_var['TotalCharges']<=8684,标记 “4”
#用四分位数进行离散
churn_var['TotalCharges']=pd.qcut(churn_var['TotalCharges'],4,labels=['1','2','3','4'])
churn_var['TotalCharges'].head()
【输出】
#自定义函数获取分类变量中的label
def Label(x):
print(x,"--" ,churn_var[x].unique())
#筛选出数据类型为“object”的数据点
df_object=churn_var.select_dtypes(['object'])
print(list(map(Label,df_object)))
结果如下:
通过同行百分比的“交叉分析”发现,label “No internetserive”的人数占比在以下特征[OnlineSecurity,OnlineBackup,DeviceProtection,TechSupport,StreamingTV,StreamingTV]都是惊人的一致,故我们可以判断label “No internetserive”不影响流失率。 因为这6项增值服务,都是需要开通“互联网服务”的基础上才享受得到的。不开通“互联网服务”视为没开通这6项增值服务,故可以将 6个特正中的“No internetserive” 并到 “No”里面。
churn_var.replace(to_replace='No internet service',value='No',inplace=True)
而特征MultipleLines的“ No phoneservice”在流失客户、留存客户样本中的人数占比几乎接近,且比较少,故可以将“ No phoneservice”并到“No”。
churn_var.replace(to_replace='No phone service',value='No',inplace=True)
df_object=churn_var.select_dtypes(['object'])
print(list(map(Label,df_object.columns)))
结果如下:
整数编码的方法有两种:
def labelencode(x):
churn_var[x] = LabelEncoder().fit_transform(churn_var[x])
for i in range(0,len(df_object.columns)):
labelencode(df_object.columns[i])
print(list(map(Label,df_object.columns)))
结果如下:
分拆变量
x=churn_var
y=df['Churn'].values
print('抽样前的数据特征',x.shape)
print('抽样前的数据标签',y.shape)
【输出】 抽样前的数据特征 (7043, 17) 抽样前的数据标签 (7043,)
处理样本不均衡常用的方式有三种:
笔者先后尝试了“分层抽样”和“欠抽样”,前者最终得到的模型中精度最高的是0.63,而后者最终得到的模型中精度最低是0.78,最高是0.84。所以说“抽样方式”的选择极为重要,大家要在这里多试错。
分层抽样
sss=StratifiedShuffleSplit(n_splits=5, test_size=0.2, random_state=0)
print(sss)
print("训练数据和测试数据被分成的组数:",sss.get_n_splits(x,y))
# 分拆训练集和测试集
for train_index, test_index in sss.split(x, y):
print("train:", train_index, "test:", test_index)
x_train,x_test=x.iloc[train_index], x.iloc[test_index]
y_train,y_test=y[train_index], y[test_index]
“过抽样”让模型精度更高,故我选“过抽样”。
from imblearn.over_sampling import SMOTE
model_smote=SMOTE()
x,y=model_smote.fit_sample(x,y)
x=pd.DataFrame(x,columns=churn_var.columns)
#分拆数据集:训练集 和 测试集
x_train,x_test,y_train,y_test=train_test_split(x,y,test_size=0.3,random_state=0)
输出数据集大小
print('过抽样数据特征:', x.shape,
'训练数据特征:',x_train.shape,
'测试数据特征:',x_test.shape)
print('过抽样后数据标签:', y.shape,
' 训练数据标签:',y_train.shape,
' 测试数据标签:',y_test.shape)
【输出】
过抽样后数据特征: (10348, 17) 训练数据特征: (7243, 17) 测试数据特征: (3105, 17) 过抽样后数据标签: (10348,) 训练数据标签: (7243,) 测试数据标签: (3105,)
使用分类算法
Classifiers=[["Random Forest",RandomForestClassifier()],
["Support Vector Machine",SVC()],
["LogisticRegression",LogisticRegression()],
["KNN",KNeighborsClassifier(n_neighbors=5)],
["Naive Bayes",GaussianNB()],
["Decision Tree",DecisionTreeClassifier()],
["AdaBoostClassifier", AdaBoostClassifier()],
["GradientBoostingClassifier", GradientBoostingClassifier()],
["XGB", XGBClassifier()],
["CatBoost", CatBoostClassifier(logging_level='Silent')]
]
训练模型
Classify_result=[]
names=[]
prediction=[]
for name,classifier in Classifiers:
classifier=classifier
classifier.fit(x_train,y_train)
y_pred=classifier.predict(x_test)
recall=recall_score(y_test,y_pred)
precision=precision_score(y_test,y_pred)
f1score = f1_score(y_test, y_pred)
class_eva=pd.DataFrame([recall,precision,f1score])
Classify_result.append(class_eva)
name=pd.Series(name)
names.append(name)
y_pred=pd.Series(y_pred)
prediction.append(y_pred)
names=pd.DataFrame(names)
names=names[0].tolist()
result=pd.concat(Classify_result,axis=1)
result.columns=names
result.index=["recall","precision","f1score"]
result
【输出】
特征工程,采用“标准化”处理量纲差异,采用“分层抽样”处理样本不均衡。
最终模型精度得分,最高分是0.63,是“朴素贝叶斯”模型
特征工程,采用“离散化”处理量纲差异,采用“过抽样”处理样本不均衡。
最终模型精度得分,最高分是0.84,是“XGB”模型
笔者尝试了两个算法分别输出“特征重要性”:CatBoost算法 和 XGB 算法
model = CatBoostClassifier()
model.fit(x_train,y_train,eval_set=(x_test, y_test),plot=True)
#特征重要性可视化
catboost=pd.DataFrame(columns=['feature','feature_importance'])
catboost['feature']=model.feature_names_
catboost['feature_importance']=model.feature_importances_
catboost=catboost.sort_values('feature_importance',ascending=False) #降序排列
plt.figure(figsize=(10,10))
plt.title('特征重要性')
sns.barplot(x='feature_importance',y='feature',data=catboost)
【输出】-XGB 算法
model_xgb= XGBClassifier()
model_xgb.fit(x_train,y_train)
from xgboost import plot_importance
plot_importance(model_xgb,height=0.5)
plt.show()
【输出】由于 XGB算法精度得分最高,故我们以XGB得到的“特征重要性”进行分析。
【分析】
plt.figure(figsize=(20,4))
sns.countplot(x='tenure',hue='Churn',data=df)
【输出】【分析】
由图可知,流失客户集中在1-5号职位,运营团队需要重点关注1-5号职位。
【分析】 使用“电子支票”支付的人更容易流失。
df['MonthlyCharges-']=churn_var['MonthlyCharges']
df['TotalCharges-']=churn_var['TotalCharges']
print('kf_var的卡方检验结果如下:','\n')
KF('MonthlyCharges-')
KF('TotalCharges-')
【输出】 kf_var的卡方检验结果如下:
Churn by MonthlyCharges 的卡方临界值是0.00,小于0.05,表明MonthlyCharges组间有显著性差异,可进行【交叉分析】
Churn by TotalCharges 的卡方临界值是0.00,小于0.05,表明TotalCharges组间有显著性差异,可进行【交叉分析】
for i in ['MonthlyCharges','TotalCharges']:
print('................Churn BY {}...............'.format(i))
print(pd.crosstab(df['Churn'],df[i],normalize=0),'\n')
【输出】18.25=<churn_var['MonthlyCharges']<=35.5,标记 “1”
35.5<churn_var['MonthlyCharges']<=70.35,标记 “2”
70.35<churn_var['MonthlyCharges']<=89.85,标记 “3”
89.85=<churn_varf['MonthlyCharges']<=118.75,标记“4”
【分析】
月付费70.35--118.75元的用户更容易流失
18=<churn_var['TotalCharges']<=402,标记 “1”
402<churn_var['TotalCharges']<=1397,标记 “2”
1397<churn_var['TotalCharges']<=3786,标记 “3”
3786<churn_var['TotalCharges']<=8684,标记 “4”
【分析】
总付费18--1397元的用户更容易流失
基于"MonthlyCharges"和“TotalCharges”画四分图: 求两个维度的均值
print('MonthlyCharges的均值是{:.2f},TotalCharges的均值是{:.2f}'.format(df['MonthlyCharges'].mean(),df['TotalCharges'].mean()))
流失客户四分图:
df_1=df[df['Churn']==1] #流失客户
df_0=df[df['Churn']==0] #留存客户
plt.figure(figsize=(10,10))
sns.scatterplot('MonthlyCharges','TotalCharges',hue='Churn', palette=plt.cm.RdYlBu,data=df_1)
plt.axhline(y=df['TotalCharges'].mean(),ls="-",c="k")
plt.axvline(x=df['MonthlyCharges'].mean(),ls="-",c="green")
【输出】【分析】
四分图的右下区域,流失客户比较集中,即总费用在2281.92元以下,月费用在64.76元以上的客户比较容易流失。
留存客户四分图
plt.figure(figsize=(10,10))
sns.scatterplot('MonthlyCharges','TotalCharges',hue='Churn', palette=plt.cm.RdYlBu_r,data=df_0)
plt.axhline(y=df['TotalCharges'].mean(),ls="-",c="k")
plt.axvline(x=df['MonthlyCharges'].mean(),ls="-",c="green")
【输出】【结论】
综合“ 统计分析” 和 “XGB算法输出特征重要性” 得出流失客户有以下特征(依特征重要性从大到小排列):
如果觉得本文写的不错,可以关注猫哥CSDN博客号『猫有九条命』,获取本文源代码及数据。