概率和统计学的关系十分密切,大量统计学的知识都起源于概率论,现在我们来把它浓缩成一篇文章,当然如果想要更深入地学习,还是建议大家自己看书哟。
我们都知道扔一枚硬币,正面朝上的概率为0.5,那0.5是什么意思呢?
对概率的解释有两大学派,主观概率派和客观概率派,由两种解释建立起了贝叶斯统计学和传统数理统计学(频率论学派)。
客观概率派中对概率的解释是基于物理世界本身存在的随机性,客观概率派中的频率派,即将频率作为概率,也就是说要做大量重复的试验来得到结论。
还是扔硬币的问题,正面朝上的概率为0.5,用频率派的说法就是,如果我们仍的次数足够多,那么有大概一半的情况会出现正面朝上。
我们后面要说的常见名词中对于概率的解释其实就是客观概率的说法。
又叫做贝叶斯派,强调信念的强度,是我们由于信息不足而对事件发生可能性的度量,因为有些事件无法做大量重复的试验,如明天是否会下雨,只能通过已有信息和逻辑进行推断。
如果我们相信这件事情一定会发生,那么它的概率就是1,如果我们不确定这件事情是否发生,那么它的概率就介于0到1之间。
来说几个名词及相应解释:
试验:对某事物或现象进行观察或实验
事件:试验的结果,换句话说,事件可以是任何事情
比如掷骰子,这是一个试验,而掷骰子这个过程中出现的点数为1这个结果是一个事件。
随机事件:可能出现也可能不出现的事件
必然事件:一定会出现的事件
不可能事件:一定不会出现的事件
掷骰子点数小于7这就是一个必然事件,点数大于6就是一个不可能事件,点数为奇数则是一个随机事件
概率:一个事件在试验中出现的可能性大小的度量,通常用P来表示,其范围在0~1之间,如P(A)的意思就是发生事件A的概率。
对立事件:A事件的对立事件为A',A'包含A所不包含的一切
互斥事件:如果两个事件是互斥事件,意味着他们俩只有一个会发生
相交事件:如果两个事件相交,说明它们俩可能同时发生
概率除了用公式计算外,还可以用维恩图的形式来表示。
要注意的是,概率只是对事件发生可能性的一种表达,绝非担保。
条件概率:已知B事件发生的前提下A事件发生的概率,用P(A | B)表示,条件概率可用以下公式求解。
贝叶斯定理:提供了一种计算逆条件概率的方法,也就是需要求条件概率,但该条件概率与已知条件概率顺序相反时要用到贝叶斯定理。
关于贝叶斯定理,里面还有全概率公式、先验概率、后验概率等概念的理解,这部分内容在《深入浅出统计学》里讲解的非常好,不单单是穷举公式,大家可以看下。
相关事件:如果几个事件互有影响,则为相关事件。
比如从抽屉里拿袜子,直到找出一双,这是相关事件,因为在取出一只袜子后,受这一动作的影响,下一次再取袜子时,袜子的总数已经减少了,会影响到每一次取袜子的概率,求相关事件的概率就是求条件概率。
独立事件:如果几个事件互不影响,就是独立事件。还是取袜子,如果取了以后再放回,这就是独立事件,因为放回以后总数不变了,第二次取袜子不会因为第一次取袜子而受到影响。
概率可以用来衡量一些事件发生可能性的大小,但它绝非担保,如何利用概率预测长期结果,答案是善用期望,说到期望,就要有概率分布,还是要先熟悉几个名词:
随机变量:一个随机事件的所有可能值X,且每个可能值X都有确定的概率P,X就是P(X)的随机变量,P(X)就是X的概率函数。
离散型随机变量:随机变量X都能被一一列举出来,也就是只能取确定的数值,就是离散型随机变量,如一批产品中次品的数量。
连续型随机变量:随机变量X不能被一一列举出来,如一批电子元器件的寿命。
概率分布:概率分布就是把一个事件可能发生的所有概率汇总起来。
篇幅限制,这一节就先写到离散型随机变量的概率分布,下节再写连续型随机变量的概率分布。
期望:就是离散型随机变量X的各个值与其概率乘积的和,通常表示为E(X),期望指示了预测的结果。
方差:是每个随机变量与其期望值的离差平方的期望值,用VAR(X)表示,方差表示了结果的分散性。
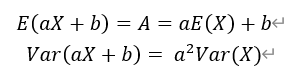
概率分布的期望和方差也有一些比较重要的线性变换的性质,比如:
当每个事件相互独立时,期望和方差的计算则按以下公式:
猜你喜欢:
17张思维导图讲清楚统计学
如何做好描述统计分析
如何进行数据图形化?
简单地聊聊统计学
什么是好的数据指标:精益数据分析
泰坦尼克号数据分析