以下文章来源于首席数据科学家 ,作者NK冬至
这里是数据科学家的成长之路。数据分析,数据产品,数据挖掘。用数据科学的方法赋能业务,发挥数据价值,做业界最好的数据科学家
哈喽大家好,我是可乐
分享一个常见的场景,也是经常困扰大家的问题。
先来一个场景:假设平台售卖两款手机A和B。A手机有800人喜欢,200人不喜欢;B手机有9人喜欢,2人不喜欢。那么,用户更喜欢哪款手机?
相信这个场景,各位朋友在日常生活中、在工作中都遇到过。你们平时是如何做判断呢?希望通过今天的文章,能给大家一个新的视角、也更加科学的方案。
01
—
常见的衡量方法
我想,大家的第一反应应该是按照比率进行衡量吧?因此,
80%<82%,因此用户更喜欢B手机。
这样对吗?
看起来没毛病。毕竟喜欢率越高,代表用户更喜欢嘛!但是,相信朋友也看出了这个例子的端倪:B手机的总共的样本量才11个,虽然喜欢率高,但是样本量这么低,随便一个数据变化都会对结果产生巨大的影响。
因此,按照这种比率的方法,算出的喜欢率,“靠谱”吗?用统计学的语言,置信吗?
02
—
威尔逊得分
上面我们觉得按照简单的喜欢率来计算,有点难衡量。但是,如果不按照喜欢率来比较,还能如何计算呢?这就是我们今天的主题了:威尔逊得分。
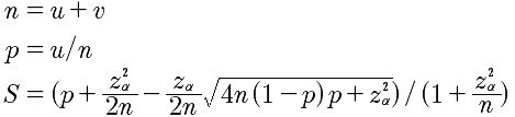
(1)公式定义
先看看具体的威尔逊得分计算公式:
u表示正例数(喜欢),v表示负例数(不喜欢),n表示实例总数(总样本数),p表示喜欢率,z是正态分布的分位数(参数),S表示最终的威尔逊得分。得分越高,代表越喜欢的程度、喜欢的概率越大。
通常,当置信度95%的情况下,z取1.96(近似2)即可。其他常见置信水平与z取值的对应关系如下:
关于置信区间的概念,可以参考文章《区间估计的置信区间概念及方法》。
(2)案例验证
下面,我们根据上面的公式,计算一下我们开头案例的A手机和B手机的威尔逊得分情况。
对于A手机,n=1000,p=0.8,按照95%的置信度,取z≈2,代入威尔逊得分公式中,求得S(A)=0.77
对于B手机,n=11,p=0.82,按照95%的置信度,取z≈2,代入威尔逊得分公式中,求得S(B)=0.52
因此,0.77>0.52,A手机的威尔逊得分高于B手机,按照该算法,我们有结论:在置信度95%的情况下,虽然A手机的喜欢率不如B手机,但是有理由相信用户对A手机其实是更加喜欢的。
(3)相关应用
其实该得分算法的应用还是比较多的。
除了上文中提出的例子外,该得分算法经常应用于各个网站的排序上。比如知乎的搜索排序(我看网上有说知乎是用的威尔逊得分进行的。这里我也没法验证,如果有知乎的朋友可以留言验证一下。关于搜索算法可以参考文章《搜索系统的基础知识以及应用》):
可以看出,知乎的搜索结果排序中,并不是完全基于赞同数量进行的倒叙排列。如果完全赞同数多的回答置顶,那么新的高质量回答,就永远没有出头之日了,对于内容生态的维护一定是有很大问题的。
当然,哪怕是用了威尔逊得分,真实实践中,也会在这个基础上增加更多维度的打分,咱们这里就是以此举例,说明威尔逊得分的应用场景,大家清楚就好。
如果只是想把威尔逊得分作为工具,那么掌握到这里、知道了公式该如何使用、如何计算、应用场景是啥,就足够了。但如果想深入理解一下公式的统计学含义以及推导逻辑,可以参考下面一节。
03
—
统计原理与逻辑
下面,我们一起看看这个威尔逊公式是怎么得到的,以及背后的统计学原理是啥。
(1)原理概述
首先,威尔逊得分只是威尔逊区间的一个变形,取了威尔逊区间的下限值作为威尔逊得分。
那什么是威尔逊区间呢?
本质上,威尔逊区间其实就是用户喜欢率的一个区间估计(关于区间估计可参考历史文章《区间估计的基础介绍》)。但是该区间估计考虑了样本过小时候的情况,根据样本量对区间估计进行了修正,使得该区间估计能够较好的衡量不同样本量情况。
说白了,我们用样本计算的用户喜欢率,本质上只是对用户真正的喜欢率的一个点估计而已,样本越少,可信度越低;样本数越多,根据中心极限定理,点估计越接近真实值。如果样本数都很多,那么我们直接计算手机A和B的喜欢率,基本就能代表真实情况了,是可以比较的。但是当样本数不够,就面临了上文中的问题。威尔逊,就是1920年代提出了这个区间估计的公式,用以解决小样本的准确性问题。
由于提出的公式是区间估计公式,所以本来是一个一个的区间。比如假设A手机的喜欢率95%置信区间估计是[0.77,0.83],B手机喜欢率95%的置信区间估计是[0.52,1]。如何对比两个区间呢?威尔逊得分就是取了不同区间的下限进行比较,因此哪个下限高,代表概率更高。
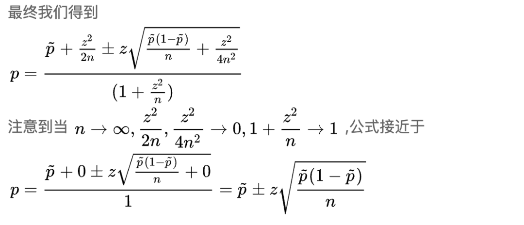
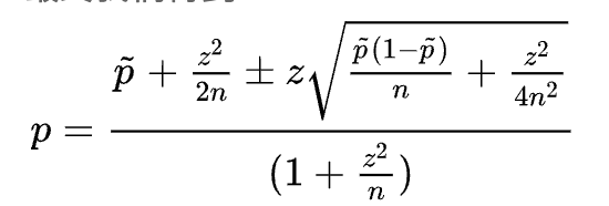
(2)公式推导
这里的公式推导其实还是有点复杂的,我不一一展开了,放一下网上的推导步骤截图,有兴趣的朋友可以自行探索一下啊!
(3)性质特性
最后我们看看这个公式的一些性质吧。
性质1:得分S的范围是[0,1),效果:已经归一化,适合排序
性质2:当正例数u为0时,p为0,得分S为0;效果:没有好评,分数最低;
性质3:当负例数v为0时,p为1,退化为1/(1 + z^2 / n),得分S永远小于1;效果:分数具有永久可比性;
性质4:当p不变时,n越大,分子减少速度小于分母减少速度,得分S越多,反之亦然;效果:好评率p相同,实例总数n越多,得分S越多;
性质5:当n趋于无穷大时,退化为p,得分S由p决定;效果:当评论总数n越多时,好评率p带给得分S的提升越明显;
性质6:当分位数z越大时,总数n越重要,好评率p越不重要,反之亦然;效果:z越大,评论总数n越重要,区分度低;z越小,好评率p越重要;
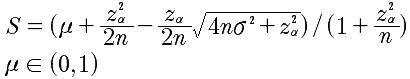
(4)变形扩展
另外,我们这里都是二项分布。如果是评分等级问题:如五星评价体系,或者百分评价体系,该怎么办呢?
将威尔逊得分的公式由伯努利分布修改为正态分布,带入相关参数即可。
注意:均值和方差均是归一化之后的数值。
关于威尔逊得分,我们就分享这些,希望对大家今后的数据工作能有所帮助。以后再衡量哪个更好,可以有更专业的算法模型了!
往期推荐
近期公众号改变了推送规则,不是按照时间顺序来排序。
为了不错过每次推送的好文,请大家设置“星标”,以防走散。