聚离子液体(Polymerized ionic liquids)是一种重复单元中具有离子液体结构的新型聚合物离子导体。由于其化学结构的独特性,聚离子液体通常可兼具离子液体和聚合物的优良性能,如离子电导率高,电化学稳定性好,力学性能强等。近年来已在气体捕获、晶体管、电化学储能和燃料电池等多种领域中受到广泛的研究。
近日,澳大利亚迪肯大学IFM研究院的Maria Forsyth团队报道了一种新型的质子型聚离子液体,其以TFSI阴离子为侧链,质子化咪唑为抗衡离子。同时,这项工作提供了一种合成质子型聚离子液体的简单方法。首先,以商品化的锂盐为初始原料,通过使用酸性离子交换树脂进行离子交换反应,进而与等化学计量的咪唑反应引入抗衡离子,最后所得单体可通过自由基聚合制备质子型聚离子液体。初步的电化学循环伏安研究表明其具有明显的质子活性(图1)。
图1. 质子型聚离子液体的结构及其电化学循环伏安曲线。
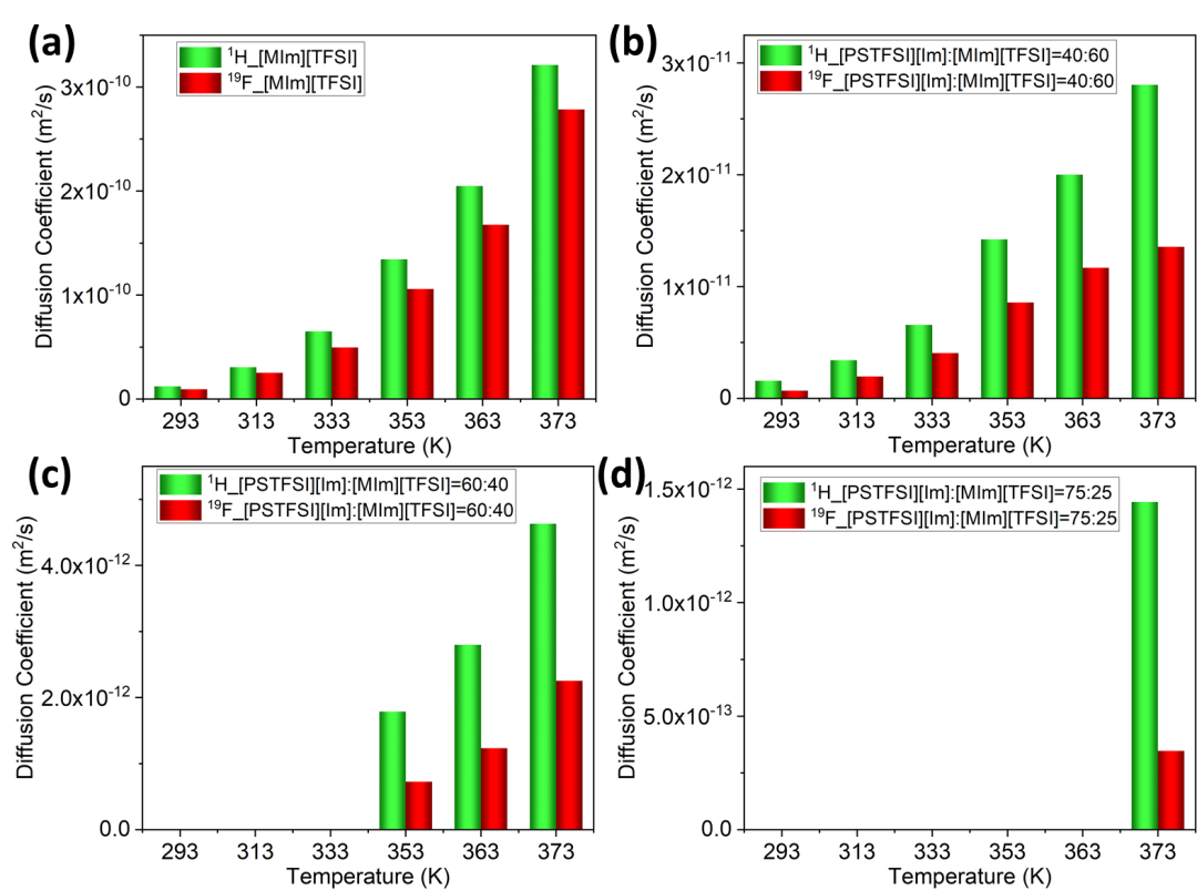
之后,通过溶液浇铸法制备了该聚合物和质子型离子液体的复合材料。电化学阻抗研究表明,离子液体的引入显著提高了离子传输性能,当离子液体的质量分数为60%,复合材料在120˚C的离子电导率可达到10-3 S/cm。进一步通过脉冲场梯度核磁共振 (PFG-NMR)对复合材料中离子扩散系数进行测试。结果表明,阳离子的扩散系数高于阴离子(图2)。而且在复合材料中,阳离子和阴离子扩散系数的比值增加,意味着阳离子的相对迁移能力得到提高,有利于其在质子传输材料中的应用。
图2.离子液体和复合材料中1H和19F在不同温度下的扩散系数。
总而言之,这项工作报道了一种新型的质子型聚离子液体,证实了该聚合物材料所具有的质子活性。同时,对其复合材料中离子传输的研究展示了质子型聚离子液体作为聚合物基质在质子传输材料中的潜力。
相关工作以“Study of Ion Transport in Novel Protic Polymerized Ionic Liquids and Composites”为题,发表在Macromolecular Chemistry and Physics (DOI:10.1002/macp.202200124),文章的第一作者为迪肯大学博士研究生黄公岳,通讯作者为CSIRO 朱海锦博士,共同通讯作者为迪肯大学Maria Forsyth教授。
WILEY
论文信息:
Study of Ion Transport in Novel Protic Polymerized Ionic Liquids and Composites
Gongyue Huang, Haijin Zhu,* Luca Porcarelli, Yady García, Luke A. O’Dell, and Maria Forsyth*
Macromolecular Chemistry and Physics
DOI:10.1002/macp.202200124
点击左下角 “ 阅读原文 ” ,查看该论文原文。
Macromolecular
Chemistry
andPhysics
期刊简介
《Macromolecular Chemistry and Physics》是一个同行评审双周刊,主要发表与聚合物相关的化学,物理化学,物理,材料科学等领域的研究成果。
AdvancedScienceNews
Wiley旗下科研资讯官方微信平台
长按二维码 关注我们
分享前沿资讯|聚焦科研动态
发表科研新闻或申请信息分享,请联系:ASNChina@Wiley.com