—●●●●—
投资要点
—●●●●—
1、全球价值重估:从所谓“零利率时代成长股的估值趋于无穷”说开去,当前全球成长股和价值股的估值鸿沟将收敛
1)2020年全球成长股和价值股的分化程度已超越2000年科网泡沫顶峰时期。
2)2020年全球疫情和无限QE之后,科技股“特斯拉们”或消费股“海天们”估值不断泡沫化,追捧者用“零利率+永续增长=无限高估值”所解释;相反,传统周期型核心资产则被质疑生存能力,低估值高派息被视为“价值陷阱”。
3)如果经济复苏趋势确立、零利率不是长期常态,价值重估将逐步深入。
2、出奇:阶段性,周期价值的绝地反击,“格雷厄姆的烟蒂”逆袭
2.1、周期价值绝地反击的“天时”:冬天里的一把火,经济复苏预期将升温
1)中国:经济复苏率先启动并延续。中国发挥社会制度优势在全球率先控制住新冠疫情,基本实现经济和社会生活正常化,下半年主动补库存将逐渐展开。
2)海外:美国总统大选结束、新冠疫苗问世,有利于全球复苏共振的预期升温。疫苗量产后,海外新冠疫情才能迎来持续性的可防可控,今年史无前例的刺激政策也将继续支撑经济复苏。美国储蓄率提升至历史高位,个人可支配收入不降反升;美国NAHB房地产市场指数已创历史新高。
2.2、周期价值绝地反击的“地利”:估值洼地,中国资产受益于全球再配置
1)中期,美元有望进入贬值趋势,这是全球再配置的指挥棒。A)美元贬值的必要条件是债务困境、放水依赖症。B)欧洲和日本都实施MMT理论、大搞财政赤字货币化,未来数年强势美元或弱势美元战略,取决于美国未来数年的政治经济选择。C)以史为鉴,80年代和00年代美国实施弱势美元战略,对应美国传统经济的竞争力提升,未来数年粮食、能源、基建、房地产或是抓手。
2)中期,高性价比的中国资产将受益于人民币升值和全球再配置,价值重估。一方面,中国各领域的核心资产经历了供给侧改革的洗礼之后,行业竞争优势凸显,在全球低增长的平庸时代更加凸显高性价比。另一方面,疫情之后,海外流动性泛滥而中国货币政策率先正常化,中国资产对外资的配置吸引力提升,2020年5月-8月境外机构持有中国国债及政策性银行债月均流入1160亿人民币,是2019年月均流入的4倍。随着经济复苏,“类债券资产”也将受到配置型的机构资金的青睐,比如外资、保险和银行理财子公司等。
3、守正:中长期,科技消费医药是中国新经济的主赛道,关键看性价比
3.1、中国经济降速转型的成功,奠定了核心资产牛市的基础,而“内循环为主、双循环驱动”新战略则有利于新经济领域的成长型核心资产不断涌现。
3.2、孕育上一轮(2016-2017年)港股大牛市的是“连水”,这一次是“换鱼”。港股行业市值结构显著优化,加速实现科技、医药、新消费为主导的转型,港股成为投资中国新经济领域核心资产的沃土,有利于内、外资提升港股配置。
4、投资策略:顺应价值重估的趋势,逢低战略配置港股,爱在深秋。
4.1、行情展望:1)秋风冷,否极泰来,牛市孕育期。美国大选之前的9、10月份,全球资金配置将处于观察阶段,股市震荡整理概率大,届时恰是立足中长期逢低布局中国核心资产的良机。2)11月摔杯为号——等待美国大选和新冠疫苗,港股核心资产有望迎来基本面和估值的双击。
4.2、投资机会:1)金融地产周期核心资产的价值重估;2)长期看好科技成长股,下半年围绕业绩而分化;3)消费医药是长期业绩确定的赛道,但是需要根据成长性和性价比精选个股4)黄金等贵金属:长逻辑继续战略性看多。
风险提示:全球经济增速下行;中、美货币政策宽松不达预期;大国博弈风险
—●●●●—
报告正文
—●●●●—
1、全球价值重估:从所谓“零利率时代成长股的估值趋于无穷”说开去,当前全球成长股和价值股的估值鸿沟将收敛
2020年3月以来,全球股市都呈现这样一种趋势,成长股和价值股剧烈分化,分化的程度甚至已经超越2000年科网泡沫的顶峰时期。8月底美国Russell 1000 Growth Index过去12个月的回报为43%,而Russell 1000 Value Index 的回报为-2%,两者的差距高达45%,2000年科网泡沫时这个差值最高为36%。以MSCI World Growth vs Value、MSCI Europe Growth vs Value以及MSCI China Growth vs Value衡量全球、欧洲、中国股市成长和价值的相对回报,差值都在2020年8月创出历史新高。
如何理解在疫情以来出现这种成长和价值的鸿沟?我们先看两个基本的财务估值模型:
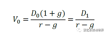
(1)Gordon股利增长模型(股利贴息不变增长模型),在这个模型中,股息率的支付在时间上是永久性的;股息的增长速度是一个常数;模型中的贴现率大于股息增长率。
其中,V0为股票现值(股票理论价格),D0为上一年末支付的股利,g是股息固定增长率,r为股票的必要收益率或贴现率。
(2)自由现金流贴现模型
其中,P为企业的评估价值,n为企业寿命,CFt为企业在t时刻产生的现金流,r反映预期现金流的折现率。
理论上,低利率+稳定增速=无穷高估值。
3)如果经济复苏趋势确立、零利率不是长期常态,价值重估将逐步深入
由上述两个公式可以很容易看出,理论上,无论是自由现金流折现模型还是股利贴现模型,公司未来增速和贴现率都是影响企业价值的关键因素。在低利率或者零利率持续存在、经济持续低迷的的情形下,如果公司能够持续经营,始终保持增长,哪怕增速不需要很高,只要接近或者大于分母端的贴现率,那就意味着企业估值不会收敛,能够趋向于无穷大。
2020年以来,为了帮助经济尽快从Covid-19的影像中复苏,全球各主要经济体采取了史无前例的宽松政策,低利率甚至负利率将是未来一段时间的常态。科技股“特斯拉们”或消费股“海天们”估值不断泡沫化,追捧者用“零利率+永续增长=无限高估值”解释。而那些传统的周期价值股,则被质疑在长期低迷的经济环境中能否生存更遑论增长和派息了,沦为“价值陷阱”。
因此,成长和价值的分化背后,反应的其实是长期低利率和经济增长疲弱的预期。如果经济复苏趋势确立、零利率不是长期常态,价值重估将逐步深入。
2、出奇:阶段性,周期价值的绝地反击,“格雷厄姆的烟蒂”逆袭
2.1、周期价值绝地反击的“天时”:冬天里的一把火,经济复苏预期将升温
2.1.1、中国经济复苏率先启动并延续,下半年主动补库存将逐渐展开
我们在7月15日《“核心资产牛市”进入“新”阶段》报告中判断,结合工业企业存货数据和PPI数据,中国库存周期有望进入主动补库存阶段。最新发布的经济指标数据表明库存周期启动逐渐明朗。
7月PMI库存指数回升和PPI超季节性回升,均表明新一轮库存周期已经启动的概率较大。1)7月PMI分项中,生产指数和库存指数同时上升,表明企业生产活动和库存指数同时改善,指向主动补库存。2)6、7月PPI出现了超季节性回升,高于2002年以来的大部分年份,6月PPI环比增速仅次于2006及2008年,7月PPI环比增速与2004年相当,仅次于2008及2009年。
货币政策从“抗疫模式”回归正常化,但并不会大幅收紧,宽裕流动性将继续支持实体经济回升。从信贷资金流向来看,新增资金更多的流向了实体,尤其是制造业和小微企业。1)2020年1-7月累计新增非金融企业中长期贷款占新增人民币贷款比重42%,处于2015年以来较高水平,仅次于2017年。尤其是在打击空转套利以后,虽然社融同比增速上升速度放缓,但企业中长期贷款保持稳定,2020年7月非金融企业中长期贷款占比提升到60%。2)截止二季度末,小微企业贷款余额同比增长了26.5%;根据央行二季度货币政策执行报告表述,制造业中长期贷款增速为 24%,创十年来新高。
受制于疫情和两会延迟召开,上半年财政支出节奏较慢,下半年财政政策有望加速发力,支撑基建增速继续回升。1)从财政支出的角度,1-6月财政支出累计值占年度预算的比例仅47%,明显低于2017-2019年,下半年财政支出力度将加大。2)从资金来源的角度,1-6月份已发行专项债2.4万亿,占全年目标的63%,5月份是发行高峰期,7月底1万亿特别国债发行完毕,地方财政资金压力缓解之后,财政支出有望加快落实速度。
2.1.2、海外:美国总统大选结束、新冠疫苗问世,有利于全球复苏共振的预期升温
疫苗量产后,海外新冠疫情才能迎来持续性的可防可控。欧美经济恢复正常化只能寄希望于疫苗,而在此之前,欧美国家疫情仍将不断反复。法国、西班牙随着经济活动的重启,7月初疫情死灰复燃,8月底每日确诊病例已经超过3月份的高峰,而经济活动指数也随之下降;美国新增确诊病例自6月中下旬开始大幅上升,谷歌往来交通枢纽人员流动变化和往来工作场所人员流动变化所反映的经济活动也止步于疫情前70%左右的水平。
当疫情可控时,今年史无前例的刺激政策也将继续支撑经济复苏。为了应对疫情的冲击,海外主要国家释放了天量的流动性并进行了大规模的财政刺激。两个数据可以反映在全球超常规的刺激政策下经济的潜力:
1)美国个人可支配收入在疫情期间不但没有下降,反而因为补贴出现上升,7月个人可支配收入较2月提升了6.2%,叠加疫情对消费的抑制,储蓄率大幅提升,美国个人储蓄存款占可支配收入的比例4月一度高达33.7%、此后有所下降但7月仍在17.8%的高位。这意味着一旦疫情的影响消除,消费需求有望快速释放。
2)美国的房地产市场比疫情前更加活跃。7月新屋销售较2月提升了25.8%,成屋销售也完全恢复到了2月的水平之上。衡量建筑商对未来房产市场的看法的NAHB房地产市场指数已经创下2000年以来的历史新高。
美国总统大选结束后,不论谁当选新总统,刺激基建都是未来2-4年的经济政策必选项,其中,特朗普政府计划出台接近1万亿美元的基础设施计划,而众议院民主党主导通过1.5万亿美元的《前进法案》。
2.2、周期价值绝地反击的“地利”:估值洼地,中国资产受益于全球再配置
2.2.1、中期,美元有望进入贬值趋势,这是全球再配置的指挥棒
美元贬值的必要条件是债务困境、放水依赖症。美国财政赤字占GDP的比重飙升已经从3月底4.8%攀升至8月末15%,远高于2010年时创出的高点10%。未来2-4年为了刺激经济复苏,进一步大规模的财政刺激是必然。而这需要货币政策的配合,截止5月15日联储持有的美国国债增量超过了美国国债的净发行量,意味着美国国债的增量几乎全部由联储包揽。异常宽松的货币政策实现正常化的难度越来越大。
欧洲和日本都实施MMT理论、大搞财政赤字货币化,未来数年强势美元或弱势美元战略,取决于美国未来数年的政治经济选择。美元贬值可能是美国的政策新导向。
自80年代以来美国贫富差距扩大,2008年金融危机以后更急速加剧,最富有的0.1%的人群拥有美国20%的居民财富,处于底部的90%的人群才拥有美国25%的居民财富。民粹主义的崛起、社会不稳定的背后都是贫富差距的扩大。
量化宽松抚平经济的创伤,但不能解决美国贫富差距的问题。因为,一方面科技是这轮经济复苏的领头羊,以“铁锈地带”为代表的普通美国制造业工人生存却更加艰难;另一方面,资产泡沫使得富人更加富有,资金却到不了最需要的穷人手里。
以史为鉴,80年代和00年代美国实施弱势美元战略,对应美国传统经济的竞争力提升,未来数年粮食、能源、基建、房地产或是抓手。
80年代,日德等国家制造业的强势崛起,加上美联储为应对滞胀大幅收紧货币美元持续走强,美国贸易赤字恶化。85年广场协议下,美元大幅贬值,美国制造业相对竞争力提升,美国外商直接投资净流入从86年开始大幅上升。
2000年网络泡沫破灭,美国经济受重创。2002年美元启动贬值周期,2003年之后,美国外商直接投资净流入从大幅流出转为上升。
2.2.2、中期,高性价比的中国资产将受益于人民币升值和全球再配置,价值重估
一方面,中国各领域的核心资产经历了供给侧改革的洗礼之后,行业竞争优势凸显,在全球低增长的平庸时代更加凸显高性价比。
1)以PE来看:截至9月11日,美国、日本、中国台湾、德国、巴西、韩国等国家代表性股市指数PE几乎接近2011年以来的PE高点。而恒生指数PE为11.2倍,处于2011年以来的63%分位数水平,恒生国企指数为9.2倍,处于2011年以来的76%分位数水平,低于海外主要指数所处历史分位数水平。
2)以股息率来看,港股股息率高于其他主要指数股息率。
3)大类资产配置的角度,港股也具有吸引力。在欧美利率下降的趋势下,港股股息率远高于欧美10年期国债/公债收益率。近期,港股股息率已超过美国Baa级企业债收益率。
4)AH溢价处于高位。截至9月11日,AH溢价指数上升至143.4,高于2005年以来的3/4分位数,处于2016年(港股通开始活跃)以来的极高水平。
另一方面,疫情之后,海外流动性泛滥而中国货币政策率先正常化,中国资产对外资的配置吸引力提升。
美元贬值周期,人民币有望进入被动、渐进、持续升值。短期,中国经济复苏领先全球,海外流动性泛滥而中国货币政策已经开始正常化,中美10年期国债收益率利差达到2.4%处于历史高点并且有望维持,而人民币汇率受到中美关系的影响处于较低水平。中期,经过数年的经济结构调整转型、艰难的实体去杠杆、金融去杠杆,中国经济的系统性风险降低,为人民币提供支撑。
在人民币稳定、升值的预期下,人民币资产在全球的吸引力提升。高利差之下债券类资产吸引外资流入。2020年5月-8月,境外机构持有中国国债及政策性银行债月均流入1160亿人民币,2019年月均流入仅280亿,2018年440亿。随着经济复苏,价值股等“类债券资产”也将受到配置型的机构资金的青睐,比如外资、保险盒银行理财子公司等。
3、守正:中长期,科技消费医药是中国新经济的主赛道,关键看性价比
3.1、中国经济降速转型的成功,奠定了核心资产牛市的基础,而“内循环为主、双循环驱动”新战略则有利于新经济领域的成长型核心资产不断涌现。
中国经济降速转型的成功,奠定了核心资产牛市的基础。过去十年中国GDP增速从2010年一季度高点12%降到了19年四季度6%。企业盈利能力一开始下了台阶,但是,随着2016年以后产业结构调整、产业竞争格局优化,有竞争力的优秀企业盈利能力得到了恢复甚至进一步赢家通吃。2015年底至2018年一季度,GDP增速并没有明显反弹,只是止跌徘徊在7%左右,A股非金融企业ROE(TTM)从7%左右回升到10%以上,2018、2019年GDP再度降速至6%,而非金融企业的ROE下降幅度明显低于此前的经济下行周期。在平庸的宏观经济环境中,各行各业优秀的公司竞争力提升,推动了核心资产牛市(详参我们2016年以来的系列报告)
未来“内循环为主、双循环驱动”新战略有利于新经济领域的成长型核心资产不断涌现。首先,双循环战略需要立足国内市场,释放内需潜力。后工业化时代扩大内需的着力点在于消费而非投资。国内国外双循环也需要依托国内广阔的市场,以超大的市场吸引力,推动实现高水平的对外开放。第二,以科技创新催生发展新动能,实现依靠创新驱动的内涵型增长,这是形成以国内大循环为主体的关键。正如习近平总书记在经济社会领域专家座谈会上的讲话:“依托我国超大规模市场和完备产业体系,创造有利于新技术快速大规模应用和迭代升级的独特优势”。
中国新一轮朱格拉周期的启动,将不同于2000-2010年城镇化工业化全球化背景下以“五朵金花”为标签的那一轮,而是发挥超大规模内需潜力来驱动“自主可控”的科技朱格拉周期,比如5G、新能源车。可以借鉴美国90年代的信息高速公路为标签的科技型朱格拉周期,最终诞生了微软、苹果、亚马逊、英特尔等伟大的公司。
科技创新时代下的朱格拉周期,信息类设备的投资增速持续保持在高位。美国在1990-2000年的朱格拉周期内,设备投资同比增速始终维持在高位。
伴随信息产业内部的结构升级,电脑和通信类设备占信息设备投资比重大幅上升。这一阶段信息通信技术生产行业占GDP比重从1990年的3.4%攀升至2000年的6.2%。
科技创新时代下的朱格拉周期是由科技型行业来主导设备更新投资规模。一个突出表现是,自80年代开始,美国信息类设备投资的占比就在不断持续上升,到1990年代维持在36%的高位,而工业设备和运输设备投资占比不断下滑,在25%以下徘徊。
因此,最好的核心资产是那些能够顺应中国经济转型,能够立足创新、满足14亿人口的消费需求变化,从而能够在全球竞争中胜出的企业。
3.2、孕育上一轮(2016-2017年)港股大牛市的是“连水”,这一次是“换鱼”
孕育上一轮(2016-2017年)港股大牛市的是“连水”。中国内地和中国香港两地互联互通机制推出并发展壮大,香港资本市场成为"立足中国、连接全球"的金融桥头堡。外资通过香港进入内地资本市场买入中国核心资产,内资源源不断地南下进入港股市场,联通内地资金和港股,改变了港股的流动性环境。2016年我们率先看多港股开启新牛市,正是基于港股投资者结构的巨大变化。
这一次孕育港股牛市的是“换鱼”。香港资本市场锐意改革,积极服务于中国经济转型创新发展,顺应时代潮流,2019年至今,港交所修改IPO条件、放宽对同股不同权公司的限制、允许第二上市,抓住机会积极推动在美中概股赴港二次上市,改革幅度达25年之最,最终港股市场成为新经济投资的沃土。
中概股的IPO、新经济企业大规模的上市彻底改变了港股的结构。引用香港交易及结算所有限公司集团行政总裁李小加的比喻,“以前池子里基本都是一些老鱼,这种传统的鱼基本上都是“大草鱼”,现在换来了很多新的“海鱼”、新的“三文鱼”都是强劲的“鲈鱼”,是新经济、新科技。”
过去两年,港股整体市值结构已经发生质变,当前已经实现科技行业主导。科技行业市值占比2019年1季度末18.6%上升至2020年3季度末38%,金融占比从2019年1季度末37.1%降至2020年3季度末14.8%。
后续中概股回归加速和明星独角兽的上市,港股将更加“星光璀璨”。除了美团、阿里、小米、京东、网易等,港股还将陆续迎来蚂蚁金服、字节跳动、滴滴出行等中国互联网行业的龙头公司。
恒指有望摆脱“估值洼地”标签,进入新核心资产驱动的新时代。恒指仍被金融地产主导,其中,金融市值占比稳定在48%左右,而地产占比约10%,这导致恒指的表现与港股新经济结构性行情形成巨大反差。恒指9月7日纳入阿里巴巴、小米为代表的二次上市公司、同股不同权的科技公司,恒指的改革之路开启。我们预计,恒生指数的行业市值结构在三年内将可堪比标普500指数,恒生指数的未来可以参考以FAANGS为代表的核心资产对美股指数强有力的驱动。根据《恒指的未来:“新核心资产”驱动的新时代》的三种情形假设的测算,其中,中期(未来3年)的概率较大,就是符合条件的中概股全部赴港二次上市,部分美股ADR转换至香港流通股,我们预计恒指权重行业分布:金融业占比40%,资讯科技业和非必需性消费业分别提升至30%和10%。
3.3、新经济领域的高成长核心资产,提升内外资对港股的兴趣度
我们以恒生科技指数作为港股成长股的代表,其历史回报与成长性相比纳斯达克不遑多让甚至更胜一筹。1)回顾2015年至2020年9月7日的行情表现,恒生科技指数的回报率达到141.4%,仅次于纳斯达克100指数的174.3%,优于纳斯达克综指的138.9%。2)恒生科技指数成长性高于纳斯达克。2019年度恒生科技指数收入增长达24.2%,超过纳斯达克综合指数(12.7%)和纳斯达克100指数(10.8%)。
然而恒生科技指数PE估值远低于纳斯达克指数,略高于纳斯达克100指数。如果综合考虑成长性,恒生科技指数PEG更低。截至9月7日,恒生科技指数PE达到38.1倍,低于纳指的64.8倍,高于纳指100的36.2倍。以腾讯、阿里巴巴等为代表的龙头公司成长性可以与FAANGs媲美甚至更胜一筹,而估值更具性价比。根据彭博一致预期,腾讯、阿里2019-2023年净利润CAGR分别高达25.7%、24%,PE(TTM)分别为47倍、31倍。
新经济领域的高成长核心资产对内资也有非常大的吸引力。在科创板、创业板受投资者追捧的环境下,港股科技股与A股相比凸显性价比。截至9月8日,恒生科技指数PE TTM 为38.1倍,远低于创业板指的65.2倍和科创50的76.5倍。如前所述,过去一年港股通活跃成交股净买入前十大的股票中,腾讯、美团、小米遥遥领先。
4、投资策略:顺应价值重估的趋势,逢低战略配置港股,爱在深秋
4.1、秋风冷,否极泰来,牛市孕育期
美国大选之前的9、10月份,全球资金配置将处于观察阶段,股市震荡整理概率大,届时恰是立足中长期逢低布局中国核心资产的良机。
1)11月3日美国大选之前美国政客还会不断的打“中国牌”、在经贸科技领域继续施压,甚至发生外交及地缘政治冲突,继续扰动港股的风险偏好。
虽然中国经济在全球率先复苏,港股却在新兴市场中表现落后。3月23日-9月7日,恒生指数涨幅(涨13.6%)明显低于MSCI新兴市场指数(涨44.4%)和其他国家。
港股投资者情绪改善:自3月中旬以来恒生波指整体处于下降趋势,截至9月11日,恒生波指下降为21.4,为3月中旬以来的最低值。周平均卖空成交额占比为12.3%,为近一个月以来的最低值。
2)大选后,我们判断,不管谁上台,都将率先聚焦解决国内的经济和疫情问题,中美关系将迎来暂时的喘息期。
11月摔杯为号——等待美国大选和新冠疫苗,港股核心资产有望迎来基本面和估值的双击。
首先,中国新一轮库存周期启动和全球大刺激下,周期核心资产基本面的改善是主要矛盾,9、10月份旺季的中国经济数据是确认复苏的关键。随着PPI触底回升,中国的工业企业利润增速将结束2017年以来的下降趋势,这意味着在港股上市的内地周期行业龙头公司盈利有望上行。根据库存周期规律,PPI领先工业企业利润增速。实际上,5月份,工业企业利润已出现见底迹象,当月同比增长6%,6月增速进一步扩大至11.5%。
第二,11月美国疫苗如果能按计划问世,将扭转投资者对于全球经济的预期。届时,全球成长股和价值股的估值鸿沟将收敛。处于深度价值状态的中国周期核心资产迎来全球资金的再配置。比较了过去2轮PPI触底企稳阶段,周期龙头公司的PE\PB估值情况,当前的估值仍要低一些。
4.2、投资机会一:金融地产周期核心资产的价值重估
4.2.1、“便宜是硬道理、比债强”的金融、地产等行业龙头
首先,地产、银行等高股息资产的性价比高、安全边际高、预期差大。当前市场对于的态度类似2016年初,彼时,地产产业链的基本面已企稳改善,但是,投资者的偏见明显——宁可在成长股泡沫中哭泣,也不在价值股的洼地陷阱中欢笑。
地产:目前市场对行业和板块的预期足够低,港股地产重点公司平均估值为2019A/2020年的5.2倍PE和2019年平均股息收益率约为6.6%。
银行:不良、让利与资管新规三大因素作用下,港股银行股估值隐含了足够多的坏的预期,建行PE处于2012年以来10%分位数,工行、农行处于5%分位数以下了。
其次,基本面转机隐现。
地产:1)利率下行周期,地产基本面有支撑,销售失速风险消除,房企的销售持续恢复,4月主流房企单月销售平均增速已转正,6月主流房企累计销售平均增速已转正,截至7月平均销售完成度已达到50%,接下来几个月房企还将持续加大推盘力度。2)派息力度保持较高水平,当前平均股息收益率为6.6%。
银行:随着经济复苏预期不断得到验证,资产质量悲观预期有望改善;资管新规过渡期延长的预期,有望缓解银行短期经营压力;向实体让利与减负并行,社融信贷增速上调以量补价以及银行市场化负债成本节约,不必过度担忧对银行的冲击。
第三,资金面的转机——等待外资等长线资金举牌,或者,大股东私有化。
基于 “房住不炒”的地产政策,如果这次再出现一次举牌万科的资本大戏,那么,大概率这次可能不是姚老板等所谓“门口的野蛮人“,而更可能是是外资为代表的、具有全球资产配置导向的白衣骑士。
在中国经济率先复苏、人民币汇率趋于稳定的背景下,长线外资配置中国高股息核心资产的是大势所趋。
4.2.2、周期价值型核心资产:“有点阳光就能灿烂”受益于经济复苏的利润弹性大的行业龙头
首先,基于库存周期启动的逻辑,收入改善而库底处于低位的周期行业的龙头公司复苏动能更强。具体来看:
第一类:收入-库存同比增速改善,且库存同比增速处于相对低位的行业,补库存可能来的更早更强。包括:有色、电气设备、石化、化学原料和化学制品、造纸等。
第二类:收入-库存同比增速高,且库存同比增速相对高的行业,关注景气持续度,包括专用设备等。
第二,一旦未来两年宏观经济略超预期,竞争格局更好的周期行业的核心资产将更受益。比如水泥,竞争格局好;随着疫情、洪灾等负面影响的消退,水泥需求有望呈现较为强劲的拉动,带动水泥价格的季节性上涨;以及化工,资本开支向头部企业集中,强者俞强。龙头受益景气回升和自身产能扩张推动的成长。
第三,周期属性和金融属性的大宗商品价格弹性更大。有色金属社会库存普遍处于低位,供给端或持续偏紧,金九银十工业金属需求或超预期。
4.2.3、周期成长型核心资产:新能源车、光伏等迎来新一轮库存周期与科技朱格拉周期共振
逆全球化和外部环境恶化的背景下,中国正在发挥超大规模内需潜力来驱动“自主可控”的科技朱格拉周期,因此,新能源车、新能源、精密制造等产业链上的优秀公司,受益于短期库存周期与中期朱格拉周期叠加的动能,有望迎来需求扩张和技术升级的双轮驱动。
新能源车产业链:短期,新能源车行业经过过去两年的补贴退坡及疫情影响,导致近期的发展不理想,但是随着国家出台进一步的支持政策,行业重现增长,1-6月新能源乘用车销量累计同比下降44%,7月当月同比增长已经回升至26%。欧洲新能源车销量重回高增长,推动国内新能源产业链回暖。中期,中国电动汽车市场快速成长,根据Markit报告,从2019年到2025年,中国的电动汽车销量预计将以29.4%的复合年增长率增长,到2025年将达到420万辆。
光伏:中长期需求仍有较大发展空间,中短期海外光伏需求预计将逐步恢复,国内项目饱满支撑未来一年以上的需求;硅料环节行业格局已经较为稳定,优质产能未来将持续稳定盈利,需求恢复后供需将重新走向偏紧;组件环节拥有高质量高效率的领先组件产品的公司将拥有品牌效应和产品溢价,并凭借既有的销售渠道,维持出货量的增长。
4.3、投资机会二:立足“国内大循环为主体”的朱格拉周期的新形势,长期看好科技成长股,下半年围绕业绩而分化
互联网行业展现了超凡的韧性,龙头保持快速增长。1)线上消费快速复苏,1-7月累计同比增速已经恢复到15.7%。直播电商、社交电商等商业模式的创新,推动了线上消费的增长有效地满足了消费者的多元需求。诸如生鲜到家等新零售模式的发展,将拓宽网络消费的应用场景。2)移动互联网在各行业加速渗透,2020年6月末相比去年同期,社交、电商、视频、出行、理财等行业移动互联网活跃用户规模进一步提升。3)根据QuestMobile估计,上半年互联网龙头公司营收逆势保持快速增长。
以半导体和5G为代表的科技硬件,短期中美科技领域“脱钩”压力再度掀起风浪,股价趁机震荡消化高估值;中长期来看,继续立足内需反击“被脱钩”,中国半导体的供、需两端都面临中长期发展的机遇。
一方面,中国对半导体的需求有望进入多元化、高增长阶段。5G建设的深入推广和疫情对人类社会活动的深层影响,都将持续助推万物互联的大时代,所以,中国未来10年的新型朱格拉周期的半导体,可以类比过去城镇化工业化高速发展期的水泥钢铁,终端需求除了现有的智能手机、PC、服务器之外将更加多元化。
另一方面,应对美国为首的西方世界在科技领域对华“脱钩”的压力,中国半导体的全产业链有望深化合作、自主创新。随着,中国的芯片设计厂商崛起,;制造环节国内晶圆厂龙头中芯国际、存储厂商代表长江存储、合肥长鑫在技术上实现关键性突破;半导体设备、材料厂商产品逐渐成熟,国产化率有望进一步提升。
4.4、投资机会三:消费医药是长期业绩确定的赛道,但是需要根据成长性和性价比精选个股
消费、医药是长期业绩确定的赛道,上半年估值出现了整体性的抬升,恒生必需消费业TTM估值30倍,非必需消费业从1月初20倍左右上升到92.7倍,医疗保健从1月初25倍左右上升到了43.6倍。行业整体的性价比没有那么高了,需要根据成长性和性价比精选个股。其中,中报的业绩披露是“验金石”,只有少数业绩符合预期的高成长股才能继续享受估值业绩。
4.5、投资机会四:黄金等贵金属,继续战略性看多
维持我们在2020年3月25日报告《黄金的配置良机归来,这是一个长逻辑》中提出的判断:展望未来两年,基于黄金的货币属性,金价有望挑战历史新高并达到难以预测的高度。
首先,温故而知新,长逻辑来看黄金的战略性配置机会仍在。此前关于历史新高的判断,已经被市场验证;而所谓“长期达到难以预测的更高的高度”,还将在我们此前提出的长期配置黄金的大逻辑驱动下,一步一步被证实。
通胀受益属性:从拉长时间维度来看2-3年,美国的实际利率仍是黄金价格趋势的锚。一旦未来2年美国经济复苏,美国实际利率大概率会走低,则支撑黄金走牛。
货币属性:美联储“印钞”导致影响美元信用,超主权货币的黄金将受益。全球央行连续10年净买入黄金,与此同时,在全球外汇储备中美元占比下降。2020年,美联储开启“无限量QE”之后,我们有理由相信,各大央行的购金行为以更广的范围持续,黄金在一定程度上发挥其货币属性。正如巴里·埃森格林在《嚣张的特权:美元的兴衰和货币的未来》中曾指出,存在美元主导的国际体系向多元化国际体系转变的可能性。
避险属性:乱世黄金,未来数年警惕大国博弈和地缘政治风险,黄金的避险功能将持续存在。全球经济处于困局,央行货币大宽松加速贫富两级分化、民粹主义思潮泛滥的情况下,以邻为壑的大国博弈风险加大。另外,欧、美、拉美、亚太等国越来越严重的债务风险之下,黄金的避险能力也是长期存在。
五、风险提示
全球经济增速下行;中、美货币政策宽松不达预期;大国博弈风险。
港股已成为中国新经济的投资沃土——《恒指的未来》系列报告之三
恒指结构优化,攻守更兼备,配置机遇期来临——《恒指的未来》系列报告之二
注:文中报告依据兴业证券经济与金融研究院已公开发布研究报告,具体报告内容及相关风险提示等详见完整版报告。
《守正出奇,布局港股好时机》
对外发布时间:2020年09月13日
报告发布机构:兴业证券股份有限公司(已获中国证监会许可的证券投资咨询业务资格)
本报告分析师 :张忆东
SAC执业证书编号:S0190510110012
SFC HK执业证书编号:BIS749
自媒体信息披露与重要声明
使用本研究报告的风险提示及法律声明
兴业证券股份有限公司经中国证券监督管理委员会批准,已具备证券投资咨询业务资格。
本报告仅供兴业证券股份有限公司(以下简称“本公司”)的客户使用,本公司不会因接收人收到本报告而视其为客户。本报告中的信息、意见等均仅供客户参考,不构成所述证券买卖的出价或征价邀请或要约。该等信息、意见并未考虑到获取本报告人员的具体投资目的、财务状况以及特定需求,在任何时候均不构成对任何人的个人推荐。客户应当对本报告中的信息和意见进行独立评估,并应同时考量各自的投资目的、财务状况和特定需求,必要时就法律、商业、财务、税收等方面咨询专家的意见。对依据或者使用本报告所造成的一切后果,本公司及/或其关联人员均不承担任何法律责任。
本报告所载资料的来源被认为是可靠的,但本公司不保证其准确性或完整性,也不保证所包含的信息和建议不会发生任何变更。本公司并不对使用本报告所包含的材料产生的任何直接或间接损失或与此相关的其他任何损失承担任何责任。
本报告所载的资料、意见及推测仅反映本公司于发布本报告当日的判断,本报告所指的证券或投资标的的价格、价值及投资收入可升可跌,过往表现不应作为日后的表现依据;在不同时期,本公司可发出与本报告所载资料、意见及推测不一致的报告;本公司不保证本报告所含信息保持在最新状态。同时,本公司对本报告所含信息可在不发出通知的情形下做出修改,投资者应当自行关注相应的更新或修改。
除非另行说明,本报告中所引用的关于业绩的数据代表过往表现。过往的业绩表现亦不应作为日后回报的预示。我们不承诺也不保证,任何所预示的回报会得以实现。分析中所做的回报预测可能是基于相应的假设。任何假设的变化可能会显著地影响所预测的回报。
本公司的销售人员、交易人员以及其他专业人士可能会依据不同假设和标准、采用不同的分析方法而口头或书面发表与本报告意见及建议不一致的市场评论和/或交易观点。本公司没有将此意见及建议向报告所有接收者进行更新的义务。本公司的资产管理部门、自营部门以及其他投资业务部门可能独立做出与本报告中的意见或建议不一致的投资决策。
本报告的版权归本公司所有。本公司对本报告保留一切权利。除非另有书面显示,否则本报告中的所有材料的版权均属本公司。未经本公司事先书面授权,本报告的任何部分均不得以任何方式制作任何形式的拷贝、复印件或复制品,或再次分发给任何其他人,或以任何侵犯本公司版权的其他方式使用。未经授权的转载,本公司不承担任何转载责任。
在法律许可的情况下,兴业证券股份有限公司可能会持有本报告中提及公司所发行的证券头寸并进行交易,也可能为这些公司提供或争取提供投资银行业务服务。因此,投资者应当考虑到兴业证券股份有限公司及/或其相关人员可能存在影响本报告观点客观性的潜在利益冲突。投资者请勿将本报告视为投资或其他决定的唯一信赖依据。
投资评级说明
报告中投资建议所涉及的评级分为股票评级和行业评级(另有说明的除外)。评级标准为报告发布日后的12个月内公司股价(或行业指数)相对同期相关证券市场代表性指数的涨跌幅,香港市场以恒生指数为基准,美国市场以标普500或纳斯达克综合指数为基准,A股市场以上证综指或深圳成指为基准。
行业评级:推荐-相对表现优于同期相关证券市场代表性指数;中性-相对表现与同期相关证券市场代表性指数持平;回避-相对表现弱于同期相关证券市场代表性指数。
股票评级:买入-相对同期相关证券市场代表性指数涨幅大于15%;审慎增持-相对同期相关证券市场代表性指数涨幅在5%~15%之间;中性-相对同期相关证券市场代表性指数涨幅在-5%~5%之间;减持-相对同期相关证券市场代表性指数涨幅小于-5%;无评级-由于我们无法获取必要的资料,或者公司面临无法预见结果的重大不确定性事件,或者其他原因,致使我们无法给出明确的投资评级。
免责声明
市场有风险,投资需谨慎。本平台所载内容和意见仅供参考,不构成对任何人的投资建议(专家、嘉宾或其他兴业证券股份有限公司以外的人士的演讲、交流或会议纪要等仅代表其本人或其所在机构之观点),亦不构成任何保证,接收人不应单纯依靠本资料的信息而取代自身的独立判断,应自主做出投资决策并自行承担风险。根据《证券期货投资者适当性管理办法》,本平台内容仅供兴业证券股份有限公司客户中的专业投资者使用,若您并非专业投资者,为保证服务质量、控制投资风险,请勿订阅或转载本平台中的信息,本资料难以设置访问权限,若给您造成不便,还请见谅。在任何情况下,作者及作者所在团队、兴业证券股份有限公司不对任何人因使用本平台中的任何内容所引致的任何损失负任何责任。
本平台旨在沟通研究信息,交流研究经验,不是兴业证券股份有限公司研究报告的发布平台,所发布观点不代表兴业证券股份有限公司观点。任何完整的研究观点应以兴业证券股份有限公司正式发布的报告为准。本平台所载内容仅反映作者于发出完整报告当日或发布本平台内容当日的判断,可随时更改且不予通告。
本平台所载内容不构成对具体证券在具体价位、具体时点、具体市场表现的判断或投资建议,不能够等同于指导具体投资的操作性意见。