周康板块新城西岸公园已经取证
加推228套再次开始认筹!
主力户型118-138平3-4房
单价为约5.7万/平
基本与上一次开盘相同
这个项目一期的时候
曾一度受到很多人质疑
周康5.7W一定卖不好吧?
▲新城西岸公园预售证
位于浦东康沈路的新城西岸公园开始认筹,在售房源为9幢、10幢、12幢、13幢,多为中央景观楼。本次开盘228套,建筑面积主力户型为117平、138平三房至四房房源;往下阅读户型图,一房一价表!
位于上海2040城市发展计划、张江(板块楼盘、地图选房)科学城规划的大浦东未来核心腹地,坐拥约13000平方米商业MALL、约2000平方米VIP健身会所、约8000平方米滨水公园带等核心配套,汇聚生活完整体。
项目还原美国加州主题滨水景观带,坐拥L型城市私家水岸,是绵延都荟腹地的湾区院界。此外,还甄选天然石材搭配玻璃金属,创造艺术美学原石立面,璞丽酒店风格设计营造归家大堂舒适仪式体验。更有新风、净水、地暖等全套绿色健康家居配置,树立时代阶层居住品格体验旗帜。
前滩东 ,张江南,仅此一座CLUB公园自然界。周浦镇,位于前滩、迪士尼、自贸区“国际黄金三角区”核心腹地。新城·西岸公园,区域内东至咸塘港、南至德浦路,西至康沈路、北至陆家浜。约10公里车程可覆盖前滩、张江、迪士尼;距11号线秀沿路站仅2.5公里,距外环、规划中的18号线、万达均在2公里之内。
项目是周康板块内唯一全石材干挂品质住区、唯一自带城市滨水公园住区、唯一自带13500方商业一站式服务社区,三个唯一,保证了居住的品质,更是奠定了其稀缺抢手之基调。
新城西岸公园53㎡一房户型
新城西岸公园89㎡两房户型
新城西岸公园118㎡横厅大景观D户型
新城西岸公园138㎡王牌G户型
样板间图如下:↓↓↓
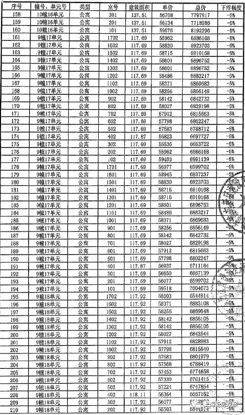
一房一价表如下:↓↓↓
53-138平
限价上市,精装地暖!
精装标准4500/平 层高3.1米
全石材干挂 户型南北方正通透
欢迎参观选购!
编辑: 箴洛
——上海新房观察——
在心里和你过完了一生
见面只能说声
你好,余生好长,你最难忘!
合作请联系私聊!
热点|房产|政策|评论|投稿
版权声明:本文中所涉及的图文资料仅供参考,不构成要约内容。开发商可能对项目细节等做进一步优化调整,具体信息以合同约定及政府最终审批为准,开发商在法律规定的范围内保有最终解释权。
个人征信查询指南如下:↓↓↓