Aha!
A good way of thinking of where the Laplace Transform comes from, and a way which dispels some of its mystery is by thinking of power series.——Arthur Mattuck (MIT数学系返聘教授,原MIT数学系主任)
一个比较好的关于Laplace变换的解释方法是从幂级数(Power Series)入手。
Pierre-Simon marquis de Laplace
(1749-1827)
(图片来源:维基百科)
皮埃尔-西蒙·拉普拉斯侯爵(法语:Pierre-Simon marquis de Laplace),法国著名的天文学家和数学家,他的研究工作对天体力学和统计学有举足轻重的发展。他也是拉普拉斯变换和拉普拉斯方程的发现者,对数学和物理学的发展具有杰出贡献。
学过控制的都知道拉普拉斯变换(Laplace Transform),但是你们是不是也有疑问,拉普拉斯变换中的S到底是个什么鬼?皮埃尔-西蒙·拉普拉斯侯爵当年为啥就能想出个这样的数学变换公式?
我是自从接触拉普拉斯变换就一直有这样的疑问,就感觉这种东西很强行,你没有理解却又无法拒绝。直到有一天,看了Arthur Mattuck的微分方程才恍然大悟,膜拜大神!
我们知道,一个幂级数可以写为如下形式:
(1.1)
如果将an看成一组离散的函数数列,则上式也可以写为:
(1.2)
把a(n)看成是作为幂级数系数的一组离散函数,上式就可以看作是函数A(x)的构造过程,即,只要输入一个{a(0),a(1),a(2),⋯}序列,就可以输出一个A(x),其中,x 是输出函数A(x)的自变量。
现在,举一个例子,如果取a(n)=1,即{a(0)=1,a(1)=1,a(2)=1,⋯}那么我们将得到:
(1.3)
有人说上式最后等于1/(1-x),但这么说其实不准确,因为并不是对于所有的x上式都成立,只有当它是一个收敛级数时才成立!而式(1.3)中x 的收敛域为(-1,1),所以式(1.3)可以改写为:
(1.4)
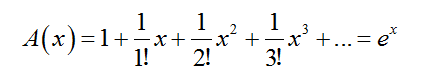
再举一个例子,如果a(n)=1/n!,则有:
(1.5)
在这个例子里,x 对于任意实数均成立,其实上式就是ex 在x =0 处的泰勒展开。
从上面的例子可以看出,取一个定义在正整数或非负的整数上的离散函数,然后进行加和操作,结果却能够产生一个连续函数。注意其中的离散函数an的变量为n,加和得出的结果却是关于变量x。总之,这是幂级数的一种性质,也属于一种离散求和的情况。
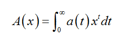
假设让这个求和变得连续而不是离散,即不是让变量n =0,1,2,3…,另外定义一个变量t,并且0≤t<∞,即t可以为[0,∞)中的任意实数。
如果想用t 取替代n,显然不能再用上面处理离散序列的办法在所有实数上求和,而是要通过积分。即:
(1.6)
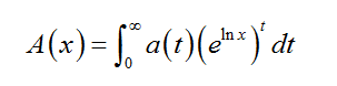
我们可以保留这种形式,但是没有数学家喜欢这样做,而且工程师也很少这样做,因为当进行积分和微分操作时,没有人希望其中包含一个指数函数的底是x 之类的积分或微分项,这让人看起来很头疼。而唯一方便的是自然底数e。只有e 才是人们喜欢用来积分或微分的,因为对以自然底数为底的指数函数y=eax 进行积分或微分后的结果还是其本身或仅仅是本身乘以了一个系数,满足该性质的函数世界上仅此一家、别无分店!!!想知道e的来源请见《自然底数e怎么就“自然”了》。
因此我们将以x 为底数的指数变换成为以e 为底数的指数形式:
(1.7)
现在,我们再看这个积分,显然,我们写出这个积分当然希望其可解,或者说收敛。毕竟这是一个从零到无穷大的广义积分,我们需要特殊对待,只有当x 是一个小于1的数时该积分才有可能收敛,只有这样,当幂越来越大时,得到的数才会越来越小,所以这里要求x <1。然后,我们还希望x 为正值,否则会遇到负幂的麻烦,例如当x =-1,t =1/2时,将得到虚数,这是我们所不愿看到的,所以要求0<x <1,我们这么做是为了让积分收敛。那么在这种情况下,lnx又会是什么样的呢?显然,当0<x <1时,lnx <0。
lnx 这个变量看起来貌似有点复杂,我们何不用一个变量去代替它呢?
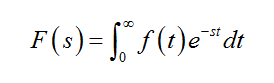
那么就用s 吧!
现在令s = -lnx 或-s = lnx,因为lnx <0,取-s = lnx的话,s 就总为正数了,处理正数当然更符合人们的习惯。另外,我们用f (x )代替a (x ),这样看上去更像我们熟悉的函数形式。我们上面各种替换都只是为了修饰,我们将这些替换代入式(1.7)中,得:
(1.8)
我们居然通过这种方式得到了Laplace Transform!!!
如果用符号代替,可以将式写为:
(1.9)
这就是拉普拉斯变换,当将一个t 的函数输入,将得到一个关于s 的函数。
另外提一下,这里说的是“变换”,其实数学中还有一个概念叫做“算子”,而变换和算子的最本质区别在于,经过“算子”运算,变量没有变,比如微分就是一种典型的算子,而经过“变换”运算则会改变变量的形式。
Reference
[1] Pierre-Simon Laplace, https://en.wikipedia.org/wiki/Pierre-Simon_Laplace
[2] Differential Equation, Arthur Mattuck