王维钢:投资美好生活第一画之优化人口质量20210811
投资美好生活——2021年君晟年度报告
分为三部分:
王维钢:投资美好生活第一画之优化人口质量20210811
王维钢:投资美好生活第二画之优化居住需求20210821
王维钢:投资美好生活第三画之优化财富结构20210829
是君晟总量年度会议乾天场210801和坤地场210829
及君晟互联网精选会议210821书面发言。
请点击浏览:君晟研究社区五周年纪念电影
本文是常晟投资CEO王维钢博士在君晟研究社区举办的2021年8月1日君晟总量年度会议乾天场和和8月29日坤地场上的书面发言组成部分。
敬请关注王维钢、谭晓雨新上市专著《全球国力博弈的中国投资机会》,在京东网站搜索 全球国力博弈 或复制链接黏贴到浏览器:
https://item.m.jd.com/product/10030830401312.html
或长按图片识别二维码购买:
君晟研究社区五周年纪念电影
君晟总量年度会议乾天场现场嘉宾合影2021年8月1日,参会嘉宾约2000人
|
|
|
2021年下半年君晟会议要素备忘录:
君晟午月科技自主会议210703周六:117 393 720 翟金林长江养老资管,李超浙商宏观、董广阳华创食品、张乐广发汽车、郭鹏广发环保、许兴军广发电子。
君晟总量年度会议乾天场210801周日,詹粤萍民生通惠资管副总、李蓉伏明资产,赵晓光天风副总裁 电子10-16第一铂金@上海、郭磊广发宏观17-20第一@上海,刘富兵国盛金工14-17/19-20一@上海,第一阶段腾讯会议号:231 295 277,
荀玉根-海通副所长策略16-20第一@上海,公募机构领导讨论环节(许之彦华安基金助总、艾小军国泰基金总监、华夏基金等)
君晟总量年度会议坤地场210829周日,李慧勇华宝基金副总、王进君富投资,王胜申万副总策略水晶球19第一@上海,王涵兴业副院长首席经济学家宏观14. 16-20第二@上海,戴康广发策略19-20第二@上海,杨国平华西副所长金工07第一@上海,第一阶段腾讯会议号:626 545 522,张忆东兴业副院长海外研究17-20第一@上海,公募机构领导讨论环节(姚余栋大成基金首席经济学家等)
君晟酉月科技自立会议210925周六,250 438 077 王维钢常晟投资、张海波人保资管,谢亚轩招商宏观、邓勇海通化工、刘欣琦国君非银、王聪国君电子、范超长江建材。
君晟戌月科技自强会议211107周日立冬,285 667 363 田刚中融基金副总、郑楚宪宝樾投资,张启尧/王德伦兴业策略、宋嘉吉国盛通信、刘越男国君社服、吕伟/胡又文安信计算机。
君晟亥月开放创新会议211205周日,605 865 803 蔡峰南华基金助总,王胜申万策略、孟杰兴业建筑、郑震湘国盛电子、马鲲鹏建投金融。
君晟辛丑年收官会议220102周日,736 527 163 李慧勇华宝基金副总,郭磊广发宏观、刘富兵国盛金工。
君晟精选会议第五季JSSCC JunSheng Sector Choice Conference
S5 Episode 1 君晟低碳部门精选会议210724六:986 963 270,田宏伟中泰资管助总,苏晨中泰电新、刘晓宁申万电力、袁理东吴环保、施毅海通金属。
S5 Episode 2 君晟互联网部门精选会议210821六:955 375 215,田刚中融基金副总、王炫宽渡资产,旷实广发传媒、杨仁文方正所长传媒、刘洋申万计算机、顾佳招商传媒。
S5 Episode 3 君晟科技消费部门精选会议210911六:390 924 141,田宏伟中泰资管助总、郝一鸣润沃沣,陈杭方正电子、徐佳熹兴业医药、吴立天风农业。
S5 Episode 4 君晟现代服务部门精选会议211016六:380 812 490,詹粤萍民生通惠资管副总、黄树军永望资产,汪立亭海通商业、韩轶超长江交运、戴志锋中泰银行。
S5 Episode 5 君晟高端制造部门精选会议211120六:173 389 142,梁剑泰信基金总监、徐智麟钧齐投资,邬博华长江电新、石康兴业军工机械、吕娟建投机械。
S5 Episode 6 君晟创新消费部门精选会议211219日冬至:806 288 040,谭晓雨国泰君安、袁鹏涛中域投资,管泉森长江家电、王永锋广发食品、刘高畅国盛计算机。
即将上映!君晟互联网精选会议210821
目录
(一)摘要及正文
1、摘要
2、正文
正文以下部分君晟文献可选择性不阅读
(二)君晟研究社区简介与会议通告
1、君晟会议机制综述与2020年君晟月度会议与精选会议要素备忘录
2、君晟研究社区简介:群委会、君晟主持人、君晟天团主讲人介绍九宫图
3、图片集锦:
君晟铂金奖颁奖礼20161222、
君晟年会助力新财富论坛20161014、
君晟总量会议20171104、
君晟重阳总量年度会议20191007、
君晟己亥年收官会议20200105、
君晟总量年度会议20200830、
君晟庚子年收官会议20210110、
君晟总量年度会议乾天场20210801、
君晟总量年度会议坤地场20200829、
君晟辛丑年收官会议20220102
(三)历史文献索引
(三)历史文献索引
1、学术交流活动记录
2、同业公益活动记录
3、政策建议活动记录
(一)摘要及正文
摘要:
摘要
一、中国政府已制定目标努力提高人均GDP争取在2035年前摆脱中等收入陷阱、进入中等发达国家行列。2020年12月29日《五中全会公报》提出到2035年基本实现社会主义现代化的远景目标,其中包括人均GDP达到中等发达国家水平。
1、以2020年发达经济体人均GDP水平为例,中等发达经济体的标准是人均GDP4—6万美元,2-4万为初等发达经济体、6万以上是高等发达经济体。发达经济体的人均GDP标准是动态上升的,15年后所有发达经济体人均GDP都会有所增长,中等发达经济体的人均GDP标准上限和下限都会提高。要找准中国人均GDP的奋斗目标,需要建立君晟全球增长模型做出人口和GDP的预测。
2、发达经济体的衡量标准不只是代表生活质量的核心指标人均GDP,还有预期寿命和教育水平等社会发展水平指标。人均GDP早已达标的中东产油国就因为预期寿命和教育水平没有达标而被IMF排除在发达经济体的范畴之外。衡量发达经济体的全面指标体系是联合国人类发展指数,主要包括平均预期寿命、教育水平、以人均可支配收入为代表的生活质量。
二、计划生育政策是过去四十年中国人均GDP快速提升脱离低收入国家进入中等收入国家行列的重要基石政策,也为中国在未来早日从人均GDP一万美元的中等收入国家晋升到中等发达国家行列的重要基石政策。如果未来人口政策失当造成中国人口数量失控增长,中国将长期沦陷于中等收入陷阱、无法实现人均GDP超越并维持在中等发达国家同期基准水平的国家战略目标,中国社会贫富差距将继续扩大,社会动荡风险将持续累积。
1、印度与中国计划生育政策比较:
2、中印计划生育政策实行效果巨大差异是中印人均GDP比值从1990年1上升到2020年5.5倍的主要原因。
3、中国政府和社会公众要接受人达峰和深度老龄化社会到来的人类客观发展规律,制定应对老龄化社会生态和以人口质量红利取代人口数量红利延续对经济增长持续助力的政策体系。君晟预测印度2025年就会人口14.5亿超过中国14.3亿, 2050年中国会人口达峰14.8亿、比联合国预测时间2030年推迟20年。
三、开放生育政策能延续人口红利对长期经济增长的助力吗?药方开错了!实现中国长期增长潜力目标应该制定政策体系努力提高人口质量而不是依靠放开生育政策来提高人口数量。中国实现中等发达经济体的人均GDP目标必须依靠人口达峰并持续收敛,中国GDP不可能永续高速度增长。全球产业链分层从高收入国家向中低收入国家转移是客观发展规律,随着人均收入进入高收入范畴而经济体增速稳步回落是经济体客观发展规律。决定国家竞争和战争的胜负不可能是人口数量,而是保持科技发展能力的人口质量可持续提升趋势。国家增长动力必然要从人口数量红利向人口质量红利过渡。
1、药方开错了!放开生育政策对维持中国长期增长潜力的目标是无效的,人口老龄化是中国跻身中等发达国家的必然结果,政策规划目标应是提高人口素质和生存质量才是维持增长动力。
2、随着经济水平快速发展,中国与韩国日本等从中等收入国家晋升发达经济体的国家一样必然从传统型人口增长模式向人类美好社会的低出生率和低死亡率低自然增长率的现代型模式过渡。
3、追求人口质量而非人口数量、改革土地与住宅供给政策,限制住宅投资属性鼓励住宅自主消费属性,全国均衡布局教育与医疗基础设施和人力资源配置全。
4、在2000年后,中国育龄家庭生育意愿主要受高房价制约,以及受城市养育教育高成本和女性职业追求制约,计划生育政策制约体现在社会抚养费经济约束已经不是生育意愿的主要制约因素。
5、放开三胎政策的后评价:放开二胎政策乃至三胎政策对提高城市育龄家庭生育意愿帮助不大,对提高乡村育龄家庭生育意愿有帮助,对促进城市家庭二次置业有帮助。
6、人口数量红利让位给人口质量红利成为经济发展驱动力。随着人工智能和机器人技术的深化发展,现代社会对低技能职位的需求越来越低,对高技能职位需求仍强烈。
四、开放生育政策不能改变多数适婚青年和育龄家庭的生育意愿。生育意愿的约束因素主要是高房价,还包括已有住房面积不足以容纳多胎家庭正常生活、生育容易养育难、女性高就业率与亲子陪伴成长需求难以兼顾。2014年放开二胎政策部分弥补了育龄妇女总数递减和结婚意愿一胎生育意愿下降造成的出生数下降但仅维持了4年,2021年放开三胎政策弥补一胎二胎生育意愿同下降的出生数缺口的时间长度也不会超过4年。
1、高房价是抑制适婚青年和育龄家庭生育意愿的主要原因。高房价抑制了居民消费支出和生育意愿,中国居民为购房维持较高储蓄率、降低了消费支出。
2、高房价抑制了居民消费支出和推迟了适婚青年结婚和生育计划。
3、高房价以外还有哪些因素压制育龄妇女的生育意愿?中国女性劳动参与率超过70%是全球最高,高女性劳动参与率是抑制育龄妇女生育意愿的重要原因。
五、优化人口质量,就要努力提高联合国人类发展指数HDI三项基本指标预期寿命、教育水平、生活质量。
六、优化人口质量对策一:提高预期寿命。提高人均预期寿命是优化人口质量的国家目标,也是提高中国人类发展指数的必然途径,必然加速进入深度老龄化社会。
七、优化人口质量对策一:提高人均寿命预期,适应老龄化社会人民需求。老龄化社会不是洪水猛兽、是中国发展为中等发达经济体的必然途径,中国社会转型不能是想方设法推迟老龄化社会的到来而是要适应老龄化社会人民追求美好生活的需求、满足人民对居住、教育、医疗的更高要求。中国经济持续增长不能依靠增加新生人口延续人口数量红利,而是要提高国民居住教育医疗水平和提高运用科技的技能水平、依靠人口质量红利延续人口红利。医疗条件保障平均寿命延长是社会深度老龄化的客观结果,提高平均寿命是中国社会进步和中国从中等收入国家晋升为中等发达国家的必要条件。
1、老龄化社会的定义:65岁以上人口占比超过7%轻老龄、14%深老龄、20%超老龄。
2、老龄化趋势不可更改的应对策略:中国应学习欧盟国家制定逐年递增法定退休年龄的政策,满足社会工作岗位的用工需求、延缓就业人口的社会抚养比压力。
八、如何提高中国家庭生育意愿?优化人口质量对策二:提高教育水平。倡议中国尽快实行9年义务教育延伸到12年义务教育政策、扩大15年免费教育和免费中等职业教育政策取代9年义务教育政策的涵盖面。提高教育水平的政策组合同样是提高中国家庭生育意愿的重要措施。
1、2017年3月教育部部长陈宝生答复:目前不具备延伸义务教育至12年的条件。
2、倡议中国边疆地区和沿海发达地区已试点四年的15年免费教育和中等职业教育免费政策扩大全国的涵盖面。
3、中国全面实行12年义务教育已经迫在眉睫。
九、优化人口质量对策二:提高教育水平。君晟提出人口教育年限30年增长目标:推行12年义务教育制度,总人口平均教育年限从2020年9.7年增长到2030年10.3年、2040年11.1年、2050年11.9年。
十、优化人口质量对策二:提高教育水平。提高人口质量的总体对策:全国均衡布局教育与医疗基础设施和人力资源配置,限制教育与医疗人力资源在核心都市集中的趋势,大力增加教育与医疗基础设施建设与人力资源供给,教育部财政部实行C9联盟高校学生用教育按揭贷款支付100万培养费和可用15年中国服务个税抵扣偿还贷款的优质高校培养费制度。
1、提高人口质量的的总体从对策:实现全国教育与医疗优势事业单位集团化网络化发展:充分补充二三线城市的教育与医疗人力资源再配置和优秀人力资源跨区域轮换制度和跨区域晋升制度,缓解全国人民对核心都市优势教育与医疗资源的集中消费趋势。
2、通过医疗教育资源投入提高人口质量的具体措施:中央部署增加教育与医疗优质资源建设,包括基础设施建设和人力资源建设。
3、教育部财政部实行C9联盟高校学生用教育按揭贷款支付100万培养费和可用15年中国服务个税抵扣偿还贷款的优质高校培养费制度:
十一、如何提高中国家庭生育意愿?优化居住需求:建立房地产开发商新建住宅社区必须配套教育基础设施和公有住宅的房地产土地拍卖政策,中央房地产政策从稳房价稳地价转变为允许房价下跌,尽快推出以房地产税为标志的财产税政策,以财产税收入逐步替代土地出让收入、改变地方政府对土地财政的依赖。城镇居民人均可支配收入增幅显著落后于房价增幅。住宅的居住消费属性被投资属性掩盖,全体城镇住宅价格不是由全体有购房意愿的居民所决定的,而是由高购买力的一部分高资产居民群体所决定的。城镇居民人均可支配收入是全体城镇居民的平均值,实际中低收入城镇居民人均可支配收入要低于全体平均值。
十二、如何提高中国家庭生育意愿?建立养育教育福利政策体系为中低收入家庭减负。中国有哪些养育教育福利政策可以借鉴?
十三、优化人口质量对策三:提高生活质量主要是增加人均可支配收入和人均GDP、人均国民收入GNI。
1、特定经济体人均可支配收入和人均GDP呈现一定比例关系。人均美元GDP增速的影响因素包括本币计价GDP增速、美元兑本币汇率变化、美元GDP增速、人口变化。
2、中国人均可支配收入变化分析:
十四、优化人口质量对策三:提高生活质量。努力提高人均GDP和人均可支配收入、人均国民收入,为中国早日晋升为中等发达经济体的发展目标修订制定政策组合。以君晟预测2035年人口14.7亿测算, 2020年中国GDP约100万亿元、以年均增速5%测算2035年GDP目标预计 211万亿元,假设美元兑人民币汇率平均每年相对美元升值1%累计15年升值15%,以年均增速5%测算2035年GDP预计37.5万亿美元,对应人均GDP目标2.6万美元,波动区间2.2-2.6万美元。中国2035年人均GDP能否如愿达到中等发达国家水平? 结论是否定的。中国应修正设定2035年达到初等发达国家、稳定脱离中等收入陷阱为短期发展目标,2050年为达到中等发达国家的中期发展目标。
1、为中国找准实现中等发达经济体发展目标的时间轴与对应奋斗靶位,分析全球发达经济体人均GDP分布情况:
2、中国的终极政策目标是晋升为中等发达经济体、彻底脱离中等收入陷阱的发展目标。一切的人口政策、经济政策、货币政策、财政政策都是为了发展的终极目标。
3、2035年中国人均GDP可能增长到多少?置信区间情景假设:中国15年潜在增速假设为4.5-5%,美国15年潜在增速假设为2.0-2.5%,世界15年潜在增速假设为3.0-3.5%,美元兑人民币汇率年变幅-1%、0%、1%。基于对中国长期增长潜力和制造业出口竞争优势的判定,选取60%概率中国潜在增速5%,70%概率美元兑人民币汇率每年平均变幅1%即人民币兑美元15年合计升值15%。
十五、中国人口历史增长进程特征分析:经过1966-1975年和1986-1990年两波生育高峰后,在1998年房改元年后,随着房价逐年上涨,育龄妇女的生育意愿和实际人口年新增额逐年下降。
十六、君晟全球人口增长模型结论:生育意愿下降是全球现象,多数发达经济体整体生育意愿较低,经济高速增长的新兴经济体中国印度印尼生育意愿也呈现下降趋势,以居住高房价为首和养育教育高成本、女性就业追求为辅是压制生育意愿的三座大山。
1、IMF2021年7月全球经济数据库采用的2021-2025年平均人口增速假设:
2、君晟全球人口增长模型主要预测
3、备考数据:联合国中方案预测数据:
4、备考数据:联合国人口基金会《2020年世界人口状况报告》披露主要国家人口数据:
十七、君晟全球增长模型预测:2035年中国人均GDP乐观状况可以达到2.5万美元,但不可能到达4万美元的2020年中等发达国家下限,且2035年中等发达国家下限确定高于4万美元。
1、主要经济体2021-2060年不变价本币GDP的长期潜在增速假设:
2、2021-2060年长期人口年增速假设:
3、人均GDP推算如下表:
十八、应对老龄化和以人口质量红利代替人口数量红利的先富带动后富发展模式是全球经济增长的普适模式,发达地区常住人口与外来流动人口共同创造社会财富。从全球大型经济体中国、美国、欧盟整体而言,中国长三角珠三角沿海区域在本区常住人口劳动者和内陆流动人口劳动者、美国加州德州纽约州等经济发达州在本州居民和外来移民、欧盟德国法国等西欧发达国家在本国国民和东欧北非外来移民的共同努力下创造了全球最强的三组经济增长领头羊区域。
1、中央提倡先富带动后富发展模式。
2、2020年七普与2010年六普相比中国,城镇人口增加2.4亿到9.0亿、城镇化率从50%上升到64%、其中户籍人口45%、流动人口19%,人户分离人口增加2.3亿增长89%、市辖区内人户分离人口增加0.77亿增长193%、流动人口增加1.54亿增长70%。
3、发达地区充分利用本区户籍常住人口和外来非户籍常住人口共同创造社会财富是全球发达区域先富带动后富普适发展模式。
正文:
王维钢:投资美好生活第一画之优化人口质量20210811
投资美好生活——2021年君晟年度报告
分为三部分:
王维钢:投资美好生活第一画之优化人口质量20210811
王维钢:投资美好生活第二画之优化居住需求20210821
王维钢:投资美好生活第三画之优化财富结构20210829
是君晟总量年度会议乾天场210801和坤地场210829
及君晟互联网精选会议210821书面发言。
如何应对老龄化、人口达峰?实现中国长期增长潜力目标应该制定政策体系努力提高人口质量而不是依靠放开生育政策来提高人口数量。
优化人口质量,就要努力提高人类发展指数三项基本指标预期寿命、教育水平、生活质量。
应对老龄化和以人口质量红利代替人口数量红利的先富带动后富发展模式是经济增长的全球普适模式。
目录
一、中国政府已制定目标努力提高人均GDP争取在2035年前摆脱中等收入陷阱、进入中等发达国家行列。2020年12月29日《五中全会公报》提出到2035年基本实现社会主义现代化的远景目标,其中包括人均GDP达到中等发达国家水平。
二、计划生育政策是过去四十年中国人均GDP快速提升脱离低收入国家进入中等收入国家行列的重要基石政策,也为中国在未来早日从人均GDP一万美元的中等收入国家晋升到中等发达国家行列的重要基石政策。如果未来人口政策失当造成中国人口数量失控增长,中国将长期沦陷于中等收入陷阱、无法实现人均GDP超越并维持在中等发达国家同期基准水平的国家战略目标,中国社会贫富差距将继续扩大,社会动荡风险将持续累积。
三、开放生育政策能延续人口红利对长期经济增长的助力吗?药方开错了!实现中国长期增长潜力目标应该制定政策体系努力提高人口质量而不是依靠放开生育政策来提高人口数量。中国实现中等发达经济体的人均GDP目标必须依靠人口达峰并持续收敛,中国GDP不可能永续高速度增长。全球产业链分层从高收入国家向中低收入国家转移是客观发展规律,随着人均收入进入高收入范畴而经济体增速稳步回落是经济体客观发展规律。决定国家竞争和战争的胜负不可能是人口数量,而是保持科技发展能力的人口质量可持续提升趋势。国家增长动力必然要从人口数量红利向人口质量红利过渡。
四、开放生育政策不能改变多数适婚青年和育龄家庭的生育意愿。生育意愿的约束因素主要是高房价,还包括已有住房面积不足以容纳多胎家庭正常生活、生育容易养育难、女性高就业率与亲子陪伴成长需求难以兼顾。2014年放开二胎政策部分弥补了育龄妇女总数递减和结婚意愿一胎生育意愿下降造成的出生数下降但仅维持了4年,2021年放开三胎政策弥补一胎二胎生育意愿同下降的出生数缺口的时间长度也不会超过4年。
五、优化人口质量,就要努力提高联合国人类发展指数HDI三项基本指标预期寿命、教育水平、生活质量。
六、优化人口质量对策一:提高预期寿命。提高人均预期寿命是优化人口质量的国家目标,也是提高中国人类发展指数的必然途径,必然加速进入深度老龄化社会。
七、优化人口质量对策一:提高人均寿命预期,适应老龄化社会人民需求。老龄化社会不是洪水猛兽、是中国发展为中等发达经济体的必然途径,中国社会转型不能是想方设法推迟老龄化社会的到来而是要适应老龄化社会人民追求美好生活的需求、满足人民对居住、教育、医疗的更高要求。中国经济持续增长不能依靠增加新生人口延续人口数量红利,而是要提高国民居住教育医疗水平和提高运用科技的技能水平、依靠人口质量红利延续人口红利。医疗条件保障平均寿命延长是社会深度老龄化的客观结果,提高平均寿命是中国社会进步和中国从中等收入国家晋升为中等发达国家的必要条件。
八、如何提高中国家庭生育意愿?优化人口质量对策二:提高教育水平。倡议中国尽快实行9年义务教育延伸到12年义务教育政策、扩大15年免费教育和免费中等职业教育政策取代9年义务教育政策的涵盖面。提高教育水平的政策组合同样是提高中国家庭生育意愿的重要措施。
九、优化人口质量对策二:提高教育水平。君晟提出人口教育年限30年增长目标:推行12年义务教育制度,总人口平均教育年限从2020年9.7年增长到2030年10.3年、2040年11.1年、2050年11.9年。
十、优化人口质量对策二:提高教育水平。提高人口质量的总体对策:全国均衡布局教育与医疗基础设施和人力资源配置,限制教育与医疗人力资源在核心都市集中的趋势,大力增加教育与医疗基础设施建设与人力资源供给,教育部财政部实行C9联盟高校学生用教育按揭贷款支付100万培养费和可用15年中国服务个税抵扣偿还贷款的优质高校培养费制度。
十一、如何提高中国家庭生育意愿?优化居住需求:建立房地产开发商新建住宅社区必须配套教育基础设施和公有住宅的房地产土地拍卖政策,中央房地产政策从稳房价稳地价转变为允许房价下跌,尽快推出以房地产税为标志的财产税政策,以财产税收入逐步替代土地出让收入、改变地方政府对土地财政的依赖。城镇居民人均可支配收入增幅显著落后于房价增幅。住宅的居住消费属性被投资属性掩盖,全体城镇住宅价格不是由全体有购房意愿的居民所决定的,而是由高购买力的一部分高资产居民群体所决定的。城镇居民人均可支配收入是全体城镇居民的平均值,实际中低收入城镇居民人均可支配收入要低于全体平均值。
十二、如何提高中国家庭生育意愿?建立养育教育福利政策体系为中低收入家庭减负。中国有哪些养育教育福利政策可以借鉴?
十三、优化人口质量对策三:提高生活质量主要是增加人均可支配收入和人均GDP、人均国民收入GNI。
十四、优化人口质量对策三:提高生活质量。努力提高人均GDP和人均可支配收入、人均国民收入,为中国早日晋升为中等发达经济体的发展目标修订制定政策组合。以君晟预测2035年人口14.7亿测算, 2020年中国GDP约100万亿元、以年均增速5%测算2035年GDP目标预计 211万亿元,假设美元兑人民币汇率平均每年相对美元升值1%累计15年升值15%,以年均增速5%测算2035年GDP预计37.5万亿美元,对应人均GDP目标2.6万美元,波动区间2.2-2.6万美元。中国2035年人均GDP能否如愿达到中等发达国家水平? 结论是否定的。中国应修正设定2035年达到初等发达国家、稳定脱离中等收入陷阱为短期发展目标,2050年为达到中等发达国家的中期发展目标。
十五、中国人口历史增长进程特征分析:经过1966-1975年和1986-1990年两波生育高峰后,在1998年房改元年后,随着房价逐年上涨,育龄妇女的生育意愿和实际人口年新增额逐年下降。
十六、君晟全球人口增长模型结论:生育意愿下降是全球现象,多数发达经济体整体生育意愿较低,经济高速增长的新兴经济体中国印度印尼生育意愿也呈现下降趋势,以居住高房价为首和养育教育高成本、女性就业追求为辅是压制生育意愿的三座大山。
十七、君晟全球增长模型预测:2035年中国人均GDP乐观状况可以达到2.5万美元,但不可能到达4万美元的2020年中等发达国家下限,且2035年中等发达国家下限确定高于4万美元。
十八、应对老龄化和以人口质量红利代替人口数量红利的先富带动后富发展模式是全球经济增长的普适模式,发达地区常住人口与外来流动人口共同创造社会财富。从全球大型经济体中国、美国、欧盟整体而言,中国长三角珠三角沿海区域在本区常住人口劳动者和内陆流动人口劳动者、美国加州德州纽约州等经济发达州在本州居民和外来移民、欧盟德国法国等西欧发达国家在本国国民和东欧北非外来移民的共同努力下创造了全球最强的三组经济增长领头羊区域。
投资美好生活
第一画之
优化人口质量
20210811
王维钢博士君晟研究社区
正文
IMF共确认36个国家和港澳台三个地区经济体合计39个经济体为高收入发达经济体。
人均GDP排名前列但未被IMF确认为发达经济体的超小型经济体还有摩纳哥18.6万、列支敦士登16.5万、百慕大10.2万、安道尔4.2万美元,人均GDP均超过大部分发达经济体。
中国青年网2021年2月28日《“人均GDP达到中等发达国家水平”,是什么水平?》文章提出:“中等发达国家的人均GDP不是一个固定不变的数值,而是动态的逐年有所变化。即我国要达到的中等发达国家人均GDP水平是指未来的中等发达国家人均GDP水平,而不是固定不变的参照过去或最近某一年的标准。根据全球一些机构的认定,发达国家也是有差别的。按照标准来看,人均GDP超过2万美元,算是步入到发达国家的行列,但这个标准仅仅是“最低标准”。而中等发达国家的标准,人均GDP要达到4万至6万美元左右;高等发达国家的人均GDP,需达到8万美元左右。全球有约30个国家的人均GDP超2万美元。”
全球人均GDP排名前列的经济体与IMF确认39个发达经济体人均GDP排名一览表
资料来源:IMF
中国、印度、新加坡、越南、伊朗、印尼、伊朗等亚洲国家都实行过计划生育政策。各国计生政策在细节上各有不同,但控制人口的目标是一致的。
印度是世界上最早实行计划生育的国家,1952年就提出要节制生育,但没有强制性措施。1952年印度开始实行计划生育政策时的人口为3.8亿,1975年印度人口激增到6.1亿增加61%。1976年印度马特拉施特邦通过的《限制家庭规模法》规定,对已生育3个孩子以上、55岁以下的男性和45岁以下的女性实施绝育手术。英迪拉·甘地时期有超过800万人接受强制绝育手术,大规模的强制阉割成为1977年英迪拉·甘地政府选举失利的重要诱因,国大党败选后印度后续历届政府放弃了计划生育政策。
中国其实算是计划生育开始的比较晚的一个。1980年中共中央发布《关于控制我国人口增长问题致全体共产党员、共青团员的公开信》,国内开始采取严厉的节育政策,就此实施30余年。计划生育政策1982年12月载入中国宪法的一项基本国策,即按人口政策有计划生育。主要内容及目的是:提倡晚婚、晚育,少生、优生,从而有计划地控制人口。
中印1960-2030年十年刻度经济指标比照表
资料来源:君晟、世界银行
人口十年增速中印1960年代和1970年代基本持平都超过20%,但印度1970年代到2000年代维持了四个超过20%的十年增速,中国自1982年实行社会抚养费经济约束为主的计划生育国策以来十年增速从80年代16%和90年代11%快速递减到00年代6%、10年代5%、20年代预测4%。印度1991年开始市场化改革,经济增速明显加快。随着人民生活水平的提高,尽管印度没有实行计划生育政策但印度人民自发减少了生育,人口十年增速也从00年代1%下降到10年代12%、20年代预测10%,仍然是中国十年增速的2.5倍。
1960-1990年中国和印度人均GDP几乎相同,1960年均为100美元、中印人口比为1.5,1990年分别为320和370美元、中印人口比为1.3,1977-1990年印度人均GDP一直超过中国。
1960年以来印度的GDP增速并不逊色于中国,同样受益于人口数量红利,60-70年代GDP十年增速远超过中国,2000年代十年变幅258%也相当出色,君晟预测2020年代印度潜在增速6.6%要高于中国的5.1%、中国增速只有印度的80%。
由于计划生育政策执行得失的重大差异和中国1980年开始改革开放加快经济增速早于1991年印度市场化改革,2020年中印人均GDP比已经上升到5.5,但中印人口比下降为1.0。中印GDP比值从1960年1.6倍下降到1980-1990年1-1.1倍,2020年已经飙升到5.6倍。
中印1960-2030年十年刻度经济指标比值变化一览表
资料来源:君晟、世界银行
全球五大人口经济体1950-2100年人口变化及预测图
资料来源:联合国
联合国预测印度2025年就会人口超过中国,2030年中国会人口达峰。
君晟预测印度2025年就会人口14.5亿超过中国14.3亿,2030年中国预计14.5亿,2050年中国会人口达峰14.8亿、比联合国预测时间2030年推迟20年。
在国家长期竞争中,未来技术发展导致以劳动总人口与平均年龄等人口数量指标表示的人口红利的重要性持续下降,以科技掌握能力和教育医疗水平等人口质量指标表示的人才红利的重要性持续上升。具备先进科技知识储备和研发拓展能力的高质量人口决定了全球社会财富的创造份额和财富再分配格局。
相当大比例的人口不具备通过体力劳动创造大量财富的机会和能力。人工智能和机器人在工业制造与社会产品服务供应中的更广泛应用,对以体力劳动为特征的低素质劳动者的需求会降低,对高素质技术人员的需求会不断衍生并扩大。
人类历史上的人口增长模式一般分原始型、传统型、现代型三种。原始型模式是高出生率、高死亡率、低自然增长率,高高低组合一般是原始社会。传统型模式是高出生率、低死亡率、高自然增长率,高低高组合一般是发展中国家。现代型模式是低出生率、低死亡率、低自然增长率,低低低组合一般是发达国家。
封建社会和二战以前包括中国的大量发展中经济体呈现高出生率高死亡率的原始状态。全球大部分经济增长加速的新兴经济体已经从高出生率阶段过渡到出生率持续下降的过渡阶段,只有非洲原始型经济体仍然维持高出生率和高死亡率。
政策目标应以人口质量优于人口数量,接受总劳动人口和总人口先后达峰回落的客观规律,放弃维持人口红利来驱动经济增速的政策动机,制定优化人口质量的总体国家人口战略和政策体系。
高房价、养育教育高成本和女性职业追求抑制城市育龄家庭生育意愿。
育龄妇女:人口统计中一般以15—49岁为妇女生育年龄。旺盛期育龄妇女:20至29岁为生育旺盛期。
受到住宅房价和城市教育成本居高不下制约,城市育龄家庭新增生育二胎的意愿有限,更遑论生育三胎意愿。富裕家庭受到二胎政策制约极为有限,计划生育政策不影响富裕家庭做出生育二胎乃至三胎的决定。
出生人数由历年育龄妇女生育意愿比例决定,基数是历年育龄妇女数,分子是历年出生人数。生育意愿比例总体20年稳定,但育龄妇女近十年逐步下降,一胎出生数持续下降,二胎占比自2014年起已经占据多数比例。说明育龄家庭整体生育意愿比计划生育政策更压制了出生人数的维持。压制生育意愿的最主要因素是居住预期支出与可支配收入比值失控增长,居住支出预期还压制了消费意愿。
中央政府制定人力资源政策,不是为了家庭传宗接代增加子孙后代,也不是为了房地产业增加更大面积住宅的二次置业需求,而是为了未来二十年乃至五十年增加适用劳动力。
放开三胎政策类似放开二胎政策一样,只会短期刺激三胎占比升高和遏制出生人数下滑的趋势。育龄妇女一胎生育意愿严重不足并呈现下滑趋势,家庭要生三胎首先得有二胎。现实情况是约3.3亿育龄妇女特别是1亿多25-34岁旺盛期育龄妇女的一孩生育意愿不足。教育养育高成本,女性就业追求,社会服务高成本,都对育龄妇女的生育意愿多重压制。
国家人口政策目标是延长人口红利对经济发展增速的正面作用,但是从人民群众客观现实出发,开放生育政策不能改变多数适婚青年和育龄家庭的生育意愿。
结婚意愿和生一胎意愿的最强驱动力来自于育龄夫妇的中年双亲,随着双亲进入老年阶段,双亲协助养育孙代的意愿和体力都下降。
欧美国家夫妻一方经济条件较好的家庭可以夫妻一方不工作专职照顾家庭。
中国的计划生育政策是经济约束而非绝对禁止。对能负担社会抚养费的富裕家庭来说,超生社会抚养费不构成生育二胎或三胎决策的约束。
中国20-29岁结婚数自2005年有分项数据以来从1300万逐渐上升到2013年峰值1900万后,逐年递减到2019年的1000万。中国房市从2015年-2021年进入高位快速拉升期,高企的房价显著地抑制了中低收入家庭青年的购房和结婚进度,进而从本源上抑制了25-34岁旺盛期育龄妇女的生育意愿。
中国掌握财富产权比重最多的世代人群是60-70后,25-45岁育龄人群是以80后90后为主体,00后逐步进入劳动力市场预计5-10年后成为育龄人群的主体,80后5-10年内步入45-50岁阶段而逐步退出育龄人群。
中国2005-2019年结婚数一览表
年度 | 2005 | 2006 | 2007 | 2008 | 2009 |
结婚数20-29 | 0.13 | 0.14 | 0.15 | 0.16 | 0.17 |
年度 | 2010 | 2011 | 2012 | 2013 | 2014 |
结婚数20-29 | 0.17 | 0.18 | 0.18 | 0.19 | 0.18 |
年度 | 2015 | 2016 | 2017 | 2018 | 2019 |
结婚数20-29 | 0.16 | 0.14 | 0.13 | 0.12 | 0.10 |
资料来源:国家统计局、君晟
80-90后有成家立业生育后代的全面压力,经济条件不具备的育龄人群选择晚婚晚育甚至不婚不育,国家是否放开二胎政策对育龄人群的生育决策影响不大。
中国房改元年是1998年。居民储蓄率从1999年的低点28%上升到2010年的最高点42%、2019年虽回落到35%但仍远高于发达经济体平均水平。消费率从2000年47%大幅回落到2010年最低点约35%、然后缓慢回升到2016年约40%后持续多年走平。受2015-2019年棚改货币化安置政策鼓励住宅快速去库存和房价加速上涨,2016-2020年储蓄率从37%缓慢回落到2019年35%但消费率没有回升,表明部分居民储蓄在加杠杆转化为住房支出后并没能转化为消费能力,居民为偿还购房后按揭继续抑制消费支出。
如下图所示,中国主要城市房价指数2009年2月次贷危机后探底,2010年4月见顶,2010年7月见底,2011年8月见顶,2012年5月见底,2014年4月见顶,2015年3月见长期大底, 受2015-2019年棚改货币化安置政策刺激而持续6年大涨。房价指数月环比变幅为负值的阶段包括2005年7-8月、2008年5-2009年2月、2010年5-7月、2011年9月-2012年5月、2014年5月-2015年3月、2020年2月。
沪深300指数的大底时间分别为2005年7月、2008年12月、2014年6月、2018年12月。
2006年-2021年城镇居民人均消费支出滞后两季累计同比与70城二手住宅价格指数当月同比的因果分析图
资料来源:君晟、WIND
以2005年末为基期的2006-2021年二手房房价指数年末累积值与年变幅一览表
资料来源:君晟、WIND
从2005年12月到2021年7月二手房价格指数累计涨幅为80%,沪深300指数期间累计涨幅为416%。直观可知,虽然二手房价格指数累计涨幅不如同期沪深300指数涨幅,但显然沪深300波动性大,二手房价格指数波动性极小且始终保持上涨、近似无风险资产的波动性和收益率。
2006-2021年 二手房价格指数累积值与 沪深300指数比较图
资料来源:君晟、WIND
股指拐点的正数为顶部、负数为底部。
在2007-2015年期间,股指拐点大致领先于房指拐点,2007年10月末股指见顶5700点后6个月房指08年4月见顶,08年10月末股指见底1664点后4个月房指09年2月见底,
09年12月末股指见顶3600点后4个月房指10年4月见顶,10年6月末股指见底2560点后1个月房指10年7月见底,
11年3月末股指见顶3200点后4个月房指10年4月见顶,14年4月末股指见底2160点后11个月房指15年3月见底。
但在2016-2021年期间,股指显著波动区间大致有15月5月到16年2月熊市、16月2月-18月1月牛市、18年1月到18年12月熊市、18年12月-2021年2月牛市,房指基本上保持了持续涨势,除了2020年2月轻微下跌。
表明房价在并未在2015年5月股指见顶若干月份后也见顶,自2015年3月迄今保持了六年的持续涨势,房价持续上涨已经让相当部分中低收入居民可支配收入无力覆盖高房价,拟婚男女集双方父母财力都未必能筹齐婚房首付款,相当部分适婚青年推迟结婚或结婚后推迟生育或生育一胎后不再考虑生育二胎。
2006-2021年沪深300指数与二手房住宅价格指数趋势匹配分析表
资料来源:君晟、WIND
美国国家统计局关于各国劳动人口总数和人口参与劳动比率的报告显示,中国劳动人口总量和劳动参与率76%都是世界第一。
女性劳动参与率:中国女性劳动参与率超过70%是全球最高,印度的女性劳动参与率只有23%。
我国女性劳动参与率高达70%、排名世界第一,澳大利亚和新西兰为60%,美国58%,法国50%,日本30%、印度23%。
中国的男性劳动参与率90%处在世界前列,其他高达90%以上的经济体还有巴西、菲律宾、印度。
人类发展指数(简称HDI)由联合国开发计划署创立,用以衡量各个国家与地区的发展水平,自1990年以来每年发布一次。HDI将经济指标与社会指标相结合,更加强调人文发展,而不仅仅是经济状况。它通过一些较为容易获得的数据和科学的计算方法全面稳定且客观地反映出不同国家和地区的问题。人类发展指数三项基本指标为:预期寿命、教育水平、生活质量。预期寿命指标为LE: 预期寿命,教育水平质保为MYS: 平均学校教育年数(一个大于或等于25岁的人在学校接受教育的年数)和EYS: 预期学校教育年数(一个5岁的儿童一生将要接受教育的年数),生活质量指标为GNIpc:人均国民收入。
指标要求
每个指标设定了最小值和最大值:
出生时预期寿命:25岁和85岁;
成人识字率:0%和100%;为15岁以上识字者占15岁以上人口比率。
综合入学率:0%和100%;指学生人数占6至21岁人口比率(依各国教育系统的差异而有所不同)。
实际人均GDP(购买力平价美元):100美元和40000美元;
计算公式
2009年之前的计算公式:
指数值 =(实际值-最小值)/(最大值-最小值)
预期寿命指数 = (LE-25)/(85-25)
教育指数 =(2/3)XALI+(1/3)XGEI
成人识字率指数 (ALI) =(ALR-0)/(100-0)
综合粗入学率指数 (GEI) =(CGER-0)/(100-0)
GDP指数 = [log(GDPpc)-log(100)]/[log(40000)-log(100)]
其中,以上出现的字母缩写含义如下:
LE: 预期寿命
ALR: 成人识字率
CGER: 综合粗入学率
GDPpc: 人均GDP(购买力平价美元)
2010年新的计算方式:
1. 预期寿命指数(LEI) = (LE-20)/(83.2-20)
2. 教育指数(EI) = (√(MYSI×EYSI)-0)/(0.951-0)
2.1 平均学校教育年数指数(MYSI) = (MYS-0)/(13.2-0)
2.2 预期学校教育年数指数(EYSI) = (EYS-0)/(20.6-0)
3. 收入指数(II) = (ln(GNIpc)-ln(163))/(ln(108211)-ln(163))
而HDI值为三个基本指数的几何平均数
LE: 预期寿命
MYS: 平均学校教育年数(一个大于或等于25岁的人在学校接受教育的年数)
EYS: 预期学校教育年数(一个5岁的儿童一生将要接受教育的年数)
GNIpc: 人均国民收入。万美元
2020人类发展指数报告共覆盖189个国家与地区。
2020年人类发展指数分享排名系数测算表
资料来源:联合国开发署,君晟
中国为实现2030年跻身较低高收入国家目标摆脱中等收入陷阱,必须要客观面对65岁以上人口占比超过14%进入深度老龄化社会的事实和人口达峰的事实。
提高预期寿命是提高人口生存质量的重要目标。
人口平均预期寿命(Life expectancy)是指当前分年龄死亡率保持不变的假设下同一时期出生的人预期能继续生存的平均年数。它以当前分年龄死亡率为基础计算,但实际上,死亡率是不断变化的,因此,平均预期寿命是一个假定指标。
2020年中国人人均寿命77岁。我国城乡居民人均预期寿命从新中国成立初期的35岁提高到2018年的77岁。中国男性平均寿命为73.6岁,中国女性平均寿命为79.4岁。
中华人民共和国国家卫生健康委员会表示,中国人口平均预期寿命不仅明显高于世界平均水平,也超过了中上收入国家,反应出了中国人口素质良好的发展态势,也表明了人民医疗水平和生活水平的持续、明显的改善。
根据世界银行公布的中国人均预期寿命历史数据,1960年至2015年55年间中国居民平均预期寿命从43.3岁增加33岁到76.3岁,1960年中国人均预期寿命为43.3岁,1970年为58.7岁,1980年为66.5岁,1990年为69.0岁,2000年为71.7岁,2010年为75.0/74.8岁,至2015年为76.0/76.3岁,2018年为77.0岁。
2019年世界人均寿命排名前十位和G20经济体人均寿命预期一览表
资料来源:世界卫生组织
中国的人均寿命预期76.1岁只排名全世界第53位,落后于所有发达经济体,在G20国家中只领先于金砖四国和沙特。如果中国只是人均GDP提高而人均寿命预期没有提高,那么中国也像中东石油富国那样不可能晋升为中等发达国家的。
十一五纲要目标是比2005年72.0岁增加0.5岁到2010年72.5岁,实际2010年末超预期2.3岁为74.8岁。
十二五纲要目标是比2010年74.83岁增加1岁到2015年75.8岁,实际2015年末超预期0.5岁为76.3岁。
十三五纲要目标是比2015年76.3岁增加1岁到2020年77.3岁,君晟预测2021年7月2020年卫健公报披露的实际2020年末超预期0.3岁为77.6岁。
2016年10月中共中央、国务院《“健康中国2030”规划纲要》2020年建立覆盖城乡居民的中国特色基本医疗卫生制度、主要健康指标居于中高收入国家前列、人均预期寿命比2015年末76.3岁增加1岁到77.3岁,2030年我国主要健康指标进入高收入国家行列、人均预期寿命比2015年末76.3岁再增加2.7岁达到79岁。
2021年3月5日政府工作报告宣布2015年末到2020年末“十三五”期间中国人均预期寿命从76.3岁提高到77.3岁即提高1岁。根据历年《我国卫生健康事业发展统计公报》披露中国实际居民人均预期寿命2015年末到2019年末分别为76.3、 76.5 、76.7 、77.0 、77.3岁。
十四五规划和2035年远景目标纲要 提出:未来5年即2025年末比2020年末人均预期寿命77.3岁要提高1岁到78.3岁。
但君晟预测十四五实际结果是比2020年77.3岁增加1.7岁到2025年末79岁,超出十四五规划的目标78.3岁。君晟预测十五五实际结果是比2025年79岁增加1岁到2030年末80岁。即人均预期寿命会加速提高到2030年末80岁,中国加速进入深度老龄化社会。
65岁以上人口占比是老龄化社会各阶段的识别标准,超过7%进入轻度老龄化社会,超过14%进入深度老龄化社会,超过20%进入超老龄化社会。
中国2000年已步入轻度老龄化社会,君晟预测2022年步入深度老龄化社会、2035年进入超老龄化社会。中国65岁及以上人口为五普6.96%、六普8.9%、七普1.9064亿占13.5%。
联合国预测中国人口达峰时间在2030年达到峰值14.6亿,2050年降为14.0亿。老年人占比继续增加,少儿和劳动人口占比继续减少,长方形的顶端进一步变宽,底部进一步变窄,人口结构将变为倒金字塔形。预计2050年中国老年人口占26%,14-65岁的劳动人口占60%,少儿人口占14%。
1950、2019、2050年中国人口结构变化图
资料来源:联合国
2000年到2020年中国65岁及以上老年人口占比从7%上升至13.5%,预计2022年超过14%进入深度老龄化社会。
发达国家老龄化通常发生在高收入阶段,其进入老龄化社会时人均GDP多在2千美元以上,进入深度老龄化社会时多在3万美元以上。中国2000年不足1千和2022年约1万美元。
根据世界银行数据显示,日本是全球人口老龄化最严重的国家,65岁以上人口比例达到27%,排名世界第一,而意大利23%、德国21%位居第二和第三名。
根据世界银行预测,2050年日本老人占比将从27%上升到36%,德意超过33%,包括美国23%、英国25%、法国27%全部进一步深度老龄化。
以2050年全球老人占比17%来判断,老龄化社会的定义有必要50年后作出修订,改为17%为轻度老龄化、25%为深度老龄化、30%为超老龄化。全球大部分经济体将立法向意德法等发达经济体看齐推迟退休年龄从女性55岁男性60岁改到65岁甚至70岁。
世界银行预测2050年主要经济体老龄化程度一览表
资料:世界银行、君晟
人力资源和社会 保障部发布《人力资源和社会保障事业发展“十四五”规划》,这是我国“十四五”规划和2035年远景目标纲要在社保领域内的细化。规划明确提出,人口老龄化程度持续加深,“十四五”期间新退休人数将超过4000万人,劳动年龄人口净减少3500万人,即每年新增800万退休人数远多于2020年的450万,社会保障制度的可持续发展面临挑战。
意大利将逐年递增法定退休年龄直至70岁或71岁 中国日报2018-05-02
据欧联网援引欧联通讯社报道,意大利国家社会劳动保障局根据意大利第三次延迟调整退休年龄法案,2019年起意大利法定平均退休年龄将延迟到66岁零7个月,或66岁零11个月。并以此幅度逐年递增。第三次延迟调整退休年龄法案根据意大利人口老龄化程度和人均寿命相关数据,再一次对社会平均退休年龄的调整。法案规定从2019年起意大利民众退休年龄将调整为67岁,特殊职业和岗位的退休年龄将增加到71岁,每年将递增几个月的社会平均退休年龄直至达到70岁或71岁。欧洲成员国法定退休年龄多数国家为67岁。德国、英国、荷兰、西班牙、丹麦和冰岛等国退休年龄均为67岁,奥地利和葡萄牙的法定退休年龄分别为65岁和66岁,法国法定退休年龄为61.2岁,比利时和卢森堡均为60岁,改革前意大利法定退休年龄男性为62.5岁,女性为62岁。
意大利作为欧洲老龄化最严重的国家,社会现有劳动力已难以维系日渐增加的老人社会福利,延迟退休无疑是政府缓解财政压力有效的办法之一,意大利每一届政府都在力推延缓退休年龄,希望把法定退休年龄延迟到70岁或71岁。
2017年3月12日人大记者会上教育部部长陈宝生表示中国仍不具备9年义务教育延伸至12年的条件。义务教育是我国一项非常重要的基本教育制度,义务教育向上或向下延伸要依法确定、是国家事权。义务教育具有强制、普及、均衡等特点。如果将学前或高中教育纳入义务教育,从强制、普及、均衡的要求来看都会存在一些问题。我国9年义务教育普及时间还不长、水平还不高,向上、向下延伸基础还不牢靠,中西部地区义务教育均衡发展方面还面临很多问题。2010年到2014年,全国九年义务教育巩固率从87.5%逐年上升到92.6%,距教育规划纲要提出的2015年达到93%的目标仅一步之遥。此外,在学前和高中阶段,保留一定的个人选择、家庭选择余地,对孩子成长也是有好处的。
关于一些省份实行15年免费教育的问题,陈宝生认为免费教育和义务教育是有区别的,是不是要推行免费教育要从我国的国情出发、量力而为、精准发力、保障公平。
15年免费教育是指欧美义务教育绝大多数州为13年,不少的州在向15年过渡。在美国公立学校提供的基础教育统称为K-12教育,是从幼儿园到高中12年级一共13年免费义务教育的总称。在实现15年免费教育的同时开始推行免费上大学,纽约州开始为中低收入家庭学生提供免费高等教育,成为美国首个推行免费大学教育的州,体现了美国对下一代教育的重视。
随着现代科技的发展,各国上个世纪定下的教材学科内容已经跟不上时代需求的步伐,互联网、大数据、航空航天、人工智能、量子物理等科技的迅猛发展迫使各国加强义务教育的强度与长度。
2007年至2017年中国澳门、香港特别行政区、新疆、西藏、青海、内蒙古、大凉山、东部沿海发达地区等等相继落实推行涵盖15年免费教育、同时中等职业教育免费,陕西将全面实施学前1年到高中阶段13年免费教育、同时推进中等职业教育免费。
2017年12月1日起,部分农村地区,将取消9年义务教育,实行15年免费教育。15年免费教育改革试点的新疆成为全国首个实行15年免费教育的地区,这项政策重点扶持农村地区、惠及86万名学生。这就意味着,这些学生以后从幼儿园、小学、初中到高中,都可以“不花钱受教育”。希望随着试点工作的顺利开展,15年免费教育将全面推广。
2017年3月,浙江、广东、河北、少数民族聚居区,都将高中教育纳入到了义务教育阶段,开始实行12年义务教育。2017年4月教育部印发《高中阶段教育普及攻坚计划(2017-2020年)》提出目标:力争在2020年全面普及高中教育。时至2021年,中国全面实行小学初中高中12年义务教育已经全面普及迫在眉睫。
为此目标,君晟提出大专程度人口数变动目标为从2010年代年新增1000万调高到2020年代年新增1100万、30年代1200万、40年代1300万,高中程度人口数变动目标为20-40年代每年增加分别为300、400、500万,初中程度变动目标为20-40年代分别每年减少500、700、900万,小学程度变动目标为20-40年代分别每年减少100、300、500万,文盲差额目标为20-40年代每年平均减少100万。文盲和小学程度人口变动主要是自然规律更替,初中程度人口减少和高中大专程度人口增加是教育政策主要投资方向,推行12年义务教育制度。
推行12年义务教育制度是中国从中等收入国家不可逆进入中等发达国家历史进程的必然选择。
君晟人口教育年限30年增长差额目标测算表
资料来源:君晟
20-40年代,每隔十年大专程度变动额占人口比增加7.6、8.1、8.8%,
每隔十年高中程度变动额占人口比增加2.1、2.7、3.4%,
每隔十年初中程度变动额占人口比减少3.4、4.7、6.1%,
每隔十年小学程度变动额占人口比减少0.7、2.0、3.4%,
每隔十年文盲占比减少0.7%,
复合年均人口变幅从00年代0.54%和10年代0.50%大幅降低到20年代0.27%、30年代0.15%、40年代0.03%。
君晟人口教育年限30年增长差额占比目标测算表
资料来源:君晟
大专程度人口从2020年2.2亿目标增长到2030年3.3、2040年4.5、2050年5.8亿,
高中程度人口从2020年2.1亿目标增长到2030年2.4、2040年2.8、2050年3.3亿,
初中程度人口从2020年4.9亿目标减少到2030年4.4、2040年3.7、2050年2.8亿,
小学程度人口从2020年3.5亿目标减少到2030年3.4、2040年3.1、2050年2.6亿,
文盲人口从2020年3775万目标自然更替每年减少100万到2050年低于1000万。
君晟人口教育年限30年人数目标测算表
资料来源:君晟
各教育程度的教育年限参数选择:为大专16年(综合专科3年和本科4年、硕士7年、博士10年因素取整为大专教育年限为16年),高中12年,初中9年,小学6年,文盲取0到6年中位数为平均3年。
大专程度人口从2020年15%目标增长到2030年23%、2040年30%、2050年39%,
高中程度人口从2020年15%目标增长到2030年17%、2040年19%、2050年23%,
初中程度人口从2020年30%目标减少到2030年30%、2040年25%、2050年19%,
小学程度人口从2020年25%目标减少到2030年23%、2040年21%、2050年18%,
文盲人口从2020年3%目标减少到2030年2%、2040年1.2%、2050年0.5%,
君晟人口教育年限30年人数占比目标测算表
资料来源:君晟
高中及以上年新增人数从80年代409万上升到90年代795万的跨期增幅达到95%,
90年代到2000年代新增人数1208万的跨期增幅仍高达52%,
但2000年代到2010年代新增人数1237万的跨期增幅只有2%,显示经过20年高中教育基础设施的大扩建以后,中国没有再进一步提高高中教育基础设施投资。
根据君晟建议的教育投资30年目标20年代、30年代、40年代高中大专年新增人数合计未1400、1600、1800万,每隔10年应新增约200万人的高中教育基础设施、新增约100万人的大专教育基础设施,高中大专新增人数的跨期增幅从2010年代的2%回升到2021-2050年期间每10年增长13%。
君晟人口教育年限30年跨期大专及高中新增数与大专就读率目标测算表
资料来源:君晟
优质高校的跨省跨城际集团化布局、均衡优质教育资源区域配置:国务院教育部制定鼓励地方政府与优势高校共同出资建设优势高校的城市分校,地方政府提供专项教育基础设施土地供应和配套教育人力资源住宅专用土地供应,鼓励住宅开发商以BOT方式代建教育与医疗基础设施与教育医疗人力资源住宅作为获取商业土地获取的对价条件。
增加投入事业化集团化经营高校:加强高等教育投入,争夺全球高端教研人才,减少中国与美国对高端教研人才吸引力的差距。
实施高校培养费补充高校投入政策,提高中青年教研骨干收入与科研经费总额水平以鼓励美国高校教研骨干入职。国家鼓励有科研成果的中青年教研骨干在职创业,高校以提供孵化器企业服务折算入股、运用国家创业种子基金和社会风险投资基金共同孵化培育中青年教研骨干创设高新技术企业。中国要用比美国更优越的学术创新、风险融资、初创企业服务的综合环境吸引全球中青年教研骨干到中国创业与从事教研工作。
(1)大城市优质教育医疗事业单位集团化:行政划拨和与地产集团商业合作两个路径建立优质集团分支体系,建立必须有多分支多年任职资历的集团内中高级管理职位晋升。
(2)增加教育医疗人力资源供应:提高教医人才收入水平,提供公有住宅认购资格。充足的教育医疗人力资源供应是全民人口质量提升的保障,也是社会文明程度持续提升的必然要求,更是人民群众美好生活的更高要求。
(3)优质高等教育应为中国而非为美国供应最高端科研人力资源:建立C9联盟新生以商业按揭贷款100万元支付优质高校培养费并以15年中国服务个税抵扣偿还的优质高校培养制度,提高中青年教研骨干的含住房人均收入和科研经费总额接轨美国一线高校,吸引全球中青年教研骨干任职中国优质高校。增加被美国实体清单制裁的18所国防理工高校的财政预算。
(4)义务教育从九年延长到十二年。
详见前章节。
(5)教育集团化发展必须坚持公办事业体制,限制社会资本无序流入教育领域,不能允许衡水中学结合社会资本通过第一高中教育上市牟利的违规案例再重演。
2021年7月24日中办国办义务教育的“双减”政策:不准以营利为目的、不准资本运作、不准占用假期、不准高薪挖人、不准搜题、不准请外教。
教育集团化的失败案例:衡水中学。赞同衡水中学优势教育事业单位集团化运行,但公办教育事业机构与社会资本结合借道第一高中教育上市牟利不合规制。
(6)应严格执法禁止教育移民投机取巧挤占本币考生进入优秀高校的机会。
高考能力优势省份如河北衡水高中学生移民到高考录取分数低的省市天津西藏深圳挤占了本地学生进入优秀高校的机会。2021年清华经学生家长举报在录取河北移民天津考生后取消录取资格。
C9联盟预录取人数为招生名额的两倍,降低录取分数线,给更多学生入学名校的机会,新生自愿申请教育按揭贷款每人15万美元或100万元支付优质高等教育培养费,自毕业年度起每年偿还1万美元或6.5万元,毕业生可以用15年中国个人所得税抵扣,即毕业生在中国企业事业单位(包括外资企业)服务十五年则由国家财政个税抵扣偿还银行教育按揭贷款,毕业生也可以申请用人单位在毕业录用时代偿还,归国服务留学生可以继续用15年个人所得税返还额补偿归国前已支付的按揭贷款,父母无收入担保能力的新生可与企业事业用人单位或所在省财政厅签署定向培养协议以服务15年换取用人单位担保。C9联盟毕业生返回原籍企业事业单位服务的比例较小,原籍财政厅定向培养机制可以增加毕业生不回原籍服务的机会,中国各省市均衡发展比优质人才聚集在出国留学和核心都市要更符合国家整体利益。
优质高校培养费15万美元标准相当于硅谷企业一年年薪或核心都市10平米房价或清华毕业家庭教师两年年薪,是毕业后出国留学并工作的C9联盟毕业生可以负担的。以月薪2.5-3.5万个税税率25%为例,月应交个税((2.5-3.5)-0.266)*25%=0.55-0.8万,年个税6.6-10万折合1-1.5万美元、对应年薪30-42万美元。
优质高校培养费专款专用制度:主要用于提高C9高校联盟25-45岁中青年骨干教学科研人员的人均年收入及科研经费总额到持平或超越美国一线高校水平、以及中青年骨干住房建设,鼓励美国高校中青年骨干教研人员(不限于华裔与中国籍)到中国高校任职。
教育部财政部对受美国实体清单制裁的18所国防理工科高校增加预算、提高国防高校中青年骨干人均年收入与科研经费总额到与C9联盟持平,实行C9联盟中高级教研与管理职位晋升前必须有国防理工科高校交流任职三年资历优先晋升中级职位、五年资历优先晋升高级职位的干部选拔制度。
本章节在《投资美好生活——2021年君晟年度报告》第二部分:《王维钢:投资美好生活第一画之优化人口质量20210811》中展开论述。
主要发达经济体养育教育福利政策概述:
法国实行从小学到大学免费教育政策,如果家庭收入低于一定标准,孩子每个学期开学时可领取250欧元的补助。从初中到大学,学生可获得每个学期55欧元到3456欧元的助学金。
美国实现小学到高中教育免费政策,大学教育经费主要由政府负担,学生只负担一小部分。社区大学的学费低于每年1500美元,约是美国从业人员平均年收入的1/30。为确保条件具备并且愿意读书的孩子能读大学,政府对贫困家庭提供各种形式的资助。
英国实现大学阶段以前教育免费政策,大学阶段也有90%的大学生可获得政府津贴。低收入家庭从幼儿园到大学教育免费。
加拿大实行从小学到高中12-13年免费教育政策,大学教育有的社区学院也是免费的。学前教育虽然不是免费,但对低收入家庭的孩子,根据家庭收入情况,由政府部分或全部支付教育费。如果父母收入低于一定标准,不满18岁的孩子每月可领取100加元到200多加元的牛奶金。
瑞典实行在孩子年满16岁以前父母均可获得教育生活津贴政策,完成9年义务教育的青年如继续读大学则领取教育津贴。
挪威实行包括托儿所、幼儿园在内的所有等级的全民免费教育政策,不满2周岁的婴儿如果不去托儿所,可以获得最高每月3000挪威克朗的现金补贴。
丹麦实行小学到大学免费教育政策,学生就近选择学校,政府按公立教育标准报销私立学校的一部分学费。政府支付未成年人牛奶费。政府支付低收入家庭孩子的学前教育,学生每月还可以拿到生活补贴。
澳大利亚实行12年免费教育,学生在18岁前还可享受学习补贴,大学生可以获得政府的无息贷款。
日本实行幼儿园到初中免费教育,年收入人民币25万元以下低收入家庭可以全免婴儿托儿所费用,18岁以下未成年人可增加约合人民币2.5万元的个人所得税免税额,地方政府向不满9岁的儿童发放育儿津贴。
特定经济体人均可支配收入和人均GDP呈现一定比例关系。GDP比可支配收入更容易获取历史数据和可预测,因此下文延伸到构建未来40年全球主要经济体与中国的GDP与人口增长预测模型。
特定经济体的历年美元GDP=本币GDP*美元兑本币年平均汇率,
美元GDP=人口*美元人均GDP,
推导出一阶导数关系:
美元GDP变幅=本币GDP增速+汇率变幅=人口增速+人均GDP增速。
美国2017年人均可支配收入4.55万美元,人均GDP6万美元,收入与GDP比值0.76。美国2020年人口超过3.3亿,GDP20.93万亿美元,人均可支配收入为4.5万美元、同比增长6.6%,人均GDP为6.34万美元同比2019年6.5万美元增长5.8%,收入与GDP比值0.76。
日本2018年人均可支配收入178.7万日元按110日元汇率折算为1.62万美元,人均GDP3.9万美元,收入与GDP比值0.41。
中国2019年人均可支配收入3.07万元,人均GDP7.09万元按美元汇率6.9元折算为约1.03万美元,收入与GDP比值0.43。2020年中国GDP100万亿元按年度平均汇率折算为14.73万亿美元、是美国的70%,实际增长2.3%。
2011-2020年中国人均可支配收入测算表
资料来源:君晟、国家统计局
人均可支配收入2011年1.5万元约2300美元,人均GDP0.56万美元,收入与GDP比值40%,
人均可支配收入2020年3.2万元约4700美元,人均GDP1.04万美元,收入与GDP比值45%。
居民可支配收入增速从2012年13.5%下降到2015-2019年约9%左右,2020年下降到约5%。
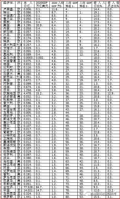
为了研究全球发达经济体人均GDP分布情况,为中国实现中等发达经济体发展目标找准时间轴与对应奋斗靶位,君晟先制作全世界经济体中的人均GDP排名(简称排名1),再制作100万人口以上经济体人均GDP排名(简称排名2)用来过滤高人均GDP但人口稍等迷你经济体。
以2020年人均GDP为例,根据人均GDP金额排名间明显差额进行分档:
1万美元左右:包括新兴经济体中国、马来西亚、俄罗斯,全世界人均GDP也在1.1万美元与中国持平。
1.2-1.9万美元:斯洛伐克1.9、希腊1.8、拉脱维亚1.8、匈牙利1.6、波兰1.6、乌拉圭1.5、特立尼达和多巴哥1.5、阿曼1.5、克罗地亚1.4、智利1.3、罗马尼亚1.3、巴拿马1.2、哥斯达黎加1.2万美元,,主要是东欧南欧南美中小型经济体。
2.0-3.2万美元:波多黎各3.2、科威特3.2、意大利3.2、韩国3.1、中国台湾2.8、马耳他2.8、西班牙2.7、斯洛文尼亚2.5、爱沙尼亚2.3、捷克2.3、巴林2.3、葡萄牙2.2、沙特阿拉伯2.0、立陶宛2.0、塞浦路斯2.0万美元,主要是东欧南欧大中型经济体和东亚经济体韩国与中国台湾。
3.8-5.2万美元:荷兰5.2、瑞典5.2、澳大利亚5.2、卡塔尔5.1、芬兰4.9、奥地利4.8、圣马力诺4.8、中国香港4.6、德国4.6、比利时4.5、以色列4.4、加拿大4.3、新西兰4.2、英国4.0、阿联酋4.0、法国3.9、日本3.8、欧盟地区3.4万美元,主要是欧盟国家、五眼联盟英语国家和东亚经济体中国香港与日本。
5.9-11.6万美元:卢森堡11.6、瑞士8.7、中国澳门8.5、爱尔兰8.4、挪威6.7、美国6.4、丹麦6.1、新加坡6.0、冰岛5.9万美元,除了美国是超大型经济体,其余是西欧北欧和东亚小型经济体中国澳门与新加坡。
全球经济体2020年人均GDP排名和老龄化测算表
资料来源:
IMF报告中预测:2020年GDP总量发达经济体50万亿美元,发展中国家34万亿美元,全球所有国家和地区83.8万亿美元。2019年全球所有发达经济体的人均GDP为4.635万美元,发达人口10.8亿,
IMF确认有39个发达经济体,36个国家和港澳台三个地区经济体:美国、澳大利亚,奥地利、比利时、加拿大、塞浦路斯、捷克、丹麦、爱沙尼亚、芬兰、法国、德国。希腊、冰岛、爱尔兰、以色列、意大利、日本、韩国、拉脱维亚、立陶宛、卢森堡、马耳他、荷兰、新西兰、挪威、葡萄牙、波多黎各、圣马力诺、新加坡、斯诺伐克、斯洛文尼亚、西班牙、瑞典、瑞士、英国。
假设人民币15年每年升值0-1%,则美元兑人民币汇率从2020年6.48元升值到2035年6.48-5.63元。
假设美国15年潜在增速2.0%(40%概率)—2.5%(50%概率),则美国GDP2020年20.9万亿美元增长到2035年28.1-30.3万亿美元。
君晟中美15年增长模型:汇率假设和美国增速假设情景分析测算表
资料来源:君晟
假设中国15年潜在增速4.0%(40%概率)—5.0%(60%概率),则中国GDP2020年101.6万亿元增长到2035年183-211万亿元,按人民币兑美元从6.48元每年升值1%估计2035年平均汇率5.63元测算,2035年GDP32.5-37.5万亿美元。
已知中国2020年GDP按美元兑人民币汇率6.48元折算为15.7万亿美元,人口为14.0112亿,人均GDP为1.12万美元。
假设2035年人口分别为14.8、14.5、15.1亿,对应人均GDP2.53、2.59、2.42万美元。显然人口越少,对应人均GDP相对越高。根据君晟中国人口模型测算2050年中国人口14.8亿为人口达峰期、2035年14.66亿,取整为14.7亿。如果每年比君晟预期少出生200万则15年合计少生3千万,2035年人口从14.7降低到14.4 亿,对应人均GDP从2.55万美元上调5百到2.61万美元。同样若每年比君晟预期多出生200万则15年合计多生3千万,2035年人口调高到15.0亿,对应人均GDP下调5百为2.50万美元。
君晟中美15年增长模型:中国人口假设和中国增速假设情景分析测算表
资料来源:君晟
世界GDP15年潜在增速假设分别为中性3.0%(40%概率)、乐观3.5%(50%)、悲观2.5%(10%),三种假设分别配合中国32.5或37.5和美国28.1或23.2万亿美元两两组合,可得出12种情景假设的结论:
已知2020年中国GDP占世界比18.7%、美国占24.9%,中美合计占比43.6%。在世界潜在增速3%中性假设下中国占比上升到24.9—28.7%、美国占比下降到21.5—23.2%,中美合计占比最乐观时升高到52%。在3.5%乐观假设下中国占比上升到23.1—26.7%、美国占比下降到20.0—21.6%,中美合计占比最乐观时升高到48%。在2.5%悲观假设下中国占比上升到26.7—30.9%、美国占比下降到23.2—24.9%,中美合计占比最乐观时高达56%。
君晟中美15年增长模型:世界增速假设、中国增速假设和美国增速假设12种组合情景分析测算表
资料来源:君晟
建国后中国人口数从1950年5.5亿历时35年翻一番到近11亿。
其中第一个生育高峰是1966-1975年代平均每年增加约2千万、合计净增加2亿。时任领袖为备战而号召人多力量大,人民生育意愿高。
改革开放第一个十年1976-1985年年均人口增加额约1300-1400万,1986-1990年迎来年均新增1700万合计8400万的第二波婴儿潮,年均人口新增额下降到1991-1995年1400万和1996-2000年1156万,2001-2015年进一步下降到每年800-700万左右,2016-2020年年均新增人口只有618万。
2021年5月11日七普公布中国总人口14.43497378亿,其中大陆地区14.11778724亿、香港人口747.4200万、澳门地区68.3218万、台湾地区2356.1236万。
1950-2020年中国人口增长与总和生育率变化分析表
资料来源:国家统计局、世界银行
IMF2021年7月全球经济数据库采用的2021-2025年平均人口增速假设,十个主要经济体的5年增速假设全部比2012-2018年平均增速下调,中国从0.51%下调到0.19%,美国从0.68%下调到0.57%、印度从1.12%下调到0.92%、日本从-0.15%下调到-0.44%,全球从1.16%下调到0.79%。2018-2021年期间,中国增速从0.46%逐年下滑到0.33、0.31、0.27%,IMF预测美国印度巴西2021年人口增速止住2020年下跌趋势有轻微回升。
IMF采用的2021-2025年平均人口增速比较可知,美国和新兴经济体整体生育意愿较高,美国0.57%、印度0.92%、巴西0.58%、英国0.42%,显著高于中国的0.19%和其他发达经济体的0%左右,日本、意大利、俄罗斯进入负增长阶段。
君晟全球人口增长模型主要预测一览表
资料来源:世界银行、君晟
君晟假设2025-2050年增速采用五年移动平均值分别为美0.58、印0.91、日-0.46、巴0.56、德0.05、英0.39、法0.28、意-0.05、俄-0.14%,按君晟中国人口模型逐年预测2021-2050年中国人口变幅大致在0.2-0.1%区间并逐步收敛。
君晟预测结论是:2050年中国人口达峰14.8亿,美国从3.3亿增长到3.9亿、与中国比值从23%上升到27%,印度从13.8亿增长到18.1亿、与中国比值从98%上升到123%,日本从1.3亿下降到1.1亿、与中国比值从9%下降到7%。
如无重大传染疾病对出生率和死亡率的影响,君晟预测2025年印度人口14.5亿超过中国14.3亿。
2019年1月3日社科院人口与劳动经济研究所与社会科学文献出版社联合在北京发布《人口与劳动绿皮书:中国人口与劳动问题报告N o.19》称:“根据联合国中方案预测,中国将在2029年人口达峰14.42亿,从2030年开始进入持续的负增长,2050年减少到13.64亿,2065年减少到12.48亿,即缩减到1996年的规模。如果总和生育率一直保持在1 .6的水平,人口负增长将提前到2027年出现,2065年人口减少到11.72亿,相当于1990年的规模。中方案的总和生育率设定为2015~2020年1.63,2020~2025年1 .66,2025~2030年1.69,2030~2035年1.71,2035~2040年1.72,2040~2045年1.74,2045~2050年1.75,2050~2055年1.76,2055~2060年1.77,2060~2065年1.77。”
2019年总和生育率:中国1.7、美国1.73、日本1.4、 德国1.57、法国1.88、英国1.68 、意大利1.29,人口大国印度2.2、尼日利亚5.4、巴基斯坦3.6。总和生育率指一个国家或地区的妇女在15-45岁育龄期间平均的生育子女数。
2019年人口增速:中国0.39%、印度0.59%、日本-0.3%、韩国0.09%、俄罗斯0.04%。
2020年人口数:中国14.4亿、印度13.8亿、美国3.31亿、印尼2.74亿、巴西2.13亿、尼日利亚、孟加拉国、俄罗斯、墨西哥、日本。
考察全球GDP12强的中美日德英印法意韩俄巴,还有长期增速潜力较大2020年排名16名的印尼,共12个主要经济体。
世界3.3%,美2.5%,日0.6%,德1.2%,英1.6%,法1.4%,意0.9%,巴西2.0%,韩2.3%,三个高增速新兴经济体中、印、印尼每十年潜在增速递减10%,中国从5%逐步下降到3.7%,印度从6.6%逐步下降到4.8%,印尼从5.3%逐步下降到3.9%。高增速新兴经济体不可能永续高增长,随着GDP规模扩大而GDP增速逐级回落到发达经济体常见潜在增速区间2-3%是必然的。
君晟全球增长模型:主要经济体40年潜在增速假设一览表
资料来源:君晟
中国从0.2%逐渐减速到2050年0%,美0.58%、印0.91%、日-0.46%、巴0.56%、德0.04%、英0.39%、法0.28%、意-0.05%、俄0.00%。中国从2020年14亿到2050年缓慢人达峰14.8亿、2060年回落到14.7亿,美国从3.3持续上升到4.2亿,印度从13.8上升到2050年约18亿、2025年人口超过中国,日本从1.3亿缓慢回落到2050年1.1亿,德0.8、意0.6、俄1.4、韩0.5亿基本维持稳定。
君晟全球增长模型:主要经济体40年人口增速假设一览表
资料来源:君晟
美元现价GDP推算如下表:在主要经济体本币兑美元汇率保持不变的假设下,2032年中国GDP超过美国, 2050年GDP世界270万亿、美国约50万亿、中国71万亿、印度18、日本7.6、德7.1、英5.9、法5.1万亿美元。考虑2021-2035年期间人民币兑美元汇率每年升值1%假设,2029年前后中国GDP超过美国。特定期间本币兑美元汇率贬值是欧盟经济体德意法和新兴经济体印俄巴的美元现价GDP可能出现萎缩的重要原因。
君晟全球增长模型:主要经济体40年GDP测算表
资料来源:君晟
基于以上GDP不变价增速假设、人口长期增速假设、本币兑美元汇率不变假设,人均GDP中国从2020年1.1万美元上升到2035年2.6万、2050年4.8万美元,美国从2020年6.4万上升到2035年9.6万、2050年12.8万美元,日本从3.8万上升到2050年6.9万美元,印度从0.2万上升到2050年1.0万美元,世界从1.1万上升到2035年1.9万、2050年2.7万美元。
君晟全球增长模型:主要经济体40年人均GDP测算表
资料来源:君晟
各经济体与美国GDP比值:2020年中美比70%、2035年109%、2050年143%,日美比从23%下降到2050年15%,印美比从13%上升到2050年36%。
君晟全球增长模型:主要经济体40年GDP与美国比值测算表
资料来源:君晟
各经济体GDP占世界比:在GDP增速、人口增速、不变汇率三假设下,中国从2020年17.4%上升到2035年23%、2050年26.5%,美国从24.8%下降到2050年18.6%,印度从3.1%上升到7.8%。
君晟全球增长模型:主要经济体40年GDP占世界比值测算表
资料来源:君晟
经济体GDP排名变化:大约10年后中国超过美国位居第一,大约15年印度超过日本位居第三,印尼后来居上从2020年16名逐步上升到2050年第七。
君晟全球增长模型:主要经济体40年GDP排名变化测算表
资料来源:君晟
2021年8月17日中央财经委员会第十次会议强调在高质量发展中促进共同富裕,要点如下:
“要分阶段促进共同富裕,允许一部分人先富起来,先富带后富、帮后富,重点鼓励辛勤劳动、合法经营、敢于创业的致富带头人。要鼓励勤劳创新致富,坚持在发展中保障和改善民生,为人民提高受教育程度、增强发展能力创造更加普惠公平的条件,畅通向上流动通道,给更多人创造致富机会,形成人人参与的发展环境。
坚持以人民为中心的发展思想,在高质量发展中促进共同富裕,正确处理效率和公平的关系,构建初次分配、再分配、三次分配协调配套的基础性制度安排,加大税收、社保、转移支付等调节力度并提高精准性,扩大中等收入群体比重,增加低收入群体收入,合理调节高收入,取缔非法收入,形成中间大、两头小的橄榄型分配结构,促进社会公平正义,促进人的全面发展,使全体人民朝着共同富裕目标扎实迈进。”
2020年我国城乡人口比例分析:
根据第七次全国人口普查结果,2020年11月1日零时我国大陆31个省、自治区、直辖市和现役军人的人口城乡分布及流动情况如下:
一、城乡人口:2020年七普全国人口中,居住在城镇的人口为9.0亿人占64%(2020年中国户籍人口城镇化率为45%、流动人口城镇化率19%);居住在乡村的人口为5.1亿人占36%。与2010年六普相比,城镇人口增加2.4亿人,乡村人口减少1.6亿人,城镇化率即城镇人口比重从50%上升14百分点到64%。
二、流动人口:2020年七普全国人口中,人户分离人口为4.93亿人,其中市辖区内人户分离人口为1.17亿人,流动人口为3.76亿人、其中跨省流动1.25亿人、省内流动2.51亿人。与2010年六普相比,人户分离人口增加2. 31亿人,增长89%;市辖区内人户分离人口增加0.77亿人,增长193%;流动人口增加1.54亿人,增长70%。
第七次人口普查千万以上常住人口大城市的市区常住非户籍人口比例一览表
资料:国家统计局、君晟
广东省是经济发展最强省,广州、深圳、东莞大都市的非户籍占常住人口比高达49%、69%、76%。北京36%、上海41%、杭州39%、成都49%等全国大都市非户籍常住占比都超过了三分之一。
人口普查结果显示,城镇化率提高和人口跨省与省内流动是人口从发展中地区向发达地区转移的客观结果,城镇化和人口流动促进了中国长三角和珠三角地区应对老龄化社会、持续获得充足劳动力资源支持经济发展。君晟预测全国常住人口超千万的11大都市和总计70个主要城市的非户籍常住人口占比仍将增长,大城市外来移民将为大城市经济蓬勃发展带来人口质量红利和人口数量红利。未来三十年中国经济向70个主要城市集中的趋势不会改变,中国主要城市群不会出现因出生率下降带来的用工困难和经济增长放缓。
许多发达经济体是本国居民和外籍劳工共同创造GDP的。在欧洲德国法国等传统发达国家的GDP就是常住本国居民和来自东欧北非外来劳动者共同创造的,但人均GDP只以本国居民为基数。在美国,加州德州等经济发达州是合法移民及非法移民占比较多的州,本州居民和外来移民共同创造了本州GDP,但人均GDP只以本州居民为基数。
更特殊的,爱尔兰人均GDP排名世界第五高于美国,但爱尔兰人均支配收入和NGI却低于人均GDP。爱尔兰本国人口稀少,爱尔兰以低税率吸引美国跨国企业把全欧盟业务收入都计入爱尔兰避税主体,本应属于美国或欧盟发达国家的GDP计入了爱尔兰的GDP。爱尔兰国家统计局披露爱尔兰人均可支配收入2016年2.1万欧元、2020年2.3万欧元按2020年欧元兑美元平均汇率1.1美元折合2.5万美元,但爱尔兰人均GDP高达7.8万美元或7.1万欧元排名发达经济第5,net disposable income 人均可支配收入与人均GDP比值只有三分之一。
同样的,中国发达省市的GDP是城市户籍常住人口和流动常住人口共同创造的,但人均GDP只用城市户籍常住人口为基数。广州市七普数据显示,广州全市常住人口1868万,广州市常住人口中非户籍常住人口938万人、占比50%。深圳市2019年末常住人口1344万,其中常住户籍人口495万占常住人口比37%、常住非户籍人口849万占比63%,2020年11月七普深圳常住人口1756万超过2019年统计数据1344万高达412万,。中国长三角和珠三角沿海区域依靠内地流动人口劳动者和本区域常住劳动者共同创造国民生产总值和国民财富。
敬请关注王维钢、谭晓雨新上市专著《全球国力博弈的中国投资机会》,在京东网站搜索 全球国力博弈 或点击链接:
https://item.m.jd.com/product/10030830401312.html
(二)君晟研究社区简介与会议通告
1、君晟会议机制综述与2020-2021年君晟月度会议与精选会议要素备忘录
君晟会议机制重启通告20200714