北京科技大学黄秀兵副教授、王戈教授团队成功合成了COF-TpPa和COF-LZU1。实验表征和理论计算表明具有酮烯醇互变异构的COF-TpPa在光催化氧化苄胺反应中展现了优异性能,比COF-LZU1有着更高的催化活性与底物吸附能,并且存在着三种活性氧(超氧自由基、羟基自由基和单重态氧)均参与了光催化氧化反应。光催化循环实验发现COF-TpPa具有良好的稳定性,5次循环后转化率仍>99%。苄胺直接光催化制氢进一步表明,苄胺裂解的H质子在厌氧气氛下被还原为H2,为从有机分子中提取清洁能源和生产附加值化学品提供了有效途径。
亚胺作为一类含氮化合物,是各种生物医药和工业化学品的重要中间体。随着绿色工业工艺设计需求的快速增长,胺-亚胺选择性氧化偶联作为一种具有高附加值的合成路径引起了人们的广泛关注。然而,目前大多数的工业工艺需要高温贵金属催化剂来实现亚胺的氧化缩合,这将不可避免造成巨大的能源浪费和环境污染。在诸多解决方案中,光催化利用了具有可持续性的太阳能来实现激活催化剂并驱动化学反应,具有优异的应用价值与研究前景,是其中最有效的策略之一。
共价有机框架材料(COFs)由于其独特的电子性能,易调节的组成结构、形貌和孔隙率,成为一类新型的高效光活性材料,受到越来越多研究人员的关注。大多数COFs具有二维层状结构,层状结构之间存在π-π叠加作用,提高了COFs的稳定性,为载流子的转移提供了合适的通道。此外,大多数COF由醛与胺缩合形成的席夫碱结合而成,形成具有共轭效应的吸收官能团结构,在光催化方面具有巨大的优势。然而,大多数已报道的COFs光催化氧化苄胺的研究都没有提及其有效促进光吸收利用的重要机理。此外,由于报道的COFs光催化效率仍较差,存在着光生载流子激发较弱和底物吸附差等缺陷。因此,进一步探究COFs结构与苄胺光催化氧化之间的关系仍是一项具有挑战性的工作。
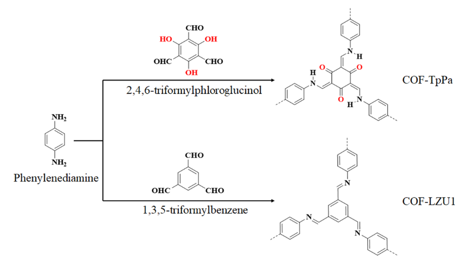
值得注意的是,具有酮-烯醇互变异构的2,4,6-三甲酰基间苯三酚对苯二胺- COF(COF-TpPa)在可见光波段具有广泛吸收。到目前为止,COF-TpPa作为一种有效的光催化反应催化剂已受到了研究人员的关注。关于COF-TpPa作为光催化剂的报道主要集中在产氢或还原二氧化碳方面,在光催化选择性氧化中COF-TpPa的文献报道较少。该工作成功将具有酮-烯醇互变异构平衡结构的COF-TpPa应用于光催化氧化苄胺中,表现出良好的活性。作为对比,将结构和分子组成相似的COF-LZU1与COF-TpPa进行比较(图1),以此提出酮烯醇结构在苄胺光催化氧化中的优势。此外,还讨论了COF-TpPa和COF-LZU1对苄胺需氧和无氧氧化的光催化性能、吸附性能和结构性能的影响,并研究了可能的光催化机理。
图1 COFs-TpPa和COF-LZU1的合成示意图
通过确定CB和VB的位置,可以确定COF-TpPa和COF-LZU1的总体带隙分布(图2)。COF-TpPa和COF-LZU1的带隙分别为2.02 eV和2.30 eV。根据XPS VB谱得到的VB位置与Mott-Schottky曲线得到的CB位置的差值计算。COF-TpPa和COF-LZU1的禁带误差分别为0.10和0.12 eV。为了更好地理解COF-TpPa和COF-LZU1之间的CB或VB的差异,本文进一步给出了HOMO和LUMO电子云分布的理论数据。在酮-烯醇互变异构作用下,COF-TpPa在HOMO和LUMO中都具有更高的电子云密度,说明COF-TpPa具有更共轭的结构,极大地促进了可见光的吸收,进一步提高了光催化氧化效率(图3)。
图2 COFs-TpPa和COF-LZU1的价带导带位置确定
图3 COF-TpPa和COF-LZU1能带示意图,模拟COF-TpPa和COF-LZU1的HOMO和LUMO电子云分布
通过选择性氧化苄胺,考察了COF-TpPa和COF-LZU1的光催化活性。在需氧氧化条件下,COF-TpPa的表现显著优于COF-LZU1,产率分别为99%和23%。在没有催化剂或光源的情况下,催化反应无法进行,说明苄胺不会自发氧化为亚胺,苄胺的催化氧化完全是由光驱动的。一系列猝灭实验对苄胺光催化氧化过程中可能存在的活性自由基或电荷载体进行了评价。对于苯醌(·超氧猝灭剂)、叔丁醇(羟基猝灭剂)、胡萝卜素(单线态氧猝灭剂)和(NH4)2C2O4(空穴猝灭剂),光催化反应不能被有效抑制,而AgNO3作为光电子猝灭剂显著降低了亚胺的转化率。苄胺光催化氧化过程中光电子的生成可能是反应的决定性步骤。根据活性氧猝灭实验,推测反应中可能不存在主导的活性氧。进一步采用ESR技术来澄清活性氧的存在。DMPO-·O2-、DMPO-·OH和单重态氧在可见光照射下的ESR谱分别为1:1:1:1四重峰信号、1:2:2:1四重峰信号和1:1:1三重峰信号,如图4所示。这表明在光催化反应中形成了三种活性氧。在COF-TpPa的协同作用下,光照下基态氧被激发为单态氧,较高的电子密度更有利于O2激发至1O2。当苄胺缺失时,DMPO-·OH的ESR谱消失,仍能检测到DMPO-·O2-1:1:1:1四方信号,说明羟基自由基的形成与苄胺密切相关,而超氧自由基的形成与苄胺无关。羟基自由基的来源一般解释为VB中过氧化氢的分解或水的氧化,但反应中并没有加入过氧化氢或水作为额外的氢源。因此,可以推测羟基自由基是光催化反应中产生的副产物过氧化氢分解而产生的。
图4 催化反应过程中参与的自由基表征
COF-TpPa和COF-LZU1的酮-烯醇互变异构体对苄基胺的吸附能力同样存在差异。结果表明,COF-TpPa对苄胺的吸附量为12.2%,COF-LZU1对苄胺的吸附量为8.6%。吸附能的理论计算也证实了COF-TpPa对苄胺具有更强的吸附能力(图5)。根据优化后的理论模型,COF-TpPa和COF-LZU1对苄胺的吸附能分别为-0.2378 eV和-0.1766 eV,与实验数据一致。此外,由前驱体(三甲酰间苯三酚)衍生的COF-TpPa中的氧倾向于与苄胺分子中的H原子形成氢键,说明COF-TpPa对苄胺的吸附能力较高。
图5 COF-TpPa和COF-LZU1对苄胺的吸附能计算
论文第一作者为北京科技大学材料科学与工程学院博士研究生吴振宇,通讯作者为黄秀兵副教授与王戈教授。详见:Zhenyu Wu, Xiubing Huang, Xiangjun Li, Guangtong Hai, Baozhen Li, Ge Wang. Covalent-organic frameworks with keto-enol tautomerism for efficient photocatalytic oxidative coupling of amines to imines under visible light. Sci. China Chem., 2021, https://doi.org/10.1007/s11426-021-1088-2.
扫描二维码免费阅读全文
通讯作者简介
黄秀兵 北京科技大学材料科学与工程学院副教授,硕士生导师。主要研究方向为纳米复合材料的设计、合成及其在催化有机合成(光催化、热催化、光热协同催化)与光热相变储能领域的基础应用研究。先后主持国家自然科学基金青年基金、北京市优秀人才培养资助项目、中央高校基本科研业务费等科研项目。迄今,在国内外重要科技期刊发表学术论文70余篇(第一/通讯作者50余篇),其中2篇入选ESI高被引论文。担任工程科学学报(Chinese Journal of Engineering)青年编委。
王戈 2002年于美国Michigan Technological University化学系获得理学博士学位,现为北京科技大学材料科学与工程学院教授。从事高效集约型催化材料及高性能节能储能材料等方面的应用基础研究。在Nat. Commun.、Energy Environ. Sci.、Adv. Mater.、Appl. Catal. B-Environ.、Nano Energy、Energy Storage Mater.等期刊发表SCI收录论文230余篇,授权发明专利70余项。作为项目负责人先后承担了国家重点研发计划课题、863计划、973计划课题、国家科技支撑计划课题、国家自然科学基金重点及面上项目等国家或省部级项目。“新型绿色烯烃环氧化用催化材料的研究”在2011年获北京市科学技术奖二等奖(第一完成人),2012年获北京市教育教学成果一等奖,2014年作为主讲人之一讲授的“材料类专业导论课”入围“中国大学视频公开课”,“功能复合材料的结构设计、多级构筑与性能定制研究”在2016年获高等学校科学研究优秀成果奖自然科学奖一等奖(第一完成人)。
【扩展阅读】
深圳大学苏陈良教授团队:基于光催化水分解制氢技术的芳基氯化物氢/氘解反应
新加坡国立大学赵丹课题组实现了非贵金属协同的COFs材料用于光解水制氢研究
谢毅和肖翀课题组通过单原子负载实现温和条件下的可见光催化固氮反应
湖南大学王双印团队:异质结诱导富界面缺陷高效催化生物质电氧化