手性胺结构广泛存在于药物、天然产物、手性辅基、手性碱以及手性有机小分子催化剂的结构中。其中,β-氨基醇是非常重要的合成砌块,被广泛应用于合成具有生理活性的分子以及不对称催化领域的手性噁唑啉配体。光学纯的β-氨基醇的合成方法主要包括有:(1)通过还原手性α-氨基酸合成。该方法所适用的天然手性α-氨基酸较为局限(很多衍生物无法直接获得,且自然界中仅存在有L-构型),并不能够很好的适用于合成各种β-氨基醇衍生物。(2)通过手性辅基介导合成。该方法需要当量级别的手性辅基,原子利用率较低。(3)通过Sharpless不对称氨氧化方法合成。该方法需要使用毒性较大的金属锇参与催化,且常伴随有区域选择性不高等问题。(4)通过酶催化介导的不对称还原胺化方法合成。由于酶催化体系较难应用于工业化生产,其合成应用价值较低。近期,Nagib课题组报道了通过不对称光催化介导的新型的手性β-氨基醇合成方法。该方法从简单的醇出发,最终实现醇的β-氨基化(Nat. Chem. 2020, 12,697,图1a)。受到该策略的启发,Eric Meggers教授等希望能够设计一种新型的简单醇的β-氨基化方法。从简单的醇结构出发,合成氮宾前体,并利用过渡金属催化不对称分子内碳氢插入构建手性环状氨基酯结构,最终通过开环得到目标产物手性β-氨基醇。
表1. 反应条件筛选a
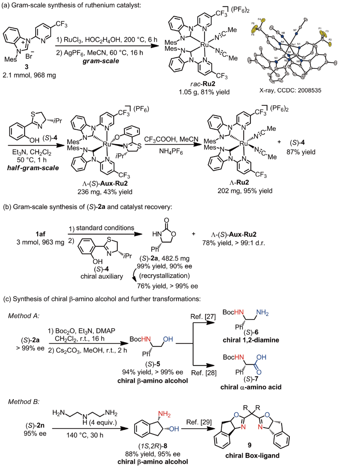
在筛选出最佳反应条件后,作者开始了对于底物范围的考察(图3)。首先考察的是具有较高反应活性的苄基类底物。作者发现,无论底物的苯环上带有不同电性、位阻的取代基,均能够很好的适用该方法,以92%-99%的产率以及88%-93%的对映选择性得到目标产物(2a-i)。其次,作者考察了其他芳香取代基的适用性。例如,萘、吲哚、噻吩等取代基,能够以66%-99% 的产率以及85%-93%的对映选择性得到目标产物(2j-m)。值得一提的是,该方法同样适用于构建具有两个相邻手性位点的环状氨基酯结构(2n, 2o)。
图3. 底物考察(基于苄位的不对称碳氢胺化反应研究)
在考察了苄位碳氢胺化反应底物的普适性后,作者紧接着考察了具有更高挑战性的非苄位碳氢胺化反应的底物范围。如图4所示,不同的炔基、烯基取代的底物均能够有效地实现分子内碳氢插入并以79%-96%的产率以及61%-94%的对映选择性得到目标产物(2p-w)。值得一提的是,该方法同样适用于非活化的烷基取代的分子内碳氢插入反应,并能够以18%-99%的产率以及79%-99%的对映选择性得到目标产物。
图4. 底物考察(基于非苄位的不对称碳氢胺化反应研究)
图5. 反应的实用性考察
图6. 天然产物分子的合成应用研究
详见: Zijun Zhou, Yuqi Tan, Xiang Shen, Sergei Ivlev & Eric Meggers* . Catalytic enantioselective synthesis of β-aminoalcohols by nitrene insertion. Sci. China Chem. 2020, doi: 10.1007/s11426-020-9906-x.
宣俊教授/肖文精教授:无过渡金属条件下,对苯醌甲基化物和氮氧杂烯丙基阳离子的[4+3]环加成反应
涂永强院士团队:新型螺环氮杂卡宾-铱(III) CCC pincer金属有机配合物的设计合成
华东理工大学邓卫平课题组:吲哚离域偶极体的催化不对称环加成反应
傅尧/陆熹团队综述:镍催化电子非偏烯烃的氢烷基化/芳基化研究进展
杨道山教授等:可见光催化高效制备2-氨基萘并[2,1-d]噻唑类化合物
南开大学陈弓课题组:Minisci反应策略合成非经典杂芳基碳-糖苷
苏州大学朱晨教授课题组:烯基自由基参与的远程惰性C(sp3)-H键三氟甲硫基烯基化反应
厦门大学黄培强课题组:基于叔酰胺的Knoevenagel反应及相关碳碳双键形成反应
通讯作者简介
Eric Meggers studied Chemistry at the University of Bonn (Germany) and received his Ph. D. degree from the University of Basel (Switzerland). After postdoctoral research at the Scripps Research Institute (USA), he started his independent career as an assistant professor at the University of Pennsylvania (USA). Since 2007, Eric Meggers is a full professor and Chair of Chemical Biology and Organic Chemistry in the Department of Chemistry at the University of Marburg (Germany). The Meggers group has recently pioneered the general use of chiral-at-metal complexes (metal with exclusively achiral ligands) for asymmetric catalysis including asymmetric photocatalysis.