A general principle enabling the design of ultrastable metal nanocatalysts
Xin Xu
Sci. China Chem., 2022, 65(4): 641–642
Two-dimensional PdOx rafts as superior catalysts for methane combustion
Lichen Liu
Sci. China Chem., 2022, 65(4): 643–644
Guest-assisted assembly strategy: boosting solvent-processed organic solar cells toward commercialization
Yong Cao
Sci. China Chem., 2022, 65(4): 645–646
PERSPECTIVES
Strategies in boosting photosensitization for biomedical applications
Ming Chen, Ryan T. K. Kwok, Youhong Tang & Dan Ding
Sci. China Chem., 2022, 65(4): 647–649
REVIEWS
Metal organic frameworks as advanced extraction adsorbents for separation and analysis in proteomics and environmental research
Yonglei Wu, Haolin Chen, Yijie Chen, Nianrong Sun & Chunhui Deng
Sci. China Chem., 2022, 65(4): 650–677
COMMUNICATIONS
Visible-light-mediated tungsten-catalyzed C–H amination of unactivated alkanes with nitroarenes
Qing Wang, Shengyang Ni, Xiaochen Wang, Yi Wang & Yi Pan
Sci. China Chem., 2022, 65(4): 678–685
Pin Ding, Lingbo Han, Jiaxing Bai, Jingjing Liu & Xinjun Luan
Sci. China Chem., 2022, 65(4): 686–693
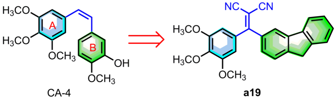
Designing anticancer combretastatin A-4 analogues with aggregation-induced emission characteristics
Rucheng Zhao, Yusheng Wu, Yuequn Zhang, Jiabao Ling, Xinxin Liu, Jiaqi Xiang, Xiangchao Zeng & Tianfeng Chen
Sci. China Chem., 2022, 65(4): 694–698
ARTICLES
Covalently tethering disulfonic acid moieties onto polyoxometalate boosts acid strength and catalytic performance for hydroxyalkylation/alkylation reaction
Lifei Lian, Yubing Liu, Xianfeng Yi, Hanbin Hu, Xiang Chen, Hongqiang Li, Wei Chen, Anming Zheng & Yu-Fei Song
Sci. China Chem., 2022, 65(4): 699–709
Zheng Tang, Xiao-Peng Sun, Shu-Dong Wang, Xue-Yang Ji, Yun Li, Zi-Shuo Yao & Jun Tao
Sci. China Chem., 2022, 65(4): 710–718
Yanhui Zhang, Fuming Li, Rong Yang, Yun Yang, Fangfang Zhang, Zhihua Yang & Shilie Pan
Sci. China Chem., 2022, 65(4): 719–725
Wenting Zhou, Laiyang Li, Ruixuan Qin, Jiaxin Zhu, Shengjie Liu, Shiguang Mo, Zaifa Shi, Huihuang Fang, Pengpeng Ruan, Jun Cheng, Gang Fu & Nanfeng Zheng
Sci. China Chem., 2022, 65(4): 726–732
From n-alkane to polyacetylene on Cu (110): Linkage modulation in chain growth
Zhengming Hao, Junjie Zhang, Miao Xie, Xuechao Li, Lina Wang, Ye Liu, Kaifeng Niu, Junbo Wang, Luying Song, Tao Cheng, Haiming Zhang & Lifeng Chi
Sci. China Chem., 2022, 65(4): 733–739
Song Chen, Xue-Dong Wang, Ming-Peng Zhuo, Qiang Lv, Jing-Feng Liu & Liang-Sheng Liao
Sci. China Chem., 2022, 65(4): 740–745
A boryl-migratory semipinacol rearrangement
Dong-Hang Tan, Zhi-Hao Chen, Ling Yang, Chang-Ting Li, Fang-Hai Tu, Qingjiang Li & Honggen Wang
Sci. China Chem., 2022, 65(4): 746–752
Duo-Duo Hu, Qian Gao, Jing-Cheng Dai, Ru Cui, Yuan-Bo Li, Yuan-Ming Li, Xiao-Guo Zhou, Kang-Jie Bian, Bing-Bing Wu, Kai-Fan Zhang, Xi-Sheng Wang & Yan Li
Sci. China Chem., 2022, 65(4): 753–761
Precise electro-reduction of alkyl halides for radical defluorinative alkylation
Xingxiu Yan, Shengchun Wang, Zhao Liu, Yujie Luo, Pengjie Wang, Wenyan Shi, Xiaotian Qi, Zhiliang Huang & Aiwen Lei
Sci. China Chem., 2022, 65(4): 762–770
Baixue Li, Zhen Li, Kai You, Anjun Qin & Ben Zhong Tang
Sci. China Chem., 2022, 65(4): 771–777
Wenjing Ma, Yue Gao, Zhijun Ouyang, Yu Fan, Hongwei Yu, Mengsi Zhan, Han Wang, Xiangyang Shi & Mingwu Shen
Sci. China Chem., 2022, 65(4): 778–788
In-situ generation of poly(quinolizine)s via catalyst-free polyannulations of activated diyne and pyridines
Benzhao He, Jiachang Huang, Jing Zhang, Xinyue Liu, Dong Wang, Herman H. Y. Sung, Yajun Liu, Anjun Qin, Jacky W.Y. Lam & Ben Zhong Tang
Sci. China Chem., 2022, 65(4): 789–795
Jie Chen, Jee Young Chung, Huapan Fang, Lin Lin, Yong-Hee Kim, Huayu Tian & Xuesi Chen
Sci. China Chem., 2022, 65(4): 796–809
Hantao Xu, Lianhuan Han, Jian-Jia Su, Zhong-Qun Tian & Dongping Zhan
Sci. China Chem., 2022, 65(4): 810–820
A sulfur-substituted hemicyanine for cancer photothermal therapy without influence of intracellular viscosity
Xiang Xia, Ran Wang, Yingqi Hu, Qichao Yao, Saran Long, Wen Sun, Jiangli Fan & Xiaojun Peng
Sci. China Chem., 2022, 65(4): 821–828
点击左下角“阅读原文”或扫描二维码可免费下载全文
【扩展阅读】
Sci. China Chem. 出版2021新锐科学家专刊