点击蓝字关注我们
有机近红外(NIR)发光材料因其在生物成像、有机发光二极管(OLED)、夜视、光通信等领域的巨大应用潜力,引起研究者们的广泛关注。然而,但是受限于平面大分子的聚集诱导淬灭(ACQ)效应和固有的能量间隙(Energy Gap Law)的问题,它们的构建一直非常具有挑战性。采用强供体-受体(D-A)策略构建分子内电荷转移体系是一种常见并且有效地构建NIR材料的方法。然而,相比于供体分子的多样性和丰富性,具有强拉电子能力的易合成的受体分子却比较稀少。
近日,香港中文大学(深圳)唐本忠院士、赵征教授和武汉大学谢国华教授合作在Angewandte Chemie International Edition(IF:15.336)发表了题为“Solution-processed AIEgen NIR OLEDs with EQE Approaching 15%”的研究论文,报道了一种基于二硫富瓦烯和苯并噻二唑的缺电子受体BSM,其可作为强受体来生产具有聚集诱导发射(AIE)特性的高效NIR发光分子并应用于OLED器件。
一系列的AIE分子中,TBSMCN的固体荧光波峰在820 nm,量子产率为10.7%。理论计算表明四种化合物存在分子内电荷转移,其中供体部分主要位于TPA单元上,而受体部分是氰基取代的BSM(BSMCN)。供体和受体之间高度扭曲,导致HOMO和LUMO之间的电子云重叠很小,这有利于降低单线态和三线态之间的能差、隙间穿越和延迟荧光。此外,这些AIEgen的富硫性质已被证明是促进自旋-轨道耦合以增强隙间穿越的有效方法。
相比于真空蒸镀法,溶液法具有可大规模生产、设备要求不高、成本低等优点。作者通过溶液法制备了四种AIEgens的非掺杂OLED器件。结果显示,TBSMCN的EL峰为804nm,而其他三种化合物在850~880nm附近显示出更红的发射峰。所有发射光谱都覆盖了650nm至超过1000nm的NIR区域。其中,TBSMCN在804 nm处的EQE为2.2%,具有出色的辐照度(7700 mW/sr/m2)。通过引入了具有主体(mCP)掺杂优化器件,将TBSMCN在mCP中以不同浓度(即5%,25%和50%)稀释,掺杂浓度为25%的器件中显示出最大EQE为9.40%。进一步在主客体的发光层中加入不同材料的敏化剂提高三线态激子利用率,其EQE飙升至14.25%,发射波长为 750 nm,辐照度高达13100 mW/sr/m2,这是目前纯有机材料近红外OLED的最高外量子效率。
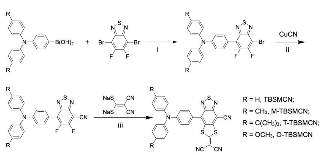
图一:X-TBSMCN系列分子的合成路线
图二:NIR AIEgens的计算前线轨道分布及能级值
图三:基于NIR AIEgens的器件性能。(a) 非掺杂器件中四种化合物的 EL 光谱。(b)四个非掺杂器件的EQE-电流密度的函数。(c) 具有不同TBSMCN器件构型的EL光谱。(d) 器件EQE-电流密度的函数。
图四. 掺杂(实心符号)和非掺杂(空心符号)NIR OLED的最大EQE总结,红色是本项工作中报道的器件效率
原文链接
https://onlinelibrary.wiley.com/doi/epdf/10.1002/anie.202204279
相关进展
化学与材料科学原创文章。欢迎个人转发和分享,刊物或媒体如需转载,请联系邮箱:chen@chemshow.cn
扫二维码|关注我们
微信号 : Chem-MSE
欢迎专家学者提供化学化工、材料科学与工程产学研方面的稿件至chen@chemshow.cn,并请注明详细联系信息。化学与材料科学®会及时选用推送。