摘要
■“保交楼”是楼市良性循环的重要保障,在“压实地方政府责任”的基础上可能还需要更高级别部门提供资金支持。测算显示,在不能如期交楼但能确保延期后交楼的情景下,购房人虽然会要求在房价涨幅上给予补偿,但总体要求比较温和,然而一旦购房人不能对“保交楼”形成稳定预期,则购买期房或将沦为投机游戏,真实居住人群会选择购买现房,这会对长期以来的“预售制度”和房企经营模式造成明显冲击,把烂尾风险控制在5%以内是保障楼市健康发展和良性循环的重要基础。从“保交楼”所需资金来源角度讲,除了地方政府作为“保交楼”主要责任人外,部分楼市较为低迷的城市停工项目和有些流动性压力过大的房企项目可能还需要更高级别部门提供资金支持。同时,考虑到房企的资产与负债具有一定分离性,若地方政府严格要求销售资金留在本地可能会造成销售较弱地区的项目面临更大的建设资金压力。
■有必要对前期过度收紧的房地产调控政策进一步放松,房价温和上涨利于防范“经营性挤兑”,也有利于化解“金融性挤兑”,从根源上遏制负反馈的发生。预计3.5%左右的房价涨幅能够较好地保障“从期房销售向现房销售”的过渡进程更加平稳有序,从而有利于防范“经营性挤兑”,也有利于化解“金融性挤兑”。为此,有必要对前期过度收紧的房地产调控政策进一步放松,更大力度地“支持刚性和改善性住房需求”,从根源上遏制“部分楼盘停贷-楼市销售走弱-更多楼盘交付压力增大-更多楼盘停贷”负反馈的发生。地方政府出台政策要充分考虑新政对居民购房模式的影响。
■风险提示:房地产政策超预期、“停贷”超预期、疫情超预期、假设不及预期等。
正文
2021H2以来,由于个别大型房企风险暴露引发了金融机构对房地产行业的风险偏好明显下降,出现了一致性的收缩行为,部分民营房企陷入了流动性困境。2011年11月,我们提出了“房企流动性危机”的概念(详见《房企流动性危机:演化、痛点和房企关切点》),并围绕这个问题做了系统而深入的研究,在此基础上进一步提出了流动性负反馈机制和房地产政策放松的两度空间(详见《房地产放松的空间有多大?》)。近期,部分出险房企楼盘出现了“停贷事件”,“保交楼”问题受到关注。那么,为什么“保交楼”至关重要?房企流动性困境的完整图谱是什么?如何遏制风险扩散蔓延?还有哪些政策值得期待?
1房企的两大特性
(1)房企的金融性融资与经营性融资存在较大差异性。按照来源渠道不同,房企资金可以划分为国内贷款、利用外资、自筹资金和其他资金,但为了更好地看清房企营运模式,我们有必要从资金提供部门的角度对房企资金来源进行重新划分。大体来说,房企的债务性资金主要来源于金融机构和居民部门,前者主要是银行和非银,后者主要是购房人,此外还包括房企理财和供应商垫付等。这两个部门提供的资金存在较大差异,金融机构的资金主要用来支持房企资产扩张,购房人在预售制度下提供的首付款及其远早于交楼前下发的按揭款能够通过将房企的存货资产较早地转化为现金流的方式来保障房企的经营可持续性。因此,我们把金融机构提供的融资称为“金融性融资”,把购房人提供的融资称为“经营性融资”。
(2)房企的资产和负债具有一定分离性。通常情况下,房企不直接持有土地和工程等资产,而主要通过持有子公司股权的方式间接持有这些底层资产,但房企一般是发债主体与子公司债务担保人,有些房企还可能是开发贷的直接借款人。在正常情况下,房企母公司根据不同子公司项目的开发进度、销售进度和回款进度来统一协调资金,从而保障资金的供需平衡和最优使用。但若遭遇部分城市的项目销售资金无法顺利回流房企母公司时,房企母公司会承受较大的流动性压力,可能因此而导致其他城市销售不畅项目或未达到预售条件项目面临建设资金不足的困境,在房企母公司层面可能引发挤兑。
2房企流动性困境的实质
与资不抵债危机不同,房企流动性困境表现为没有足够的现金及现金等价物来偿付债务。在房企去杠杆时期,个别经营不善房企会率先暴露风险,这会引发金融机构对房地产行业的风险偏好明显下降,从而出现一致性的收缩行为,房企短期需要偿付的债务数量急剧上升,流动性开始承压,容易爆发负面舆情,进而引发更多机构挤兑。对房企来说,存货转化为经营现金流需要较长时滞,筹资能力就成为房企能否应对机构挤兑的核心能力,若债权人对房企筹资能力信心十足,则通常不挤兑,反之若债权人预期房企不具备足额筹资能力,则可能会要求提前兑付或抛售债券。因此,流动性困境本质上是房企没有足够的时间将存货转化为现金,金融机构信心不足引发的挤兑是导致“时间不够用”的主因,因而属于“金融性挤兑”。
但是,在我国房地产风险总体可控的背景下,大多数房企并非资不抵债,若房地产销售能够企稳回升,假以时日,部分出险房企或许能够在将来依约偿付已被展期的债务。
3防范从“金融性挤兑”到“经营性挤兑”
从性质上看,2021Q4以来的房企流动性困境主要来源于金融机构挤兑,即“金融性挤兑”,在金融机构信心不足和预期因素影响下,“金融性融资”趋于收缩,相应地,房地产行业的资产扩张也将趋于收缩,特别是民营房企。然而,我们在前期报告中多次说明了“金融性挤兑”对商品房销售的负面冲击,尤其是期房销售,居民购房模式从期房转向现房也是对房企的一种挤兑,即“经营性挤兑”。
购买期房是一本经济账:成本是为房企提供了2年(假设合同交楼时间为预售2年后)无息融资,收益是获取了一张未来2年房价上涨的期权,但该期权能够行权的前提条件是房子能够如期交付。
为了更好地说明这个问题,我们做出如下基础假设:
(1)当期的期房单价为A元/平米,首付30%,次月月末开始还按揭,按揭期限20年,按揭利率4.25%,实际交楼时的现房单价为B元/平米;
(2)合同交楼时间为预售2年后,2年内的再投资收益率取2Y定存利率2.1%;
(3)提前还贷没有罚息,不考虑交易费用和限售等因素影响,忽略房屋不能如期交付给购房人带来的效用损失。
接下来,我们分三种情景进行讨论:
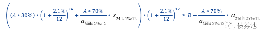
情景Ⅰ、如期交楼。在2年后的合同交楼时点,则有如下不等式成立:
可得,B/A≥1.0726,即未来2年房价至少要上涨7.26%,年均涨幅不小于3.5%。
注:a与s均为精算符号,a代表期末付定期年金的现值,s代表期末付定期年金的终值,中n代表定期年金期数,m代表年名义利率。
情景Ⅱ、推迟1年交楼。推迟期间不还按揭,按揭期顺延1年,则有如下不等式成立:
可得,B/A≥1.0865,即未来2年房价至少要上涨8.65%,年均涨幅不小于4.2%。
以此类推,推迟交楼的时间越长,购房人对未来两年房价的年均涨幅要求越高。
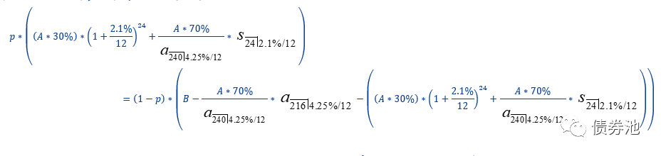
情景Ⅲ、要么如期交楼,要么彻底烂尾。发生烂尾的概率为p,如期交楼的概率为1-p,烂尾不还按揭,则有如下等式成立:
可得,B/A=1.0726+0.4190*p/(1-p),即未来2年房价涨幅是烂尾概率p的增凸函数。
可见,在确定能够如期交楼的情况下,购买期房优于购买现房需要房价年均涨幅超过3.5%;若不能如期交楼但能确保延期后交楼,则购房人虽会要求在房价涨幅上给予补偿,但总体要求比较温和;然而,一旦购房人不能对“保交楼”形成稳定预期,则购买期房或将沦为投机游戏,真实居住人群会选择购买现房。因此,温和的房价上涨与稳定的“保交楼”预期有利于居住需求释放,把烂尾风险控制在5%以内是保障楼市健康发展和良性循环的重要基础。
4遏制风险与政策期待
在楼市销售偏弱的背景下,部分遭受“金融性挤兑”的房企销售承压较大,项目停工会进一步弱化房企销售和本地销售,为了遏制风险从“金融性挤兑”蔓延到“经营性挤兑”,一方面要有效满足房企合理融资需求,另一方面要让居民“敢买房,愿买房,能买房”。“敢买房”需要“保交楼”,“愿买房”需要“稳预期”,“能买房”需要更好地“支持刚性和改善性住房需求”。
7月政治局会议要求“压实地方政府责任,保交楼,稳民生”,银保监等部门已多次表示要积极推动“保交楼、保民生、保稳定”工作,有些城市也密集出台了多项支持“保交楼”方案。从“保交楼”所需资金来源角度讲,除了地方政府作为“保交楼”主要责任人外,部分楼市较为低迷的城市停工项目和有些流动性压力过大的房企项目可能还需要更高级别部门提供资金支持。同时,考虑到房企的资产与负债具有一定分离性,若地方政府严格要求销售资金留在本地可能会造成销售较弱地区的项目面临更大的建设资金压力。
为了遏制风险扩散蔓延,还有必要对前期过度收紧的房地产调控政策进一步放松,地方政府出台政策要充分考虑新政对居民购房模式的影响,尽快促进楼市销售企稳回升与房价温和上涨有利于居住需求释放,有利于“从期房销售向现房销售”的过渡进程更加平稳有序,有利于出险房企“缩表偿债”过程顺利进行,从而有利于化解“金融性挤兑”,也有利于防范“经营性挤兑”,从根源上遏制“部分楼盘停贷-楼市销售走弱-更多楼盘交付压力增大-更多楼盘停贷”负反馈的发生。
相关报告
关于社融、经济、资金面和房地产“停贷”