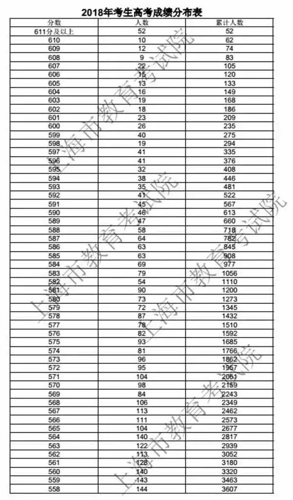
2018年上海高考分数线公布:本科401分,自主招生502分。艺术类本科线:261分,体育类:281分。
表面上看,2018与上年相比,变化不大:2017年本科分数线402分,自主招生控制分数线501分。
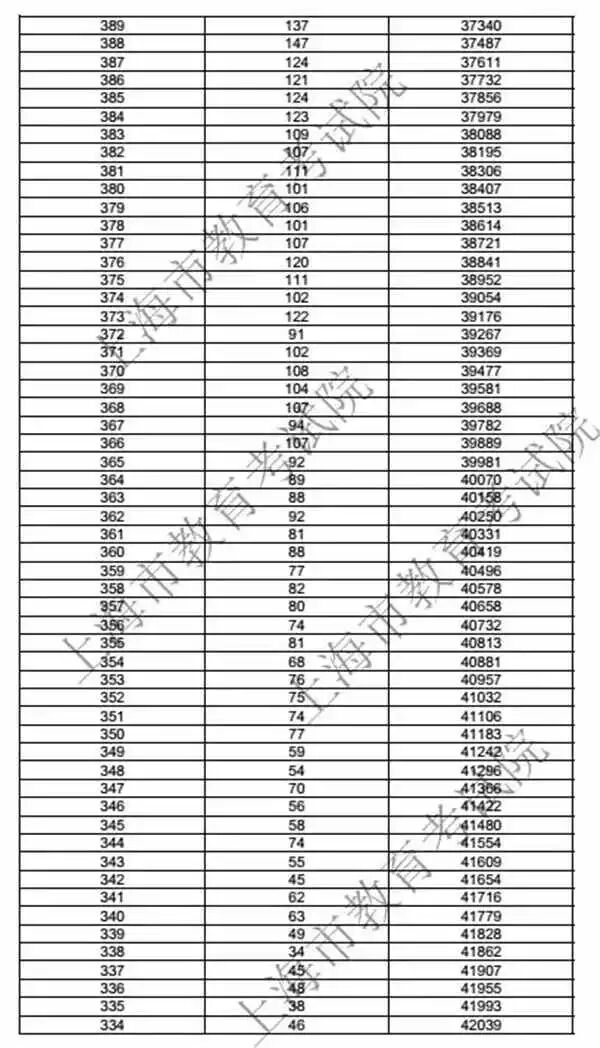
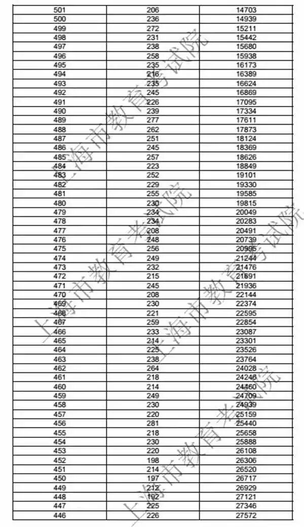
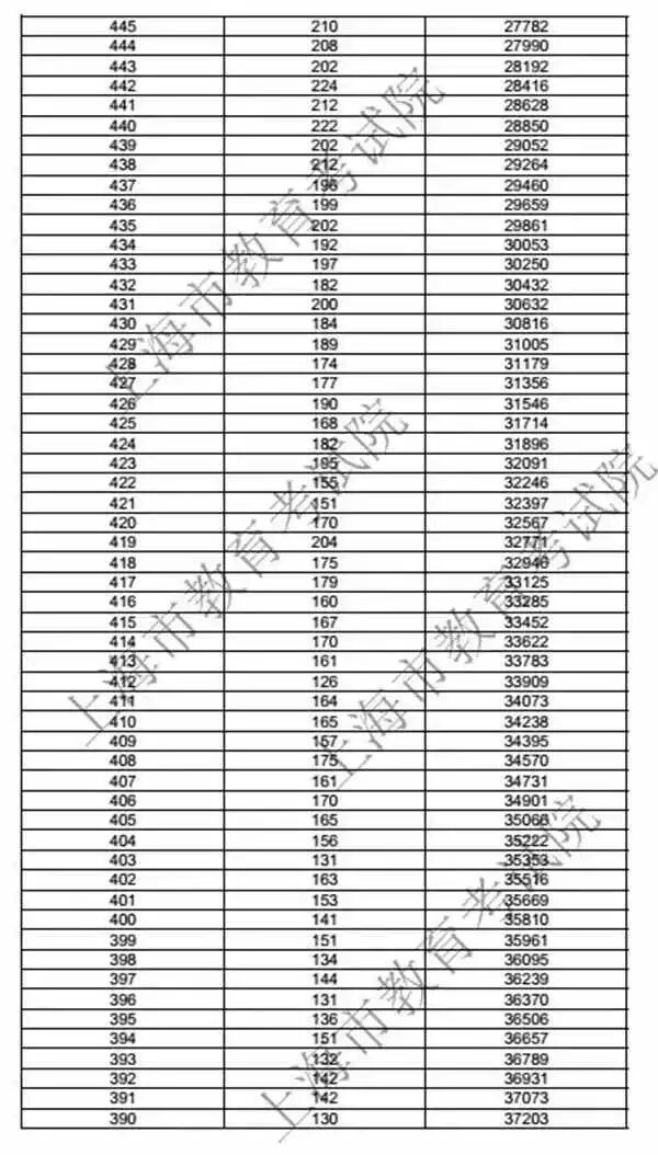
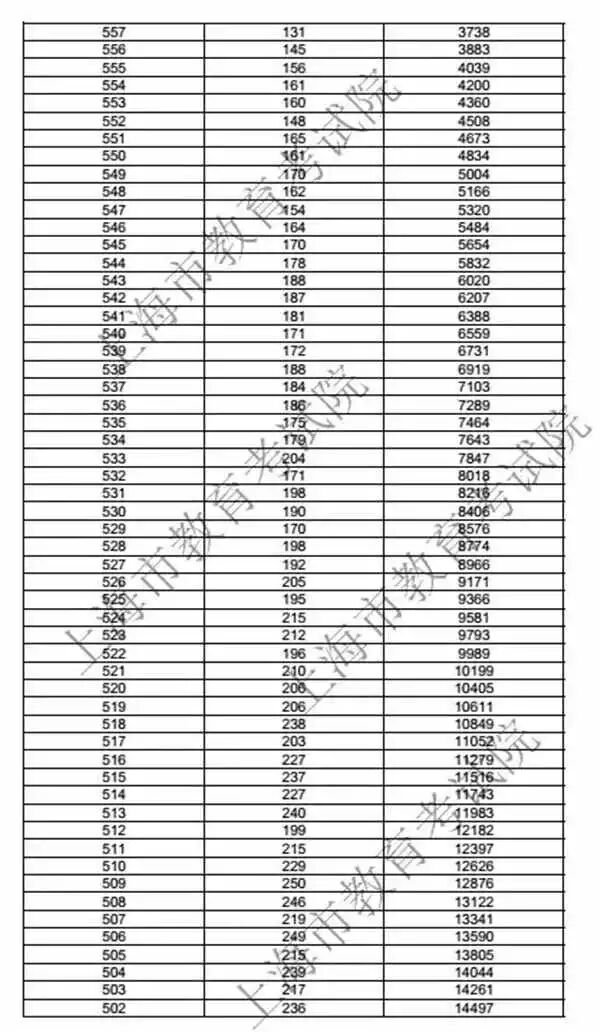
其实,考分成绩好于上年。2018年600分以上235人,500分以上14939人。2017年600分以上101人,500分以上14620人。
👉2017年上海高考详细数据excel表格下载:https://share.weiyun.com/5pwtaWc
或点击底部菜单阅读原文查看。
👉2016上海高考数据文理下载https://share.weiyun.com/534C1Zj