朗道-西格尔零点问题(猜想)是解析数论的主要问题之一,就是要证明朗道-西格尔零点不存在。
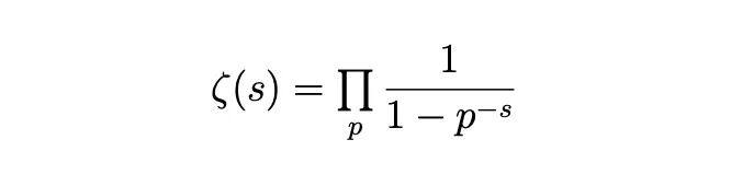
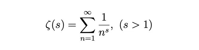
这个问题可以追溯到19世纪德国数学家狄利克雷对算术数列(arithmetic progressions)的研究。算术数列是形如 kq+a (k≥1,a和q互素)的数列,例如 4k-1。这类数列中是否有无穷多个素数在当时是不清楚的,只知道素数有无穷多,那是已经被古希腊的欧几里得证明了的定理。欧拉使用实 zeta 函数 ζ(s)
给出了素数有无穷多的新证明,证明的关键是使用如下的欧拉恒等式把 zeta 函数和素数p联系了起来。
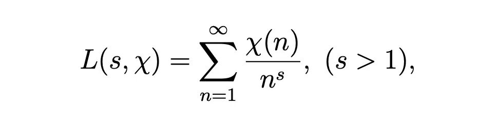
狄利克雷在1837年发表的一篇论文中,发展欧拉的方法,证明了算术数列中有无穷多个素数。他首先引入了一类算术函数叫做模q的狄利克雷特征 χ(n)——定义在自然数集上周期为q、取值为复数的函数,并且当n与q互素时,|χ(n)| = 1,否则等于0。当 q > 2 时,这样的算术函数不止一个。
接着,对于每一个狄利克雷特征,他构造出如下的级数:
现在叫做狄利克雷 L 函数(可以用狄利克雷判别法证明它的收敛性),然后通过分析得出一个重要的发现:如果 χ(n) 不是主特征——当n与q互素时取1,狄利克雷 L 函数在 s=1 处不为0(χ1 表示主特征):
利用这一发现,以及带有狄利克雷特征的欧拉恒等式,他证明了算术数列中有无穷多素数。这个证明的巧妙之处在于狄利克雷特征如同筛子一样,把算术数列中的素数挑了出来。
1846年,黎曼进入哥廷根大学读书,中间去柏林大学学习了两年,上过狄利克雷、雅可比和艾森斯坦的课,从狄利克雷那里学到了数论。回到哥廷根后,他在高斯指导下完成了博士论文。1859年,黎曼被任命为柏林科学院物理数学学部的通讯院士,提交了一篇只有八页的论文《论小于给定数值的素数的个数》。这篇论文的主要内容是揭示了 zeta 函数在延拓到复平面上后,它的非平凡零点的分布决定了素数的分布。
这启发法国数学家雅克·阿达玛和比利时数学家瓦莱·普桑各自在1896年证明了 zeta 函数在 σ = 1 的直线上不等于零(s = σ + it,σ 是复数 s 的实部),进而证明了素数定理。素数定理由勒让德和高斯各自独立提出,给出了素数分布的近似公式,但是没有证明,是当时数论中最重要的问题。
生于波兰的奥地利数学家弗朗茨·梅尔滕斯(Franz Mertens)在1898年改进了他们的方法,利用的是一个简单的三角不等式([1]):
普桑在完成素数定理的证明后,开始考察 zeta 函数在直线 σ = 1 的左边的非零区域。通过使用上面的三角不等式,得到了在区域
这个非零区域后来被英国数学家李特尔伍德、德国数学家朗道、前苏联数学家维诺格拉多夫和科罗博夫逐渐扩大,但仍然是直线 σ = 1 的左边一个非常薄的区域,并且和 t 的取值有关。相比之下,下面的黎曼猜想、又叫做黎曼假设(Riemann Hypothesis)要强的多:
零点是函数等于0时自变量的值。对于zeta 函数来说就是复平面上使得 ζ(s)=0 的点。带状区域 0 ≤ σ ≤ 1 叫做临界带,位于临界带内的零点被称为 zeta 函数的非平凡零点。临界带之外的零点叫做平凡零点,它们是全部负偶整数 -2, -4, -6,......。直线 σ = 1/2 叫做临界线,所以黎曼猜想可以表述为 zeta 函数的非平凡零点都在临界线上。
这个猜想也是出自黎曼1859年的那篇论文,但在当时几乎无人问津。在希尔伯特把它列入20世纪23个数学问题之后,开始引起注意,许多一流的数学家参与其中,但是除了证明一些特殊情形外,至今都没有解决,成为最著名的数学难题之一,也是千禧年七个大奖问题之一。
如果异常零点存在,广义黎曼猜想将不成立。
朗道和西格尔师徒二人对异常零点做了更加深入的研究,所以这个异常零点如果存在,也叫做朗道-西格尔零点。朗道发现,对任意的 q ≥ 3 ,仅可能有一个实原特征使得 L(s, χ) 有唯一一个简单实零点,满足:
L(s, χ) 在1的附近是否为0 与 L(1, χ) 的下界密切相关。上文已经提到,L(1, χ) ≠ 0。狄利克雷在1839-1840年研究类数公式(class number formula)的论文中,给出了它的第一个下界。1935年,朗道和西格尔在同一期刊上同时发表论文,各自给出了 L(1, χ) 的新下界,西格尔的下界是通过改进朗道的结果得到的,是一个非实效的(ineffective)下界,也就是算不出来。由它得到一个非零区域:
这个估计中等式右边的 C 是一个关于 ε 的常数,也是非实效的(ineffective)的,算不出来。并且这个证明是以朗道-西格尔零点在区间 [1-ε, 1) 存在为前提的,因此没有消除朗道-西格尔零点。
L(1, χ) 实效(effective)下界的研究难度更大,今年菲尔兹奖得主玛丽娜·维亚佐夫斯卡的导师唐·查吉尔教授、哈佛大学荣休教授本尼迪克特·格罗斯、哥伦比亚大学数学系教授戈德菲尔德等在这方面做出了重要的工作([7])。
不久前,张益唐教授在北京大学大纽约地区校友会的一次活动上透露自己解决了朗道-西格尔零点(Landau-Siegel Zeros)问题。今天这篇论文已经公开。文中,张教授给出了 L(1, χ) 的一个新的实效下界:
期待国内外同行的评价。
(根据和乐数学公众号推送的消息,张益唐教授的论文已经上传到arXiv,目前还没有显示出来。有兴趣的读者可以从它提供的百度网盘上下载:https://pan.baidu.com/s/1GM61FrLynSfpSn67SoaHow?pwd=1105)
[1] Harold Davenport, Multiplicative Number Theory,
[2] 潘承洞,潘承彪,《解析数论基础》。
[3] Andrew Wiles. The Birch and Swinnerton-Dyer conjecture, https://www.claymath.org/sites/default/files/birchswin.pdf
[4] J. B. Friedlander, H. Iwaniec, The temptation of the exceptional characters. Exploring the Riemann zeta function, Springer, Cham (2017), 67–81.
[5] https://mathoverflow.net/questions/131221/yitang-zhangs-preprint-on-landau-siegel-zeros
[6] https://arxiv.org/abs/0705.4306
[7] P. Sarnak and A. Zaharescu, Some Remarks on Landau-Seigel Zeros, DUKE MATHEMATICAL JOURNAL Vol. 111, No. 3, 2002.
[8] Henryk Iwaniec Emmanuel Kowalski, Analytic Number Theory,