Catalytic
Review Articles
Photocatalytic nitrogen reduction to ammonia: Insights into the role of defect engineering in photocatalysts
Huidong Shen1, Mengmeng Yang1, Leiduan Hao1, Jinrui Wang1, Jennifer Strunk2,*,and Zhenyu Sun1,*
1 Beijing University of Chemical Technology, China
2 Leibniz Institute for Catalysis at the University of Rostock, Germany
This review provides recent advances in defect engineering of semiconductors for the N2 reduction toward NH3, with special attention given to the roles of defects and their optimization for the development of more advanced photocatalysts.
2773–2809
Heterogeneous Cu catalyst in organic transformations
Ruixue Zhang1, Yan Chen1, Muhua Ding1, and Jie Zhao1,2,*
1 East China University of Science and Technology, China
2 Tsinghua University, China
Application of heterogeneous Cu catalyst in organic transformations is reviewed.
2810–2833
Nanostructure@metal-organic frameworks (MOFs) for catalytic carbon dioxide (CO2) conversion in photocatalysis, electrocatalysis, and thermal catalysis
Haiqing Wang*
University of Jinan, China
The review summarizes the recent progress of nanostructure@metal-organic frameworks (MOFs) for catalytic carbon dioxide (CO2) conversion in photocatalysis, electrocatalysis, and thermal catalysis.
2834–2854
Research Articles
Phosphorus incorporation activates the basal plane of tungsten disulfide for efficient hydrogen evolution catalysis
Fan Wang1, Shuwen Niu2, Xinqi Liang1, Gongming Wang2,*, and Minghua Chen1,*
1 Harbin University of Science and Technology, China
2 University of Science and Technology of China, China
Phosphorus is acted as an electronic structure modulator to redistribute the electron density of the catalytic site of WS2, enabling WS2 with high intrinsic catalytic activity.
2855–2861
Au atoms doped in Ti3C2Tx MXene: Benefiting recovery of oxygen vacancies towards photocatalytic aerobic oxidation
Kaifu Yu1,2, Sanmei Wang2, Qi Li2, Tingting Hou2, Yue Xin2, Rong He1, Wenhua Zhang3,*, Shuquan Liang2, Liangbing Wang2,*, and Wenkun Zhu1,*
1 Southwest University of Science and Technology, China
2 Central South University, China
3 University of Science and Technology of China, China
The doped Au atoms in Ti3C2Tx MXene (Au/Ti3C2Tx) facilitated the recovery of oxygen vacancies (OVs) during aerobic oxidation. The recovered oxygen vacancies continuously and efficiently activated O2, contributing to the remarkable catalytic activity and stability.
2862–2869
Cobalt doping boosted electrocatalytic activity of CaMn3O6 for hydrogen evolution reaction
Qun Li1, Kaisi Liu1, Siwei Gui1, Jiabin Wu1, Xiaogang Li1, Zaifang Li2,*, Hongrun Jin1, Hui Yang1,*, Zhimi Hu1, Wenxi Liang1,*, and Liang Huang1,*
1 Huazhong University of Science and Technology, China
2 Jiaxing University, China
The cobalt (Co) doped CaMn3O6 nanowires (NWs) exhibit excellent performance for hydrogen evolution reaction (HER) with a small onset overpotential of 70 mV, and an overpotential of 140 mV at the current density of 10 mA·cm−2.
2870–2876
PtNiCu nanowires with advantageous lattice–plane boundary for enhanced ethanol electrooxidation
Shuna Li1, Yao Wang2, Yunrui Li1, Xu Fang1, Yujie Liu1, Mingxuan Li1, Zhen Wang1, Yufeng Gao1, Haixiao Sun1, Fei Gao3, Xin Zhang1,*, and Xiaoping Dai1
1 China University of Petroleum, Chin
2 Tsinghua University, China
3 Nanjing University, China
The etching-PtNiCu nanowires (e-PtNiCu NWs) enclosed by both (110) and (100) facets evolving from PtNiCu nanowires (PtNiCu NWs) mainly with (111) facets have been fabricated by wet-chemical strategy and acid etching process. The e-PtNiCu NWs exhibited significantly enhancement catalytic activity, anti-poisoning ability of CO intermediates, and stability towards the electro-oxidation reaction of ethanol, which can be ascribed to the synergistic effect between (110) and (100) facets.
2877–2886
Self-templated formation of twin-like metal–organic framework nanobricks as pre-catalysts for efficient water oxidation
Fei-Xiang Ma1,2, Fucong Lyu2, Yingxue Diao2, BinBin Zhou1,2, Jianghua Wu1, Fengwen Kang2, Zebiao Li2, Xufen Xiao2, Peng Wang1, Jian Lu1,2,3,*, and Yang Yang Li1,2,*
1 City University of Hong Kong, Hong Kong, China
2 Nanjing University, China
3 CityU-Shenzhen Futian Research Institute, China
Single-crystalline metal-organic framework (MOF) twin-like nanobricks are fabricated via a selftemplated process, which mainly includes selective epitaxial growth of Fe-rich MOF layer and simultaneously dissolution of the pre-formed sandwich layers of Ni-rich MOFs. The relevant integrated electrode exhibits outstanding electrochemical performance for water oxidation. Interestingly, the NiFe-MOFs based pre-catalysts can be topochemically regulated into porous and low-crystalline NiFeOx structures during water oxidation.
2887–2894
Interfacial engineering of 3D hollow CoSe2@ultrathin MoSe2 core@shell heterostructure for efficient pH-universal hydrogen evolution reaction
Lili Zhang1, Yuanting Lei1, Danni Zhou2, Chengli Xiong1, Zhuoli Jiang3, Xinyuan Li3, Huishan Shang1,*, Yafei Zhao1, Wenxing Chen2,*, and Bing Zhang1
1 Zhengzhou University, China
2 Beijing Institute of Technology, China
3 Tsinghua University, China
The three-dimensional (3D) hollow CoSe2@MoSe2 core@shell heterostructure was employed as an effective pH-universal hydrogen evolution reaction (HER) electrocatalyst by interface engineering. The enhanced performance could be attributed to the maximized exposed edge active sites and the shortest electron/ion transmission path of the unique heterostructure.
2895–2904
Rational fabrication of ordered porous solid strong bases by utilizing the inherent reducibility of metal-organic frameworks
Song-Song Peng, Xiang-Bin Shao, Yu-Xia Li, Yao Jiang, Chen Gu, Manish Kumar Dinker, Xiao-Qin Liu*, and Lin-Bing Sun*
Nanjing Tech University, China
Metal–organic frameworks (MOFs)-derived solid strong bases were synthesized successfully by using the host–guest redox strategy at relatively low temperature with ordered pore structure, strong basicity, and good catalytic activity in the transesterification reaction.
2905–2912
Flexible Hf0.5Zr0.5O2 ferroelectric thin films on polyimide with improved ferroelectricity and high flexibility
Yuting Chen1,2, Yang Yang1,2, Peng Yuan1,2, Pengfei Jiang1,2, Yuan Wang1,2, Yannan Xu1,2, Shuxian Lv1,2, Yaxin Ding1,2, Zhiwei Dang1,2, Zhaomeng Gao1,2, Tiancheng Gong1,2, Yan Wang1,2, and Qing Luo1,2,3,*
1 Institute of Microelectronics, Chinese Academy of Sciences, China
2 University of Chinese Academy of Sciences, China
3 Peng Cheng Laboratory, China
We prepared flexible ferroelectric capacitors based on Hf0.5Zr0.5O2 (HZO) ferroelectric thin film on polyimide (PI) substrate, which has improved ferroelectricity and high flexibility.
2913–2918
Sub-2 nm ultra-thin Bi2O2CO3 nanosheets with abundant Bi-O structures toward formic acid electrosynthesis over a wide potential window
Yuhong Wang1,2, Bin Wang3, Wenjun Jiang1,*, Zailun Liu1, Jiangwei Zhang3,4,*, Lizhen Gao2,*, and Wei Yao1,*
1 China Academy of Space Technology, China
2 Taiyuan University of Technology, China
3 Dalian Institute of Chemical Physics, Chinese Academy of Sciences, China
4 Fujian Institute of Research on the Structure of Matter, Chinese Academy of Sciences, China
Ultra-thin flower-like Bi2O2CO3 nanosheets (NS) with abundant Bi-O structure were prepared in situ on carbon paper by topological transformation and postprocessing. The obtained Bi2O2CO3 NS achieve high selectivity and excellent activity for the electrochemical reduction of CO2 to HCOOH in a wide potential window.
2919–2927
Constructing Pd–N interactions in Pd/g-C3N4 to improve the charge dynamics for efficient photocatalytic hydrogen evolution
Xudong Xiao1, Siying Lin1, Liping Zhang2,*, Huiyuan Meng3, Jing Zhou4, Qi Li1, Jianan Liu1, Panzhe Qiao5,*, Baojiang Jiang1,*, and Honggang Fu1,*
1 Heilongjiang University, China
2 Southern University of Science and Technology, China
3 Heilongjiang University of Science and Technology, China
4 Shanghai Institute of Applied Physics, Chinese Academy of Sciences, China
5 Chinese Acad Sci, Shanghai Synchrotron Radiat Facil, Shanghai Adv Res Inst, China
A strategy to prepare C3N4 decorated with Pd nanoparticles is demonstrated utilizing amidinothiourea as the precursor of C3N4 that interacts strongly with Pd atoms. In the Pd/C3N4 composite material Pd–N bonds were formed, and they can significantly enhance the charge separation and transport efficiency. As a result, Pd/C3N4 showed excellent performance in photocatalytic hydrogen evolution.
2928–2934
Cu3P@Ni core–shell heterostructure with modulated electronic structure for highly efficient hydrogen evolution
Jiayi Chen1, Xu Li1, Bo Ma1, Xudong Zhao1, and Yantao Chen1,2,*
1 Tianjin University of Technology, China
2 Nankai University, China
A core–shell heterostructure composed of Cu3P nanorod arrays covered by metallic Ni was developed for highly efficient hydrogen evolution.
2935–2942
Hydrogen-incorporated vanadium dioxide nanosheets enable efficient uranium confinement and photoreduction
Huanhuan Liu1, Jia Lei1, Jiali Chen1, Ye Li1, Changyao Gong1, Shangjie Yang1, Yamin Zheng2, Ning Lu2, Yan Liu2,*, Wenkun Zhu1,*, and Rong He1,*
1 Southwest University of Science and Technology, China
2 Anhui Normal University, China
The incorporation of hydrogen in VO2 nanosheets gave rise to the balanced O confinement sites in VO2, leading to the stabilized adsorption configuration and increased binding strength of UO22+ on Hx-VO2 nanosheets. Thus the hydroxylated surface of Hx-VO2 nanosheets contributed to the remarkable catalytic activity toward U(VI).
2943–2951
Surface reconstruction establishing Mott–Schottky heterojunction and built-in space-charging effect accelerating oxygen evolution reaction
Yao Kang1, Shuo Wang1, Kwan San Hui2,*, Shuxing Wu3, Duc Anh Dinh4, Xi Fan5, Feng Bin6, Fuming Chen7, Jianxin Geng8, Weng-Chon (Max) Cheong1,*, and Kwun Nam Hui1,*
1 University of Macau, Macau, China
2 University of East Anglia, UK
3 Guangdong University of Technology, China
4 Nguyen Tat Thanh university, Vietnam
5 Ningbo Institute of Materials Technology, Engineering, Chinese Academy of Sciences, China
6 Institute of Mechanics, Chinese Academy of Science, China
7 South China Normal University, China
8 Beijing University of Chemical Technology, China
The F anion leaching facilitates surface reconstruction and induces a space-charge effect on the p–n junction interface, which not only promotes the absorption of intermediates species and charge-transfer process during catalysis, but also leads to a strong interaction of the p–n junction interface to stabilize the materials.
2952–2960
Ultrastable MOF-based foams for versatile applications
Qian Hu1, Licong Xu1,6, Kaixing Fu3,4, Feichao Zhu1, Taoyu Yang1, Tao Yang5, Jinming Luo3, Minghua Wu1, and Deyou Yu1,2,6,*
1 Zhejiang Sci-Tech University, China
2 Georgia Institute of Technology, USA
3 Shanghai Jiao Tong University, China
4 Hunan University, China
5 Technical University of Liberec, Czech Republic
6 Zheijiang Sci-Tech University Tongxiang Research Institute, China
A facile strategy to develop ultrastable metal-organic framework (MOF)-based foams was here proposed for enabling versatile applications of MOFs with ultrastability and high durability.
2961–2970
Tailoring optical and photocatalytic properties by single-Ag-atom exchange in Au13Ag12(PPh3)10Cl8 nanoclusters
Zhaoxian Qin1,4, Song Hu3,4, Wenhua Han2, Zhiwen Li1,4, Wen Wu Xu2,*, Jingjing Zhang1,4, and Gao Li1,4,*
1 Dalian Institute of Chemical Physics, Chinese Academy of Sciences, China
2 Ningbo University, China
3 Institute of Chemistry, Chinese Academy of Sciences, Chin
4 University of Chinese Academy of Sciences, China
We here develop a highly controllable strategy for exchanging a single Ag atom into the central gold site of Au13Ag12(PPh3)10Cl8 (Ph = phenyl) nanoclusters to tailor their electronic properties on the enhancement of fluorescence and catalytic activity in the photocatalytic oxidation.
2971–2976
One-pot hydrothermal synthesis of hierarchical porous manganese silicate microspheres as excellent Fenton-like catalysts for organic dyes degradation
Yuyu Zheng, Lihua Wang, Liyun Zhang, Heng Zhang, and Wancheng Zhu*
Qufu Normal University, China
One-pot hydrothermal route was developed to hierarchical porous Mn2+Mn3+SiO12 (Mn7SiO12) microspheres without any templates or organic solvents, as excellent Fenton-like catalysts for high efficiency degradation of organic dyes with extremely low leaching and satisfactory recyclability.
2977–2986
Defective Ni3S2 nanowires as highly active electrocatalysts for ethanol oxidative upgrading
Yufeng Zhang1, Wei Zhu1,*, Jinjie Fang1, Zhiyuan Xu1, Yanrong Xue1, Di Liu1, Rui Sui1, Qingqing Lv1, Xuerui Liu1, Yongsheng Wang1, Wei Chen2,*, and Zhongbin Zhuang1,*
1 Beijing University of Chemical Technology, China
2 Wenzhou University, China
We synthesize defective Ni3S2 nanowires (NWs), which show high activity towards electrochemical oxidation of ethanol to acetate, and study the formation mechanism of the NWs and mechanism of improvement of its performance.
2987–2993
Atomic-level correlation between the electrochemical performance of an oxygen-evolving catalyst and the effects of CeO2 functionalization
Yanyan Li1,2, Wen Luo2, Duojie Wu2, Qi Wang2, Jie Yin3, Pinxian Xi3, Yongquan Qu4, Meng Gu2, Xinyu Zhang2,*, Zhouguang Lu2,*, and Zhiping Zheng2,*
1 Harbin Institute of Technology, China
2 Southern University of Science and Technology, China
3 Lanzhou University, China
4 Xi'an Jiaotong University, China
A CeO2 functionalized bimetallic layered double hydroxide (LDH) (CeO2-FeCo LDH) was prepared and showed much enhanced performance over its unmodified parent FeCo LDH and even commercial RuO2 for catalytic oxygen evolution reaction. Mechanistic studies using X-ray photoelectron spectroscopy and electron energy loss spectroscopy revealed location-specific increase of catalysis-responsible Co3+ due to the heterostructure formation between CeO2 and FeCo LDH; an atomic-level understanding of the positive effects of CeO2 functionalization is thus established.
2994–3000
Cobalt doped Fe-Mn@CNTs catalysts with highly stability for low-temperature selective catalytic reduction of NOx
Pengfei Li1, Tiezhen Zhang2, Haixiao Sun1, Yufeng Gao1, Yanyuan Zhang1, Yuanyuan Liu1, Chengmin Ge3, Hao Chen3, Xiaoping Dai1, and Xin Zhang1,*
1 China University of Petroleum, China
2 Petrochina Daqing Petrochemical Research Center, China
3 ShanDong DongYuan New Material Technology Co., Ltd, China
N-doped carbon nanotubes confined Fe, Co, Mn oxides originating from the thermal decomposition of an analogous metal-organic framework-74 (MOF-74) exhibited excellent water and sulfur resistance under the harsh gas environment of the low temperature of 170 °C.
3001–3009
Asymmetrical π back-donation of hetero-dicationic Mo4+–Mo6+ pairs for enhanced electrochemical nitrogen reduction
Hao Tan, Qianqian Ji, Chao Wang, Hengli Duan, Yuan Kong*, Yao Wang, Sihua Feng, Liyang Lv, Fengchun Hu, Wenhua Zhang, Wangsheng Chu*, Zhihu Sun, and Wensheng Yan*
University of Science and Technology of China, China
Hetero-dicationic Mo4+–Mo6+ pairs offer a unique active center to efficiently activate N≡N bond with a lying-down chemisorption configuration through an asymmetrical “π back-donation” process. Operando characterizations using synchrotron-based spectroscopic techniques identified the emergence of a key *N2Hy intermediate on Mo sites during nitrogen reduction reaction (NRR), which indicates that the Mo sites are active sites and the NRR process tends to follow an associative mechanism.
3010–3016
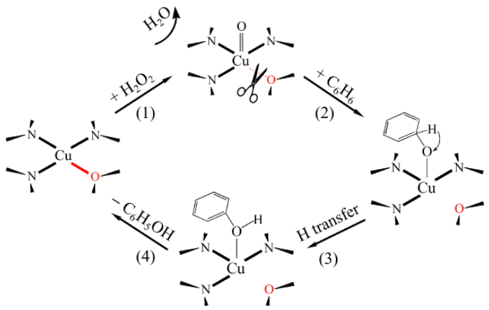
Dynamic evolution of nitrogen and oxygen dual-coordinated single atomic copper catalyst during partial oxidation of benzene to phenol
Weiming Chen1,2, Hongqiang Jin1,2, Feng He1,*, Peixin Cui3,*, Changyan Cao1,2,*, and Weiguo Song1,2
1 Institute of Chemistry, Chinese Academy of Sciences, China
2 University of Chinese Academy of Sciences, China
3 Institute of Soil Science, Chinese Academy of Sciences, China
A Cu single-atom catalyst with nitrogen and oxygen dual-coordination is found for the first time that doesn’t need the first H2O2 activation process in hydroxylation of benzene to phenol, and the dynamic evolution of Cu single site is proposed.
3017–3025
Porous β-FeOOH nanotube stabilizing Au single atom for high-efficiency nitrogen fixation
Hao Sun1, Hua-Qing Yin1, Wenxiong Shi1, Lu-Lu Yang1, Xiang-Wei Guo1, Hong Lin1, Jiangwei Zhang2,*, Tong-Bu Lu1, and Zhi-Ming Zhang*
1 Tianjin University of Technology, China
2 Dalian Institute of Chemical Physics, Chinese Academy of Sciences, China
A highly efficient single-atom catalyst Au-SA/FeOOH was facilely synthesized via deposition–precipitation process. The combination of porous metal oxide support and highly active single-atom Au can dramatically promote the activation and fixation of dinitrogen (N2) to achieve a ammonia (NH3) yield of 2,860 μg·h−1·mgAu−1 under ambient conditions.
3026–3033
Oxygen modified CoP2 supported palladium nanoparticles as highly efficient catalyst for hydrolysis of ammonia borane
Leijie Zhang1, Jian Ye1,2, Yi Tu1, Qingyu Wang1, Haibin Pan1, Lihui Wu1, Xusheng Zheng1,*, and Junfa Zhu1,*
1 University of Science and Technology of China, China
2 Anhui Agricultural University, China
Pd nanoparticles were successfully distributed on the oxygen modified CoP2 support forming the Pd/O-CoP2 compound catalyst which exhibits advanced catalytic activity toward ammonia borane (AB) hydrolysis. The catalytic mechanism was studied systematically.
3034–3041
Promoting the protonation step on the interface of titanium dioxide for selective photocatalytic reduction of CO2 to CH4 by using red phosphorus quantum dots
Yinglong Lu, Minghao Liu, Ningchao Zheng, Xi He, Ruiting Hu, Ruilin Wang, Quan Zhou, and Zhuofeng Hu*
Sun Yat-sen University, China
With the phosphorus covered, the CO intermediates on the surface may be rapidly protonated to produce CHO* rather than being desorbed from the catalyst surface to form CO molecules, the selectivity of CO2 reduction to CH4 on TiO2 can be greatly enhanced.
3042–3049
In situ grown Fe3O4 particle on stainless steel: A highly efficient electrocatalyst for nitrate reduction to ammonia
Xiaoya Fan1, Lisi Xie2, Jie Liang1, Yuchun Ren1, Longcheng Zhang1, Luchao Yue1, Tingshuai Li1, Yonglan Luo2, Na Li3, Bo Tang3, Yang Liu4, Shuyan Gao4, Abdulmohsen Ali Alshehri5, Qian Liu2,*, Qingquan Kong2,*, and Xuping Sun1,*
1 University of Electronic Science and Technology of China, China
2 Chengdu University, China
3 Shandong Normal University, China
4 Henan Normal University, China
5 King Abdulaziz University, Saudi Arabia
In situ grown Fe3O4 particle on stainless steel (Fe3O4/SS) enables ambient electrosynthesis of NH3 via efficient nitrate reduction, achieving a remarkably high Faradaic efficiency of 91.5% and a large yield of 10,145 μg· h–1·cm–2 in 0.1 M NaOH with 0.1 M NaNO3.
3050–3055
Coordination engineering of cobalt phthalocyanine by functionalized carbon nanotube for efficient and highly stable carbon dioxide reduction at high current density
Hongdong Li, Yue Pan, Zuochao Wang, Yaodong Yu, Juan Xiong, Haoyang Du, Jianping Lai*, Lei Wang*, and Shouhua Feng
Qingdao University of Science and Technology, China
The effects of Co–N/Co–O axial coordination of cobalt phthalocyanine (CoPc) and functional carbon nanotubes (CNT) in CO2RR were investigated systematically, CoPc/NH2-CNT catalysts can effectively improve its CO selectivity and stability at high current density.
3056–3064
Wet-milling synthesis of immobilized Pt/Ir nanoclusters as promising heterogeneous catalysts
Peng Du1,2, Kai Huang1,*, Xiaoyuan Fan1, Jingteng Ma1, Naveed Hussain3, Ruyue Wang1, Bohan Deng2, Binghui Ge4, Haolin Tang5, Ru Zhang1, Ming Lei1,*, and Hui Wu2,*
1 Beijing University of Posts and Telecommunications, China
2 Tsinghua University, China
3 University of Electronic Science and Technology of China, China
4 Anhui University, China
5 Wuhan University of Technology, China
Making use of the strong metal–support interaction (SMSI) and mechanochemical reaction, ultrafine Pt/Ir nanoclusters immobilized on diverse substrates are fabricated via an efficient and scalable wet milling method, which can be extended to mass production for industrial application. As prepared Pt/Ir@Co3O4 demonstrated superior oxygen evolution reaction (OER) catalytic activities and stabilities in alkaline electrolyte, superior to the commercial iridium/carbon and other previously reported catalysts.
3065–3072
Coordination environments tune the activity of oxygen catalysis on single atom catalysts: A computational study
Gaofan Xiao1, Ruihu Lu1, Jianfeng Liu1, Xiaobin Liao1,*, Zhaoyang Wang1,*, and Yan Zhao1,2,*
1 Wuhan University of Technology, China
2 Wuhan University, China
Coordination tunes activity: The coordinately unsaturated Ni-N3-C single-atom catalyst (SAC) is predicted to be a highly efficient bifunctional oxygen catalyst.
3073–3081
Catalysis stability enhancement of Fe/Co dual-atom site via phosphorus coordination for proton exchange membrane fuel cell
Yinuo Wang1, Xin Wan1, Jieyuan Liu1, Wenwen Li1, Yongcheng Li2, Xu Guo1, Xiaofang Liu1, Jiaxiang Shang1, and Jianglan Shui1,*
1 Beihang University, China
2 Qinghai University, China
P/N-coordinated Fe-Co dual-atom catalyst is synthesized by a precursor-preselection strategy. The presence of P in the coordination environment improves the stability of the catalyst in the fuel cell.
3082–3089
PdZn intermetallic compound stabilized on ZnO/nitrogen-decorated carbon hollow spheres for catalytic semihydrogenation of alkynols
Chunlin Ye, Xujian Chen, Shasha Li, Binbin Feng, Yanghe Fu, Fumin Zhang*, De-Li Chen*, and Weidong Zhu*
Zhejiang Normal University, China
The developed PdZn-ZnO/NCHS exhibits a higher catalytic selectivity (> 96%) for the semihydrogenation of 2-methyl-3-butyn-2-ol (MBY) to 2-methyl-3-buten-2-ol (MBE) as compared to Pd nanoparticle and Pd/ZnO catalysts. The presence of ZnO species is beneficial for the formation of Pd-Zn intermetallic compound, which not only facilitates the desorption of MBE from the active sites but also enhances the activation energy of the C=C bond in MBE, thereby inhibiting the overhydrogenation of MBE.
3090–3098
Gold nanoparticle-assisted delivery of brain-derived neurotrophic factor to cerebral organoids
Sung Bum Park, Hye-Jin Cho, Sang Rin Moon, Kyoung Jin Choi, Won Hoon Jung, Ki Young Kim*, and Byumseok Koh*
Korea Research Institute of Chemical Technology, Republic of Korea
Gold nanoparticle (AuNP) assisted delivery of brain-derived neurotropic factor (BDNF) induces cerebral organoids’ increased differentiation and neurogenesis.
3099–3105
Magic-sized CdSe nanoclusters for efficient visible-light-driven hydrogen evolution
Ping Wang1,*, Qingqing Yang1, Chen Xu1,2, Bo Wang1, Huan Wang3, Jidong Zhang1,2, and Yongdong Jin1,2,*
1 Changchun Institute of Applied Chemistry, Chinese Academy of Sciences, China
2 University of Science and Technology of China, China
3 Jilin Jianzhu University, China
Magic-sized CdSe nanoclusters offer much better performance for hydrogen photogeneration under the illumination of visible light, as compared to other conventional semiconductor quantum dots under similar conditions. Furthermore, its instability issue amid the reaction can be significantly alleviated by simply introducing Zn2+ ions.
3106–3113
Single palladium atoms stabilized by β-FeOOH nanorod with superior performance for selective hydrogenation of cinnamaldehyde
Zhijun Li1,*, Leipeng Leng1, Xiaowen Lu1, Mingyang Zhang1, Qian Xu2,*, J. Hugh Horton1,3, and Junfa Zhu2
1 Northeast Petroleum University, China
2 University of Science and Technology of China, China
3 Queen′s University, Canada
We report a facile method to fabricate defect-containing β-FeOOH doped with singly dispersed palladium atoms bonding to the nearby oxygen and iron atoms. Its exceptional catalytic performance in the selective hydrogenation of cinnamaldehyde to yield hydrocinnamaldehyde is validated and investagetd by density functional theory (DFT) calculations.
3114–3121
Energy
Review Article
Applications of bio-derived/bio-inspired materials in the field of interfacial solar steam generation
Yang Geng1, Kai Jiao1,2, Xu Liu1, Peijin Ying1, Omololu Odunmbaku1, Yaoxin Zhang3, Swee Ching Tan3, Ling Li4, Wei Zhang5, and Meng Li1,*
1 Chongqing University, China
2 Xi'an Jiaotong University, China
3 National University of Singapore, Singapore
4 Virginia Polytechnic Institute and State University, USA
5 Chongqing Institute of Green and Intelligent Technology, Chinese Academy of Sciences, China
This review provides a comprehensive account of various bio-derived and bio-inspired materials utilized in the field of interfacial solar steam generation (ISSG) system and also concludes with suggestions regarding further research directions for performance enhancement through the rational selection and design of bio-derived/bio-inspired materials in this field.
3122–3142
Research Articles
Layered K0.54Mn0.78Mg0.22O2 as a high-performance cathode material for potassium-ion batteries
Ruling Huang1, Qing Xue2, Jiao Lin1, XiXue Zhang1, Jiahui Zhou1, Feng Wu1,3,4, Li Li1,3,4,*, and Renjie Chen1,4
1 Beijing Institute of Technology, China
2 Global Energy Interconnection Research Institute Co. Ltd., China
3 Guangzhou Institute of Energy Testing, China
4 Collaborative Innovation Center of Electric Vehicles in Beijing, China
Layered K0.54Mn0.78Mg0.22O2 is fabricated as potassium-ion batteries (PIBs) cathode for the first time, which delivers smooth charging/discharging curves with high specific capacity and good high-rate cycling stability. In-situ X-ray diffraction (XRD) and ex-situ X-ray photoelectron spectroscopy (XPS) characterization are also used to explore the structural reorganization.
3143–3149
Modulating Sand’s time by ion-transport-enhancement toward dendrite-free lithium metal anode
Yu Yan, Chaozhu Shu*, Ruixin Zheng, Minglu Li, Zhiqun Ran, Miao He, Anjun Hu, Ting Zeng, Haoyang Xu, and Ying Zeng*
Chengdu University of Technology, China
Lithiophilic amino phosphonic acid resin with ion-transport-enhancement feature (that is, the high Li+ adsorption energy and low Li+ migration energy) facilitates the self-concentration kinetics of Li+ and accelerates Li+ transfer at the electrode/electrolyte interface, which efficiently delays the Sand’s time toward metallic Li anode and modulates compact and uniform Li deposition.
3150–3160
Plasmonic Cu27S24 nanocages for novel solar photothermal nanoink and nanofilm
Min Xi1,2,*, Longchang Xu1,3, Nian Li1, Shudong Zhang1,*, and Zhenyang Wang1,*
1 Hefei Institutes of Physical Science, Chinese Academy of Sciences, China
2 Anhui Normal University, China
3 Chongqing Jiaotong University, China
Cu27S24 nanocage was synthesized and evaluated by a combination of experimental measurement and theoretical calculation. And the developed Cu27S24 “nanoink” and “nanofilm” showed high efficient photothermal performance.
3161–3169
High performance Zn-I2 battery with acetonitrile electrolyte working at low temperature
Chunlai Song, Zongshuai Gong, Chong Bai, Fengshi Cai, Zhihao Yuan*, and Xizheng Liu*
Tianjin University of Technology, China
The Zn-I2 battery has been designed and assembled for low temperature application, which exhibited over 7,000 cycle life at −20 °C. Even at −45.7 °C, a blue light emitting diode (LED) can be well lighted up.
3170–3177
Hierarchical yolk-shell structured Li-rich cathode boosting cycling and voltage stabled LIBs
Yanchen Liu1,2, Yafen Chen1, Jing Wang1, Wei Wang1, Zhiyu Ding1, Leyuan Li1, Yang Zhang1, Yida Deng2,3, Junwei Wu1,*, and Yanan Chen2,*
1 Harbin Institute of Technology (Shenzhen), China
2 Tianjin University, China
3 Hainan University, China
The hierarchical yolk-shell structured Li1.2Mn0.54Ni0.13Co0.13O2 cathodes is proposed and synthesized through a facile glycerol assisted solvothermal approach and the followed lithiation process. Benefitting from the shortened lithium diffusion lengths and the enhanced tolerance to the large volume variation upon lithium ions intercalation/de-intercalation, the unique structure reciprocates the excellent capacity retention rate of 85.2% after cycling at 10.0 C for 1,000 cycles.
3178–3186
Elevating kinetics of passivated Fe anodes with NH4Cl regulator: Toward low-cost, long-cyclic and green cathode-free Fe-ion aqueous batteries
Shibo Chai1, Jianhui Zhu1,*, Jian Jiang1,*, and Chang Ming Li1,2,*
1 Southwest University, China
2 Hainan Normal University, China
Unique cathode-free Fe-ion batteries made of highly puffed nano carbon foams and NH4Cl-regulated FeSO4 electrolyte hold great promise as low-cost, long-cyclic and environmental-benign energy storage devices in grid-scale applications.
3187–3194
Nafion-threaded MOF laminar membrane with efficient and stable transfer channels towards highly enhanced proton conduction
Yan Wang1, Hexiang Gao1, Wenjia Wu1,*, Zhuofan Zhou1, Zhiwei Yang1, Jingtao Wang1,*, and Yecheng Zou2
1 Zhengzhou University, China
2 Shandong DongYue Polymer Material Co. Ltd, China
Nafion chains are induced to thread into the pores of metal-organic framework (MOF) nanosheet, affording superior structural stability and rapid proton transfer for MOF laminar membrane.
3195–3203
The highly dispersed Co-based nanoparticles encapsulated into porous N-doping carbon polyhedral with the low content of Ru modification as a promising cathode catalyst for long-life Li-O2 batteries
Yiru Ma, Huiqi Qu, Zhenzhen Chi, Xiaoqiang Liu, Yueqin Yu, Ziyang Guo*, and Lei Wang*
Qingdao University of Science and Technology, China
Highly dispersed Co-based nanoparticles encapsulated into porous N-doping carbon polyhedral with the low content of Ru modification (LRu@HDCo-NC) are designed through pyrolysis of Co/Zn zeolitic imidazole frameworks (ZIFs) containing Ru-based ligands and used as cathode for Li-O2 batteries. LRu@HDCo-NC can effectively inhibit side reactions and show superior catalytic performance which makes Li-O2 batteries display high capacity, low overpotential, and long life.
3204–3212
Intercalation−deintercalation design in MXenes for high-performance supercapacitors
Zhenjiang Li1, Jun Dai1, Yiran Li2, Changlong Sun1, Alan Meng1, Renfei Cheng3, Jian Zhao1, Minmin Hu1,*, and Xiaohui Wang3,*
1 Qingdao University of Science and Technology, China
2 City University of Hong Kong, Hong Kong, China
3 Institute of Metal Research, Chinese Academy of Sciences, China
An intercalation–deintercalation design strategy is proposed to help MXene achieve an unobstructed interlayer space for fast ion diffusion and a preferred surface with more –O termination for redox reaction, consequently leading to an improved capacitance.
3213–3221
Exploring ternary organic photovoltaics for the reduced nonradiative recombination and improved efficiency over 17.23% with a simple large-bandgap small molecular third component
Huanran Feng1,*, Yvjie Dai1, Lihao Guo1, Di Wang2, Hao Dong2, Zhihui Liu1, Lu Zhang1, Yvjin Zhu1, Chen Su1, Yongsheng Chen3, and Weiwei Wu1,*
1 Xidian University, China
2 Zhejiang Lab, China
3 Nankai University, China
A simple small molecule BR1 with high crystallinity is used as the third component in the construction of ternary organic photovoltaic cells for further improving the photovoltaic performance of PM6:Y6 systems through regulating molecular packing and aggregation and enhancing electroluminescence emission. Based on more efficient charge transport, suppressed recombination, and reduced energy loss (Eloss), the PM6:Y6:BR1 based ternary cells contribute a much higher power conversion efficiency of 17.23% with all simultaneously improved photovoltaic parameters.
3222–3229
Highly stable Pt3Ni ultralong nanowires tailored with trace Mo for the ethanol oxidation
Mingxuan Li1, Yandi Cai2, Jinjin Zhang3, Haixiao Sun1, Zhi Li1, Yujie Liu1, Xin Zhang1,*, Xiaoping Dai1, Fei Gao2, and Weiyu Song1,*
1 China University of Petroleum, China
2 Nanjing University, China
3 Sinopec Zhenhai Refining&Chemical Company, China
The application of Mo firmly nails the unstable Ni to the ultralong Pt3Ni nanowires, thus significantly improving the anti-agglomeration performance and the ethanol electrooxidation stability.
3230–3238
High-voltage output triboelectric nanogenerator with DC/AC optimal combination method
Yuqi Wang1,2, Tian Huang1, Qi Gao1, Jianping Li3, Jianming Wen3,*, Zhong Lin Wang1,4,5,*, and Tinghai Cheng1,2,4,*
1 Beijing Institute of Nanoenergy and Nanosystems, Chinese Academy of Sciences, China
2 Changchun University of Technology, China
3 Zhejiang Normal University, China
4 CUSTech Institute of Technology, China
5 Georgia Institute of Technology, USA
The high-voltage output triboelectric nanogenerator (HVO-TENG) is proposed with direct current/alternating current (DC/AC) optimal combination method. The HVO-TENG can continuously illuminate more than 6,000 light emitting diodes (LEDs), which is enough to drive more possible applications of TENG.
3239–3245
A humidity resistant and high performance triboelectric nanogenerator enabled by vortex-induced vibration for scavenging wind energy
Yan Wang1,2, Tianyu Chen1, Shuowen Sun1, Xiangyu Liu1, Zhiyuan Hu1, Zhenhui Lian1, Long Liu2, Qiongfeng Shi2, Hao Wang2, Jianchun Mi3, Tongming Zhou4,*, Chengkuo Lee2,*, and Minyi Xu1,*
1 Dalian Maritime University, China
2 National University of Singapore, Singapore
3 Peking University, China
4 The University of Western Australia, Australia
A vortex-induced vibration triboelectric nanogenerator (VIV-TENG) is to be proposed for harvesting wind energy. The as-fabricated VIV-TENG proves to be quite durable and high-efficient as a wind energy harvester under rough and variable environment conditions.
3246–3253
Filling Ti3C2Tx nanosheets into melamine foam towards a highly compressible all-in-one supercapacitor
Rui Guo1, Xiying Han1, Peng Yuan1, Xuexia He1, Qi Li1, Jie Sun1, Liqin Dang1, Zonghuai Liu1, Yating Zhang2,*, and Zhibin Lei1,*
1 Shaanxi Normal University, China
2 Xi’an University of Science and Technology, China
A facile yet efficient dip-soaking strategy has been developed to construct an all-in-one supercapacitor using the melamine foam (MF) as compressible scaffolds and separator, and Ti3C2Tx nanosheets as the electroactive electrode. The all-in-one supercapacitor exhibits fast ion and electron kinetics and delivers extraordinary cycling performance during continuous compression-release cycles.
3254–3263
Enhanced electrochemical performance of La0.6Sr0.4Co0.2Fe0.8O3−δ cathode via Ba-doping for intermediate-temperature solid oxide fuel cells
Changkun Cai1, Manyi Xie1, Ke Xue1, Yu Shi1, Shuting Li1, Yuanyuan Liu2, Shengli An1,*, and Hong Yang3,*
1 Inner Mongolia University of Science and Technology, China
2 The University of Western Australia, Australia
From practical application point of view, Ba2+-doping is effective in enhancing oxygen catalytic activity of La0.6Sr0.4Co0.2Fe0.8O3−δ (LSCF)-based cathode materials, demonstrating a new and commercial-feasible strategy in developing high performance cathode materials for the intermediate-temperature solid oxide fuel cell (IT-SOFC) technology.
3264–3272
Hollow cubic MnS-CoS2-NC@NC designed by two kinds of nitrogen-doped carbon strategy for sodium ion batteries with ultraordinary rate and cycling performance
Ruipeng Wei1,2, Yutao Dong1,*, Yingying Zhang2, Xiyang Kang2, Xia Sheng1, and Jianmin Zhang2,*
1 Henan Agricultural University, China
2 Zhengzhou University, China
The hollow cubic MnS-CoS2-NC@NC (NC = nitrogen doped carbon) with two kinds of nitrogen doped carbon has been developed to improve kinetics and mechanical stability for high power sodium ion batteries (SIBs) with superior rate capacity retention and long cycling stability.
3273–3282
In situ construction of thiol-silver interface for selectively electrocatalytic CO2 reduction
Ying Chen1, Feng Hu1,4,*, Yanan Hao1, Yonghan Wang1, Yaoyi Xie1, Hui Wang1, Lijie Yin1, Deshuang Yu1, Hongchao Yang2, Jun Ma1, Dan Kai3, Linlin Li1, and Shengjie Peng1,*
1 Nanjing University of Aeronautics and Astronautics, China
2 Suzhou Institute of Nano-Tech and Nano-Bionics, Chinese Academy of Sciences, China
3 Institute of Materials Research and Engineering (IMRE), Singapore
4 Nankai University, China
In situ electrochemically reduced from three-dimensional (3D) Ag-thiol metal–organic compound with cysteine as the anchor agent and carbon source, the obtained thiol-capped and carbon-supported Ag nanostructures enable an efficient conversion from CO2 to CO.
3283–3289
Flexible, solid-state, fiber-network-reinforced composite solid electrolyte for long lifespan solid lithium-sulfurized polyacrylonitrile battery
Shiqiang Luo1, Enyou Zhao1, Yixuan Gu1, Nagahiro Saito2, Zhengxi Zhang1,3,*, Li Yang1,3,*, and Shin-ichi Hirano1
1 Shanghai Jiao Tong University, China
2 Nagoya University, Japan
3 Shanghai Electrochemical Energy Devices Research Center, China
A flexible fiber-network reinforced composite solid electrolyte with high Li6.75La3Zr1.75Ta0.25O12 (LLZTO) content (50 wt.%) is rationally designed and applied in Li-S battery system. The obtained solid Li-S battery exhibits good rate properties and excellent long-term cycling stability.
3290–3298
Nano biology
Review Articles
Nanomaterials for neurodegenerative diseases: Molecular mechanisms guided design and applications
Tianzhong Li1,2, Xueyan Hou2, Yu Qi3, Xiaohan Duan2, Pengcheng Yan3, Haoru Zhu3, Zhongjian Xie4,*, and Han Zhang2,*
1 Shenzhen International Institute for Biomedical Research, China
2 Shenzhen University, China
3 Wenzhou Medical University, China
4 Shenzhen Children’s Hospital, China
In this review, the typical characteristics and pathogenesis of common neurodegenerative diseases are firstly introduced. Also, recent advancement of nanomaterials for neurological applications which facilitate the precise targeting to central nervous system is emphasized, together with possible solutions for future improvements.
3299–3322
Nanoagent-based theranostic strategies against human coronaviruses
Tao Feng1,*, Chaofan Nie1, Pandi Peng1, Hui Lu1, Tengjiao Wang1, Peng Li1,*, and Wei Huang1,2,3,*
1 Northwestern Polytechnical University, China
2 Nanjing Tech University, China
3 Nanjing University of Posts and Telecommunications, China
Human coronaviruses (HCoVs) constitute serious threats to the global social health with high infectivity and mortality rate. We reviewed the recent advances in diverse nanoagents for rapid diagnosis and effective treatment of HCoV infections, followed by discussing current limitations and potential perspectives against the emerging variants of HCoVs.
3323–3337
Research Articles
Natural product curcumin-based coordination nanoparticles for treating osteoarthritis via targeting Nrf2 and blocking NLRP3 inflammasome
Zhiqiang Zhou1, Fei Gong2,*, Peng Zhang1, Xiaotong Wang3, Rui Zhang2, Wei Xia2, Xiang Gao1, Xiaozhong Zhou1,*, and Liang Cheng2,*
1 The Second Affiliated Hospital of Soochow University, China
2 Soochow University, China
3 The Affiliated Infectious Hospital of Soochow University, China
This scheme illustrates the natural product curcumin-based coordination nanoparticles (Fe-Cur NPs) for treating osteoarthritis via targeting nuclear factor-erythroid 2 related factor-2 (Nrf2) and blocking nod-like receptor protein-3 (NLRP3) inflammasome.
3338–3345
Nanosize aminated fullerene for autophagic flux activation and G0/G1 phase arrest in cancer cells via post-transcriptional regulation
Xiaoyan Zhang1, Wei Zhou1, Yang Liu1, Linyu Jin2, Jiawei Huo1, Yang Yang1, Shumu Li1, Haijun Ma1, Jiao Li1, Mingming Zhen1, Jie Li1,*, and Chunru Wang1,*
1 Institute of Chemistry, Chinese Academy of Science, China
2 Peking University, China
Aminated fullerene (C70-EDA) activates autophagic flux via post-transcriptional regulation, inducing G0/G1 phase arrest to directly abrogate cancer cell proliferation.
3346–3355
Safety evaluation of nanodiamond-doxorubicin complexes in a Naïve Beagle canine model using hematologic, histological, and urine analysis
Liping Wang1, Wenqiong Su1, Khan Zara Ahmad1, Xin Wang1, Ting Zhang1, Youyi Yu1, Edward Kai-Hua Chow2,*, Dean Ho2,*, and Xianting Ding1,*
1 Shanghai Jiao Tong University, China
2 National University of Singapore, Singapore
Male and female, intravenous injection and hepatic portal vain injection of nanodiamond (ND), doxorubicin (DOX), ND-based DOX (NDX), were comprehensively evaluated for their pathology, blood testing and urinalysis. 1, 2, and 3 in dotted circles indicated the synthesis process of NDX. A, B, and C in dotted circles indicated administration of DOX, ND, and NDX injection, respectively. A total of five groups of Naïve Beagle dogs were examined.
3356–3366
Minor change in the length of carbon chain has a great influence on the antitumor effect of paclitaxel-fatty alcohol prodrug nanoassemblies: Small roles, big impacts
Xin Wang1,2, Lingxiao Li1, Danping Wang1, Shiyi Zuo1, Tian Liu1, Fudan Dong1, Xuanbo Zhang1, Zhonggui He1, Bingjun Sun1,*, and Jin Sun1,*
1 Shenyang Pharmaceutical University, China
2 Affiliated Nanjing Drum Tower Hospital of Nanjing University Medical School, China
The C12-SS-paclitaxel (PTX) nanoparticles (NPs) greatly improve the self-assembly stability, thereby improving the circulation time and tumor accumulation of prodrug nanoassemblies.
3367–3375
Co-delivery of mitochondrial targeted lonidamine and PIN1 inhibitor ATRA by nanoparticulate systems for synergistic metastasis suppression
Cheng Chen, Qiuyi Li, Liyun Xing, Minglu Zhou, Chaohui Luo, Shujie Li, Lian Li, and Yuan Huang*
Sichuan University, China
Dual-drug loaded nanoparticles (i.e., TL-ATRA NPs, TL = mitochondrial targeted lonidamine and ATRA = all-trans retinoic acid) not only efficiently deliver drugs to tumor site, but also suppress tumorigenesis and metastasis simultaneously. The underlying mechanism of the synergistic effect of mitochondrial targeted TL (triphenyl phosphonium (TPP+) conjugated lonidamine) and prolyl-isomerase PIN1 inhibitor ATRA is owing to the findings that ATRA disturbs the redox homeostasis, leading to the amplified sensitization of mitochondria to TL.
3376–3386
Curved carbon photo-oxygenation catalysts for the suppression and nanoscopic imaging of β-amyloid peptides fibrillation
Yuanyuan Ma1,2, Zhongju Ye1, Chen Zhang3, Yanjun Zhao4,*, Hai-bin Luo3,*, and Lehui Xiao2,*
1 Zhengzhou University, China
2 Nankai University, China
3 Sun Yat-sen University, China
4 Tianjin University, China
Herein, we designed a new molecule by conjugating corannulene (Cor) with rhodamine B isothiocyanate (Rhb), namely Cor-Rhb, for the nanoscopic imaging and modulating Aβ peptide fibrillation.
3387–3397
Inspired heat shock protein alleviating prodrug enforces immunogenic photodynamic therapy by eliciting pyroptosis
Junjie Zhou1, Xianbin Ma2, Hao Li1, Derun Chen1, Liang Mao1, Leilei Yang1, Tian Zhang2, Wei Qiu2, Zhigang Xu2,*, and Zhi-Jun Sun1,*
1 Wuhan University, China
2 Southwest University, China
To improve cancer immunotherapy by eliciting pyroptosis, we reasonably designed and constructed a nanoplatform (CANPs) integrating the heat shock protein 90 inhibitor tanespimycin (17-AAG) with the photosensitizer chlorin e6 (Ce6) to simultaneously target the tumor. CANPs efficiently boosted anti-tumor immune responses and suppressed tumor growth, thereby extending the survival of 4T1 breast tumors-bearing mice.
3398–3408
Modeling the gene delivery process of the needle array-based tissue nanotransfection
Zhigang Li1,2, Yi Xuan1,2,*, Subhadip Ghatak1, Poornachander R. Guda1, Sashwati Roy1, and Chandan K. Sen1,2,*
1 Indiana University School of Medicine, IUSA
2 Purdue University, USA
Tissue nanotransfection is a novel biotechnology, and we employed a cell-arraybased model and a multilayer-stack-based model to simulate and illustrate the DNA delivery process across the skin tissue via the Si hollow needle array-based chip at nano and micro scales. It was found that a moderate electric field of about 150 V/mm can effectively deliver DNA with a balance between the delivery efficiency and safety concerns.
3409–3421
Synergetic lethal energy depletion initiated by cancer cell membrane camouflaged nano-inhibitor for cancer therapy
Fudan Dong, Qikun Jiang, Lingxiao Li, Tian Liu, Shiyi Zuo, Lin Gao, Mengna Fang, Yanlin Gao, Bingjun Sun, Cong Luo, Zhonggui He*, and Jin Sun*
Shenyang Pharmaceutical University, China
Tissue nanotransfection is a novel biotechnology, and we employed a cell-arraybased model and a multilayer-stack-based model to simulate and illustrate the DNA delivery process across the skin tissue via the Si hollow needle array-based chip at nano and micro scales. It was found that a moderate electric field of about 150 V/mm can effectively deliver DNA with a balance between the delivery efficiency and safety concerns.
3422–3433
Graphene foam/hydrogel scaffolds for regeneration of peripheral nerve using ADSCs in a diabetic mouse model
Qun Huang1, Yuting Cai2,4, Xinrui Yang1,3, Weimin Li1,3, Hongji Pu1, Zhenjing Liu4, Hongwei Liu4, Mohsen Tamtaji4, Feng Xu5, Liyuan Sheng6, Tae-Hyung Kim7, Shiqing Zhao8, Dazhi Sun2,*, Jinbao Qin1,3,*, Zhengtang Luo4,*, and Xinwu Lu1,3,*
1 Shanghai Jiao Tong University School of Medicine, China
2 Southern University of Science and Technology, China
3 Vascular Center of Shanghai Jiao Tong University, China
4 Hong Kong University of Science and Technology, Hong Kong, China
5 Xi'an Jiaotong University, China
6 Peking University, China
7 Chung-Ang University, Republic of Korea
8 Shanghai Jiao Tong University, China
Adipose-derived stem cells (ADSCs)-loaded graphene foam/hydrogel scaffold promotes the recovery of diabetic peripheral nerve injury.
3434–3445
Spatially targeting of tumor-associated macrophages and cancer cells for suppression of spontaneously metastatic tumor
Minglu Zhou, Dandan Xie, Zhou Zhou, Lian Li, and Yuan Huang*
Sichuan University, China
The liposomes functionalized with alanine-alanine-asparagine (AAN) peptide and loaded with regorafenib (AAN-Lip-Rego) accumulated at perivascular sites where the M2-type tumor-associated macrophages (M2-TAMs) located to repolarize M2-TAMs to M1-TAMs, while internalizing RGD modified with N-(2-hydroxypropyl) methacrylamide–doxorubicin (iRGD-HD) penetrated into deep site of tumor to attack cancer cells. As a result, iRGD-HD/AAN-Lip-Rego combination reversed the immunosuppressive tumor microenvironment and activated the T cell-mediated antitumor immune response to markedly inhibit the growth of orthotropic 4T1 tumors and the formation of spontaneous lung metastasis.
3446–3457
A “three musketeers” tactic for inclining interferon-γ as a comrade-in-arm to reinforce the synergistic-tumoricidal therapy
Wenxi Li1, Lisi Xie1, Yi Ju2, Zhan Zhang1, Bei Li1, Jie Li1, Wei Sang1, Guohao Wang1, Hao Tian1, and Yunlu Dai1,*
1 University of Macau, Macau, China
2 RMIT University, Australia
In this nanoplatform, an IDO inhibitor (NLG919) has been technically integrated into an IFN-γ nanostimulator (CNDP) enriched with anti-PD-L1 antibodies (aPD-L1) concurrently, to establish a positive anti-tumor feedback loop. While the secretion of anti-tumor Interferon-γ (IFN-γ) cytokines were fully upregulated by our engineered CNDP via a photodynamic therapy, the other two functional aPD-L1 and IDO-1 inhibitor from CNDP could defunctionalize the immunosuppressive behavior of IFN-γ.
3458–3470
Nano detection
Research Articles
Exploring ratiometric endolysosomal pH nanosensors with hydrophobic indicators responding at the nanoscale interface and multiple fluorescence resonance energy transfers
Qinghan Chen1,2, Jingying Zhai2, Jing Li1,2, Yifu Wang2, and Xiaojiang Xie2,*
1 Harbin Institute of Technology, China
2 Southern University of Science and Technology, China
Tuneable endolysosomal pH nanosensors are presented featuring the unique interfacial response mechanism and triple Förster resonance energy transfer.
3471–3478
Low-power STED nanoscopy based on temporal and spatial modulation
Luwei Wang1, Yue Chen1, Yong Guo1, Weixin Xie2, Zhigang Yang1, Xiaoyu Weng1, Wei Yan1,*, and Junle Qu1,*
1 Key Laboratory of Optoelectronic Devices and Systems of Ministry of Education and Guangdong Province, China
2 Shenzhen University, China
The modulated stimulated emission depletion (STED) achieves low-power super-resolution imaging in two steps: temporal modulation to separate confocal and STED photons and spatial modulation to remove the diffraction-limited signals from STED photons.
3479–3486
Multiplex ratiometric gold nanoprobes based on surface-enhanced Raman scattering enable accurate molecular detection and imaging of bladder cancer
Xiao Liang1,2, Pu Zhang1,3, Minghai Ma1, Tao Yang1, Xiangwei Zhao4, Rui Zhang1, Minxuan Jing1, Rundong Song1, Lei Wang2,*, and Jinhai Fan1,*
1 Xi’an Jiaotong University, China
2 Air Force Medical University, China
3 People’s Hospital of Hangzhou Medical College, China
4 Southeast University, China
A novel multiplex ratiometric surface-enhanced Raman scattering (SERS) nanosensor was produced for tumor biomarker detection. In vitro, nanosensors with internal standard signals can provide higher sensitivity, specificity, and reliability for Thymidine kinase1 (TK1) mRNA detection. In cells studies, with dual target detection, the relative expression levels of target tumor mRNA can be determined by normalizing their signals against glyceraldehyde 3-phosphate dehydrogenase (GAPDH) mRNA signals, which is widely used as a reference for normalizing the target gene expression levels.
3487–3495
Self-generating nanogaps for highly effective surface-enhanced Raman spectroscopy
Yangkai Chen1, Huan Li1, Jianmei Chen1, Dong Li1, Mengyuan Zhang1, Guanghua Yu1, Lin Jiang1, Yi Zong1, Bin Dong1, Zhoufang Zeng2,*, Yandong Wang2,3,*, and Lifeng Chi1,*
1 Soochow University, China
2 Research and Development Center for Genetics Resource, Chinese Academy of Sciences, China
3 Institute of Genetics and Development Biology, Chinese Academy of Sciences, China
Etching polystyrene nanospheres monolayer by isotropic plasma etching has been demonstrated as an unexpectedly effective way to fabricate self-generating (SG) nanogaps/surface-enhanced Raman spectroscopy (SERS) substrates. The SG SERS substrates with multiple hot spot modes exhibit excellent performances in Raman enhancement with good uniformity and reproducibility, making them attractive as promising SERS platforms for practical applications.
3496–3503
Nano unit
Review Articles
Engineering DNA quadruplexes in DNA nanostructures for biosensor construction
Jingxin Liu1, Li Yan1, Shiliang He1,*, and Junqing Hu1,2,*
1 Shenzhen Technology University, China
2 Shenzhen Bey Laboratory, China
The intriguing interweaving of naturally occurring DNA quadruplexes and artificial DNA nanostructures promotes recent advance in biosensor construction.
3504–3513
Combining metal-organic frameworks (MOFs) and covalent-organic frameworks (COFs): Emerging opportunities for new materials and applications
Zhixi Li1, Jun Guo2,*, Yue Wan1, Yutian Qin1, and Meiting Zhao1,*
1 Tianjin University, China
2 Tiangong University, China
The combination of the coordination chemistry of metal-organic frameworks (MOFs) and the covalent chemistry of covalent organic frameworks (COFs) not only enables the construction of novel MOFs, COFs as well as MOF@COF hybrids, but also promotes their performances in versatile application fields including adsorption, separation, and catalysis.
3514–3532
Research Articles
Underlying solvent-based factors that influence permanent porosity in porous liquids
Hamidreza Mahdavi1, Huacheng Zhang2, Lauren K. Macreadie3, Cara M. Doherty2, Durga Acharya2, Stefan J. D. Smith1,2,*, Xavier Mulet2,*, and Matthew R. Hill1,2,*
1 Monash University, Australia
2 CSIRO Manufacturing, Australia
3 University of Sydney, Australia
A fundamental study was performed to systematically investigate the component materials of metal organic framework (MOF) based porous liquids to elucidate the parametric space where stable porous liquid can be generated. The compatibility of porogen molecules and solvents based on competitive hydrophilicity/phobicity interactions of porogens and solvents was investigated.
3533–3538
Plasmonically engineered light-matter interactions in Au-nanoparticle/MoS2 heterostructures for artificial optoelectronic synapse
Zhuoran Luo1, Yunfei Xie1, Ziwei Li1,2,*, Yajuan Wang1, Lihui Li1, Ziyu Luo1, Chenguang Zhu1, Xin Yang1, Ming Huang1, Jianhua Huang1, Delang Liang1, Xiaoli Zhu1, Dong Li1, and Anlian Pan1,*
1 Hunan University, China
2 Peking University, China
Au nanoparticle/MoS2 heterostructures are successfully synthesized for the application of high-performance optoelectronic synapse working with plasmonic effect.
3539–3547
Large scale synthesis of full-color emissive carbon dots from a single carbon source by a solvent-free method
Hui Ding1, Xuan-Xuan Zhou1, Zi-Hui Zhang1, Yun-Peng Zhao1,*, Ji-Shi Wei2, and Huan-Ming Xiong2,*
1 China University of Mining and Technology, China
2 Fudan University, China
A facile solvent-free approach to obtain photoluminescent carbon dots (CDs) with tunable emission from 442 to 621 nm, quantum yield of 23%–56%, and production yield within 34%–72% is reported. The resulting CDs can be potentially applied in the fabrication of fullcolor light emitting films and all types of white light emitting diodes (WLEDs) with high color-rendering-index (CRI) over 80.
3548–3555
Targeted delivery of celastrol to glomerular endothelium and podocytes for chronic kidney disease treatment
Qingsi Wu1,2, Jiading Wang2, Yuanfang Wang1,2, Ling Xiang1,2, Yulu Tan1,2, Jiaxing Feng1,2, Zhirong Zhang1,2,*, and Ling Zhang2,*
1 West China School of Pharmacy, China
2 Sichuan University, China
Targeted delivery of celastrol alleviates glomerular endothelial damage and ameliorates chronic kidney disease (CKD) by upregulating eNOS and downregulating VCAM-1.
3556–3568
Tuning the near room temperature oxidation behavior of high-entropy alloy nanoparticles
Jing Gao1, Jun Ding2,*, Yin Zhang3, Ting Zhu3, and Qian Yu1,*
1 Zhejiang University, China
2 Xi'an Jiaotong University, China
3 Georgia Institute of Technology, USA
Changing the alloying elements by replacing Mn with Pd resulted in different oxidation processes and products, which were revealed by in situ oxidation experiments of CrMnFeCoNi and CrFeCoNiPd high-entropy alloy nanoparticles.
3569–3574
Intelligently assembly of W18O49 nanorod clusters with directionally generated oxygen vacancies and excellent electrochemical properties
Dan Zhou, Xiaojiao Guo, Yixiang Chen, Xiaoyu Yuan, and Jinku Liu*
East China University of Science and Technology, China
Through a synergistic process of reduction and directed assembly, W18O49 mixed-valence metal oxide with oxygen vacancies oriented along the normal direction of the (010) crystal plane was obtained. The intrinsic mechanism of the contribution of the oriented oxygen vacancies of W18O49 nanorod clusters to electrochemical corrosion protection was revealed.
3575–3586
Colorless-to-colorful switching of electrochromic MXene by reversible ion insertion
Jianxia Jiang1,2, Leiqiang Qin2,*, Joseph Halim2, Per O. Å. Persson2, Lintao Hou1,*, and Johanna Rosen2,*
1 Jinan University, China
2 Linköping University, Sweden
MXene (Nb1.33C) based colorless-to-black switching two-dimensional (2D) nano electrochromic materials with high contrast ratio in both visible and near infrared regions have been systematically investigated, which achieved the colored state with almost zero transmittance.
3587–3593
Nanodevice
Research Articles
Rare-earth single atom based luminescent composite nanomaterials: Tunable full-color single phosphor and applications in WLEDs
Shan Bao1, Haiyue Yu1, Guoyang Gao1, Hongyang Zhu2, Dingsheng Wang3, Peifen Zhu4,*, and Guofeng Wang1,*
1 Heilongjiang University, China
2 Linyi University, China
3 Tsinghua University, China
4 The University of Tulsa, USA
Rare-earth single atom based NaGdF4:Tb3+/Eu3+@C:N/Eu3+ single phosphor with tunable full-color luminescence was reported, and the results of density functional theory (DFT) calculation prove that C atoms are more favorable for anchoring Eu3+ single atoms. The white light-emitting diode (WLED) device constructed using this single phosphor has a stable and excellent color rendering index and a controllable color temperature, and has broad application possibilities in WLEDs.
3594–3605
Analog ferroelectric domain-wall memories and synaptic devices integrated with Si substrates
Chao Wang, Tianyu Wang, Wendi Zhang, Jun Jiang*, Lin Chen*, and Anquan Jiang*
Fudan University, China
The creation/annihilation of periodically arrayed antiparallel domains within LiNbO3 (LNO) nanocells using a number of positive/negative voltage pulses can enable almost linear synaptic weight updating during the long-term potentiation and long-term depression of the artificial synapses. The synaptic plasticity was modelled from the periodic array of switched and unswitched antiparallel domains within a number of superdomains that permitted continuous modulation of the conducting wall current via a number of pulses applied.
3606–3613
Direct stamping multifunctional tactile sensor for pressure and temperature sensing
Binghao Liang1, Bingfang Huang1, Junkai He1, Rongliang Yang1, Chengchun Zhao1, Bo-Ru Yang1,*, Anyuan Cao2, Zikang Tang3, and Xuchun Gui1,*
1 Sun Yat-sen University, China
2 Peking University, China
3 University of Macau, Macau, China
A multifunctional pressure/temperature tactile sensor was designed and fabricated by a versatile dry transfer method. The sensor possesses high sensitivity (0.67kPa−1), large linear range (0.75–5 kPa), fast response speed (15.6 ms) in pressure sensing, and a high temperature sensitivity (1.41%/°C) in temperature sensing.
3614–3620
Direct drop-casting synthesis of all-inorganic lead and lead-free halide perovskite microcrystals for high-performance photodetectors
Zhengxun Lai1, You Meng1, Fei Wang1,2, Xiuming Bu1, Wei Wang1, Pengshan Xie1, Weijun Wang1, Chuntai Liu3, SenPo Yip1,4, and Johnny C. Ho1,4,*
1 City University of Hong Kong, Hong Kong, China
2 Changchun Institute of Optics, Fine Mechanics and Physics, Chinese Academy of Sciences, China
3 Zhengzhou University, China
4 Kyushu University, Japan
Cubic CsPbBr3 and layer-structured Cs3Sb2I9 microcrystals (MCs) with excellent crystallinity are successfully fabricated by the low-temperature solution-processed drop-casting method. Impressively, once these MCs are configured into photodetectors, they exhibit superior device performance as compared with the conventional spin-coated films with high-temperature annealing.
3621–3627
An unprecedented dumbbell-shaped pentadeca-nuclear W–Er heterometal cluster stabilizing nanoscale hexameric arsenotungstate aggregate and electrochemical sensing properties of its conductive hybrid film-modified electrode
Dan Wang1, Jun Jiang1, Meng-Ya Cao1, Sai-Sai Xie1, Ya-Min Li1, Li-Juan Chen1,*, Jun-Wei Zhao1,*, and Guo-Yu Yang2,*
1 Henan University, China
2 Beijing Institute of Technology, China
A novel pentadeca-nuclear W–Er heterometal cluster stabilizing multi-Er3+-substituted hexameric arsenotungstate was prepared for the first time and electrochemical sensing properties of its hybrid film-modified electrode were investigated.
3628–3637
Thickness-dependent enhanced optoelectronic performance of surface charge transfer-doped ReS2 photodetectors
Peiyu Zeng1, Wenhui Wang2, Jie Jiang2, Zheng Liu3, Dongshuang Han1, Shuojie Hu1, Jiaoyan He1, Peng Zheng1, Hui Zheng1, Liang Zheng1, Xiaojing Yao4,*, Weitao Su1, Dexuan Huo1, Zhangting Wu1,*, Zhenhua Ni2, and Yang Zhang1,*
1 Hangzhou Dianzi University, China
2 Southeast University, China
3 Jiangsu Province Special Equipment Safety Supervision and Inspection Institute, China
4 Hebei Normal University, China
The p-type doping converts the deep trap states into recombination centers for few-layer ReS2 and induces a vertical p-n junction for multi-layer ReS2. Compared with the pristine ReS2 photodetectors, doped few-layer ReS2 photodetectors exhibit a lower responsivity and faster decay time, while doped multi-layer ReS2 photodetectors have a higher responsivity and similar decay time.
3638–3646
Efficient energy transfer in organic light-emitting transistor with tunable wavelength
Ke Zhou1, Jian Tang1, Shaofan Fang1, Ke Jiang1, Fangxu Yang2, Deyang Ji2, Jing Xiang1,3, Jie Liu4, Huanli Dong4,*, Cheng Han1, Hanlin Hu3, Xiaotao Zhang2, Wenping Hu2,5,*, and Yumeng Shi1,*
1 Shenzhen University, China
2 Tianjin University, China
3 Shenzhen Polytechnic, China
4 Institute of Chemistry, Chinese Academy of Sciences, China
5 International Campus of Tianjin University, China
Here, we report a novel device configuration called the energy transfer organic light-emitting transistor (ET-OLET). The ET-OLET can separate its charge transport layer and its emissive layer, leading to high efficiency and tuning of the light emission color by adjusting the doping concentration, gate voltage, or source-drain voltage.
3647–3652
MXene quantum dot within natural 3D watermelon peel matrix for biocompatible flexible sensing platform
Jinzi Sun1,2, Hui Du1, Zhaojun Chen1,*, Lili Wang2,3,*, and Guozhen Shen2,3,*
1 Qingdao University, China
2 Institute of Semiconductors, Chinese Academy of Sciences, China
3 University of Chinese Academy of Sciences, China
The MXene quantum dot/watermelon peel (MQD/WMP) aerogel-based flexible sensor not only enhances the sensitivity due to inherent three-dimensional (3D) structure of natural biomaterials, and is also non-toxic, degradable and harmless to the environment and human body. This work provides a potential approach for a new generation human motion rehabilitation device with excellent performance.
3653–3659
Solution processed high performance perovskite quantum dots/ZnO phototransistors
Md Mehedi Hasan1, Eric Moyen1,*, Jewel Kumer Saha1, Md Mobaidul Islam1, Arqum Ali1, and Jin Jang1,*
Kyung Hee University, Republic of Korea
Perovskite FACsPbBr3 quantum dots coated with short octanoic acid ligands enable high photo-detectivities (> 1,014 J) when used as an active layer on top of low-cost solution processed spray coated ZnO thin film transistors.
3660–3666
Microscopic mechanism of imprint in hafnium oxide-based ferroelectrics
Peng Yuan1,2, Ge-Qi Mao3, Yan Cheng4, Kan-Hao Xue3,*, Yunzhe Zheng4, Yang Yang1, Pengfei Jiang1,2, Yannan Xu1,2, Yuan Wang1,2, Yuhao Wang1,2, Yaxin Ding1,2, Yuting Chen1,2, Zhiwei Dang1,2, Lu Tai1, Tiancheng Gong1, Qing Luo1,5,*, Xiangshui Miao3, and Qi Liu1
1 Institute of Microelectronics, Chinese Academy of Sciences, China
2 University of Chinese Academy of Sciences, China
3 Huazhong University of Science and Technology, China
4 East China Normal University, China
5 Peng Cheng Laboratory, China
We investigated the mechanism of ferroelectric imprint in Hf0.5Zr0.5O2 (HZO) thin films using standard TiN electrodes. Based on this model, an effective imprint recovery method has been proposed for improving the device reliability of hafniabased ferroelectric memories (FeRAMs).
3667–3674
Semiconductor
Review Article
Two-dimensional noble transition-metal dichalcogenides for nanophotonics and optoelectronics: Status and prospects
Yingwei Wang*, Li Zhou, Mianzeng Zhong, Yanping Liu, Si Xiao, and Jun He*
Central South University, China
We systematically and comprehensively summarize the latest developments in the current research on two-dimensional noble-transition-metal dichalcogenides (NMDs). The structures, properties, synthesis, potential applications of NMDs and a perspective of expected future developments are discussed.
3675–3694
Research Articles
Tuning the crystal structure and optical properties of selective area grown InGaAs nanowires
Zahra Azimi1,*, Aswani Gopakumar1, Amira S. Ameruddin1,2, Li Li1, Thien Truong1, Hieu T. Nguyen1, Hark Hoe Tan1, Chennupati Jagadish1, and Jennifer Wong-Leung1,*
1 The Australian National University, Australia
2 Universiti Tun Hussein Onn Malaysia, Malaysia
Our study shows that highly uniform InGaAs arrays with tunable optical properties can be grown by selective area epitaxy. The effective Ga content in the nanowires can be changed by controlling the growth conditions, enabling the precise tuning of their optical emission over a range of 0.6 eV.
3695–3703
Intrinsically scale-free ferroelectricity in two-dimensional M2X2Y6
Xin Jin1, Lei Tao1, Yu-Yang Zhang1,3, Jinbo Pan1,3,*, and Shixuan Du1,2,3,*
1 Institute of Physics & University of Chinese Academy of Sciences, Chinese Academy of Sciences, China
2 Songshan Lake Materials Laboratory, China
3 CAS Key Laboratory of Vacuum Physics, China
The ferroelectric (FE) M2X2Y6 monolayers show intrinsic scale-free ferroelectricity, i.e., the polarizations in adjacent M2X2Y6 unit cell can be reversed independently, indicating its potential applications in high-density storage.
3704–3710
Ultra-sensitive flexible Ga2O3 solar-blind photodetector array realized via ultra-thin absorbing medium
Yancheng Chen, Xun Yang*, Yuan Zhang*, Xuexia Chen, Junlu Sun, Zhiyang Xu, Kaiyong Li, Lin Dong, and Chongxin Shan*
Zhengzhou University, Chin
Absorption amplification has been realized utilizing multiple-beam interference in 20-nm Ga2O3 optical cavity. Based on the high absorption efficiency and short carrier transmission distance of ultra-thin Ga2O3, an ultra-sensitivity flexible solar-blind photodetector array is developed. The device can execute the functions of imaging, spatial distribution of light source intensity, and realtime light trajectory detection.
3711–3719
The point defect and electronic structure of K doped LaCo0.9Fe0.1O3 perovskite with enhanced microwave absorbing ability
Fan Wang1, Weihua Gu1, Jiabin Chen1, Yue Wu1, Ming Zhou1, Shaolong Tang2, Xingzhong Cao3, Peng Zhang3, and Guangbin Ji1,*
1 Nanjing University of Aeronautics and Astronautics, China
2 Nanjing University, China
3 Institute of High Energy Physics, Chinese Academy of Sciences, China
La1−xKxCo0.9Fe0.1O3 perovskites were successfully prepared by sol-gel method, which obtained electromagnetic wave attenuation of a wide bandwidth of 6.2 GHz. Significantly, the attenuation mechanism was further investigated by the positron annihilation lifetime spectroscopy and charge density difference and oxygen density of states, showing an effective method for the study of excellent microwave absorption.
3720–3728
Quantitatively investigating the self-attraction of nanowires
Junfeng Cui1,2, Zhenyu Zhang1,*, Le Lv2, Kazuhito Nishimura3, Guoxin Chen2,*, and Nan Jiang2,*
1 Dalian University of Technology, China
2 Ningbo Institute of Materials Technology and Engineering, Chinese Academy of Sciences, China
3 Kogakuin University, Japan
A versatile method of in situ investigating the self-attraction of nanowires (NWs) was developed. The attractive force between two NWs and their distance were determined quantitatively during self-attraction, and the controversy about the driving force for the self-attraction of NWs was clarified.
3729–3736
Synthesis
Review Article
2D layered black arsenic-phosphorus materials: Synthesis, properties, and device applications
Junchuan Liang1,2, Yi Hu1,2, Kaiqiang Zhang1,2, Yaoda Wang1,2, Xinmei Song1,2, Anyang Tao1,2, Yuzhu Liu1,2, and Zhong Jin1,2,*
1 Nanjing University, China
2 Shenzhen Research Institute of Nanjing University, China
Black arsenic-phosphorus (b-AsP) is a newly-emerged member of two-dimensional (2D) layered pnictogen materials. Herein, we review the recent progress in the synthesis, characterizations, and applications of b-AsP materials, and make a perspective on the current challenges and development prospects of b-AsP materials.
3737–3752
Research Articles
Chiral nanoporous networks featuring various chiral vertices from an achiral molecule on Ag(100)
Dong Han, Tao Wang, Jianmin Huang, Xingyu Li, Zhiwen Zeng, and Junfa Zhu*
University of Science and Technology of China, China
A series of chiral nanoporous networks featuring various chiral vertices are constructed from an achiral molecule on Ag(100) via stepwise annealing. The chirality relationship between vertices and nanopores is investigated in detail.
3753–3762
Near room-temperature ferromagnetism in air-stable two-dimensional Cr1−xTe grown by chemical vapor deposition
Zhansheng Gao1, Ming Tang2, Junwei Huang2, Jiabiao Chen1, Wei Ai1, Linglu Wu2, Xinyue Dong1, Yifei Ma1, Zheshan Zhang1, Lei Zhang1, Yaping Du1, Huixia Fu3, Hongtao Yuan2,*, Jinxiong Wu1,4,*, and Feng Luo1,*
1 Nankai University, China
2 Nanjing University, China
3 Chongqing University, China
4 Beijing National Laboratory for Molecular Sciences, China
Two-dimensional Cr1−xTe grown by chemical vapor deposition (CVD) exhibits tunable Curie temperature up to 285 K, and out-of-plane ferromagnetic order down to atomically thin limit, as evidenced by anomalous Hall effects observed in non-encapsulated samples. Moreover, the CVD-grown Cr1−xTe nanosheets present excellent ambient stability, with no apparent change in surface roughness or electrical transport properties after exposure to air for months.
3763–3769
Direct evidence of two-dimensional electron gas-like band structures in hafnene
Shaozhu Xiao1, Meng Liu2, Linfei Li3, Jiatao Sun2,*, Yeliang Wang2,*, and Shaolong He1,4,*
1 Ningbo Institute of Materials Technology and Engineering, Chinese Academy of Sciences, China
2 Beijing Institute of Technology, China
3 University of Illinois at Chicago, USA
4 University of Chinese Academy of Sciences, China
The electronic structure of hafnene grown on the Ir(111) substrate has been studied using angle-resolved photoemission spectroscopy (ARPES). The observed band structure of hafnene near the Fermi level is a parabolic dispersive electron pocket centered at the Γ point of the Brillouin zone, demonstrating the existence of two-dimensional (2D) electron gas in hafnene grown on an Ir(111) substrate.
3770–3774
The role of Cu crystallographic orientations towards growing superclean graphene on meter-sized scale
Xiaoting Liu1,2, Jincan Zhang1,2,3, Wendong Wang4,Wei Zhao5, Heng Chen1,2, Bingyao Liu1,2, Mengqi Zhang2, Fushun Liang1,2, Lijuan Zhang2, Rui Zhang4, Ning Li2, Yuexin Zhang2, Yuchen Liu2, Kaicheng Jia1,2, Luzhao Sun1,2, Yixuan Zhao1,2, Peng Gao1,2, Qinghong Yuan5,6, Li Lin1,2,4,*, Hailin Peng1,2,*, and Zhongfan Liu1,2,*
1 Peking University, China
2 Beijing Graphene Institute, China
3 University of Cambridge, UK
4 University of Manchester, UK
5 East China Normal University, China
6 The University of Queensland, Australia
We achieved the facile synthesis of the meter-sized clean graphene on large-area Cu(100) foils by unveiling the role of Cu crystallographic orientations upon the formation of surface contamination. The removal of surface contamination also contributes to the reduced transfer-related polymer residues and ensures improved electrical performances and measurement of bioelectrical signals.
3775–3780
Shape-engineering of organic heterostructures via a sequential self-assembly strategy for multi-channel photon transportation
Yue Yu1, Qiang Lv1, Yi Yuan1, Xue-Dong Wang1,*, and Liang-Sheng Liao1,2,*
1 Soochow University, China
2 Macau University of Science and Technology, Macau, China
Through modulating hierarchical charge-transfer intermolecular interactions and sequential crystal nucleation rate based on the two different cocrystals of benzo(c)phenanthrene-1,2,4,5-tetracyanobenzene (BHT-TCNB) and benzo(c)phenanthrene-1,3-dicyanotetrachlorobenzene (BHT-m-TCP), we accurately prepared three kinds of axial heterostructures involving the unilateral axial organic heterostructures (OHSs), bilateral single-branching axial OHSs and bilateral multi-branching axial OHSs, which realize multi-color emission and multi-channel outputs.
3781–3787
Tunable electrical properties of C60∙m-xylene and the formation of semiconducting ordered amorphous carbon clusters under pressure
Zhongyan Wu1, Guoying Gao2, Jinbo Zhang3, Alexander Soldatov2,*, Jaeyong Kim1,*, Lin Wang2,*, and Yongjun Tian2
1 Hanyang University, Republic of Korea
2 Yanshan University, China
3 Yangzhou University, China
Electrochemical impedance spectroscopy (EIS) and temperature dependent electrical transport behavior of C60·m-xylene were investigated along with Raman spectroscopy under high pressure for the first time. The pressure-induced insulating to semiconducting transition and energy gap widening were found due to the dimerization and the formation of the ordered amorphous carbon clusters (OACC) phase, respectively.
3788–3793
Theory
Research Articles
Structural engineering of transition-metal nitrides for surface-enhanced Raman scattering chips
Leilei Lan, Haorun Yao, Guoqun Li, Xingce Fan, Mingze Li, and Teng Qiu*
Southeast University, China
We propose a general strategy to fabricate a series of planar transition-metal nitride (TMN) surface-enhanced Raman scattering (SERS) chips. Further, structural engineering of these TMN chips is used to improve their SERS activity by constructing nanocavity and heterostructure, the Raman enhancement factors (EFs) could be greatly improved to 107.
3794–3803
Ultra-low lattice thermal conductivity and promising thermoelectric figure of merit in borophene via chlorination
Jia He1, Yanxiao Hu2, Dengfeng Li2, and Jie Chen1,*
1 Tongji University, China
2 Chongqing University of Posts and Telecommunications, China
The lattice thermal conductivity of hydrogenated αʹ-borophene is reduced by two orders of magnitude when replacing hydrogen atoms with chlorine atoms, resulting in a high ZT value around 2 in B2Cl sheet at room temperature.
3804–3811
Exploring electronic-level principles how size reduction enhances nanomaterial surface reactivity through experimental probing and mathematical modeling
Guolei Xiang1,* and Yang-Gang Wang2
1 Beijing University of Chemical Technology, China
2 Southern University of Science and Technology, China
How size reduction generally enhances nanomaterial surface reactivity has long remained a mysterious fundamental issue. We report an electronic-level insight into this size-reactivity relationship by combining experimental probing and mathematical modeling, from which dual roles of size are revealed.
3812–3817
Abnormal thermal conductivity enhancement in covalently bonded bilayer borophene allotrope
Yan Yin1, Yanxiao Hu1, Shichang Li1, Guangqian Ding1, Shifa Wang2, Dengfeng Li1,*, and Gang Zhang3,*
1 Chongqing University of Posts and Telecommunications, China
2 Chongqing Three Gorges University, China
3 Institute of High Performance Computing, A*STAR, Singapore
The thermal conductivity of bilayer β12 borophene at 300 K is remarkably higher than that of monolayer counterpart along armchair direction due to the suppressed phonon scattering possibility and elongated phonon lifetime.
3818–3824
THz trapped ion model and THz spectroscopy detection of potassium channels
Kaicheng Wang, Shaomeng Wang*, Lixia Yang, Zhe Wu, Baoqing Zeng, and Yubin Gong*
University of Electronic Science and Technology of China, China
The terahertz trapped ion model reveals the biophysical basis of the physiological functions of potassium channels and leads to a novel detection approach for the permeation dynamic process based on terahertz spectroscopy.
3825–3833
点击“阅读原文”查看完整目录
Previous Contents:
关注B站、视频号、官网,获取更多精彩!
B站
视频号
官网