目录
一、什么是非平衡态热力学?
二、非平衡态热力学概述
三、相关概念
四、局部热力学平衡
五、演化系统的熵
六、流合力
七、推测非平衡过程的极值原理
八、集智百科志愿者招募
非平衡态热力学 Non-equilibrium thermodynamics 是热力学的一个分支,研究某些不处于热力学平衡中的物理系统。但是这些系统可以用一些变量(非平衡态变量)来描述,这些变量来源于用来描述热力学平衡系统的变量的外推。非平衡态热力学与输运过程和化学反应速率相关。它依赖于被认为是或多或少接近热力学平衡的东西。
几乎所有在自然界中发现的系统都不是在热力学平衡中,因为它们正在随着时间变化或者可以被触发而发生变化,并且不断地和其他系统交换物质和能量以及参与化学反应。然而,某些系统和过程在某些程度上足够接近于热力学平衡态,允许目前已有的非平衡态热力学对其进行有用的精确描述。然而,许多自然系统和过程由于非变分动力学的存在,使得自由能的概念不存在,因此总是远远超出非平衡热力学方法的范围。
非平衡态热力学词条,更多资料扫码查看集智百科
对非平衡系统的热力学研究比平衡态热力学研究需要更普适的概念。非平衡态热力学和平衡态热力学之间的一个根本区别在于非均匀系统的行为,这就要求对反应速率有研究,而这一点在均匀系统的平衡态热力学中没有考虑,下面将讨论这一点。另一个基且非常重要的区别是:在一般情况下,很难或者不可能用宏观量来定义非热力学平衡系统在瞬时的熵;只有在某些精心选择的特殊情况下加入一些有用的近似才能定义熵,即局部热平衡。
平衡态热力学和非平衡态热力学的区别
平衡态热力学和非平衡态热力学之间存在一个巨大的区别:平衡态热力学忽略了物理过程的时间进程;相反,非平衡态热力学试图不断详细地描述物理过程的时间进程。
平衡态热力学把它的研究范围局限于具有热力学平衡的初态和末态的过程,该过程的时间进程被有意地忽略。因此,平衡态热力学允许物理过程经历远离热力学平衡的状态,这些状态甚至不能用非平衡态热力学所允许的变量来描述,比如温度和压强的时间变化率。例如,在平衡态热力学中,一个过程甚至可以包括一个非平衡态热力学无法描述的剧烈爆炸。然而,为了理论发展,平衡态热力学使用了“准静态过程”的理想化概念。准静态过程是一种概念上(永恒的、物理上不可能的)沿着热力学平衡状态连续路径的平滑数学过程。它是微分几何的练习,而不是现实中可能发生的过程。
另一方面,非平衡态热力学试图描述连续的时间进程,这需要它的状态变量与平衡态热力学的状态变量之间有非常密切的联系。这极大地限制了非平衡态热力学的范围,并对其概念框架提出了严格的要求。
非平衡态变量
定义非平衡热力学态变量的合适关系如下所述。当系统处于足够接近热力学平衡态的状态时,非平衡态变量可以通过与测量热力学态变量相同的技术,足够精确地在局部测量,或者通过相应的时间和空间导数得到,包括物质和能量的流。一般来说,非平衡态热力学系统在空间和时间上都是不均匀的,但是它们的不均匀性仍然具有足够的光滑度,使得非平衡态变量存在合适的时间和空间导数。由于空间的非均匀性,非平衡态对应的热力学广延量必须定义为平衡态中相应广延量的空间密度。在系统足够接近热力学平衡的情况下,非平衡态的强度量,例如温度和压强,与平衡状态变量密切对应。为了刻画相应的非均匀性,测量探头必须足够小,响应速度也必须足够快。此外,非平衡态变量之间需要在数学上和功能上相互关联,以适当的类似于平衡热力学状态变量之间对应关系的方式。在现实中这些要求是非常苛刻的,并且可能很难,[8]或者说实际上,甚至理论上都不可能满足。这就部分解释了为什么非平衡态热力学是一个仍在进行的工作。
二、非平衡态热力学概述
非平衡态热力学是一项正在进行的工作,而不是一座已经建立的大厦。非平衡态热力学中一些特别重要的概念,包括能量耗散的时间速率 time rate of dissipation of energy 、熵产生速率 time rate of entropy production、热力学场thermodynamic fields、耗散结构 dissipative structure, and non-linear dynamical structure和非线性动力结构 non-linear dynamical structure。
一个有趣的问题是非平衡定态的热力学研究,其中熵产生和一些流是非零的,但没有物理量随时间变化。
非平衡态热力学的一个早期方法有时被称为经典不可逆热力学。研究非平衡态热力学还有其他方法,如扩展不可逆热力学和广义热力学,但在本文中很少涉及。
实验室条件下物质的准无辐射非平衡热力学
根据 Wildt 的说法,当前版本的非平衡态热力学忽略了辐射热; 他们之所以可以这样做,是因为他们参照的是实验室条件下的物质数量,而实验室条件下的物质温度远低于恒星的温度。在实验室温度下,在实验室数量的物质中,热辐射很弱,几乎可以忽略不计。但是,例如大气物理学关注的是占据以立方公里计的大量物质,它们作为一个整体,不在实验室数量的范围内,那么热辐射就不能被忽视。
局部平衡热力学
“经典不可逆热力学 classical irreversible thermodynamics ”和“局部平衡热力学 local equilibrium thermodynamics ”有时被用来指代一类非平衡热力学。它需要如下的一些简化假设。这些假设的效果是使系统的每个非常小的体积元是等效同质的,或者是充分混合的,或者没有有效的空间结构,以及没有体流动能或扩散通量。即使在经典不可逆热力学的思想框架内,在选择系统的独立变量时也需要谨慎。在某些著作中,假设平衡热力学的强度量足够作为任务的独立变量(这些变量被认为没有“记忆”,不显示迟滞现象);特别地,局部流的强度量不允许作为独立变量;局部流被认为依赖于准静态局部强度量。
同时假设局部熵密度与其他局部强度量的函数关系和平衡态相同,这被称为局部热力学平衡假设。辐射可以被忽略,因为它是能量在区域之间的转移,而区域之间可以相互远离。在经典不可逆热力学的方法中,允许从微小体积元到相邻的微小的体积元有非常小的空间变化,但是假定系统的总熵可以通过简单的局部熵密度的空间积分得到,这意味着空间结构不能对系统的总熵作出贡献。这种方法假设空间和时间的连续性,甚至假设局部定义的强度量是可微的,如温度和内部能量密度。所有这些假设都是非常严格的要求。因此,这种方法只能处理范围非常有限的现象。然而这种方法是有价值的,因为它可以很好地处理一些宏观上可观察到的现象。
在其他著作中,考虑了局部流变量;这些可以被认为是经典的,类比于由无休止的重复循环过程产生的流动的时间不变的长期时间平均值;有关流动的例子是被称为 Seebeck 和 Peltier 效应的热电现象,Kelvins 在十九世纪以及 Onsager 在二十世纪考虑了这一现象。这些效应发生在金属连接处,最初被有效地处理为二维表面,没有空间体积,也没有空间变化。
“记忆”材料的局部平衡热力学
局部平衡热力学的进一步扩展是允许材料具有”记忆” ,因此它们的本构方程不仅依赖于当前值,而且依赖于局域平衡变量的过去值。因此相比于无记忆材料依赖时间的局域平衡热力学,在有记忆材料研究中时间在物理图像中更为深入,但是流并不是状态的独立变量。
扩展的不可逆热力学
扩展的不可逆热力学是非平衡态热力学的一个分支,它超越了局部平衡假设的限制。状态变量空间通过包含质量、动量和能量的流以及最终的高阶流而被扩大。其形式非常适合于描述高频过程和小尺度材料。
三、相关概念
有许多静态非平衡系统的例子,其中一些非常简单,例如被限制在两个不同温度恒温器之间的系统,或者常见的库埃特流动 Couette flow,两个沿相反方向运动的平板壁之间的流体,并定义了壁上的非平衡条件。激光作用也是一个非平衡过程,但它依赖于脱离局部热力学平衡,因此超出了经典不可逆热力学的范围;这种情况下,两个分子自由度(分子激光,振动和转动分子运动)之间保持了很大的温差,这要求在一个很小的空间区域存在两个部分的“温度”,所以排除了局部热力学平衡,因为热力学平衡只需要一个温度。声扰动或激波的阻尼是非静态非平衡过程。被驱动的复杂流体、湍流系统和玻璃是非平衡系统的其他例子。
宏观系统的力学依赖于大量的广延量。应当强调的是,所有系统都与其周围环境永久地相互作用,从而造成广延量不可避免的波动。热力学系统的平衡条件与熵最大的性质有关。如果唯一允许波动的广延量是内能,而其它量都严格保持恒定,那么系统的温度就是可测量和有意义的。系统的性质可以用热力学势能亥姆霍兹自由能 Helmholtz free energy(A = U - TS )来描述,它是能量的Legendre变换 Legendre transformation 。如果除了能量的波动,系统的宏观尺寸(体积)也可以波动,我们使用吉布斯自由能 Gibbs free energy(G = U + PV - TS ),其中系统的性质既由温度决定,也由压强决定。
非平衡系统要复杂得多,它们可能存在更多广延量的涨落。边界条件施加给它们某些强度量,如温度梯度或形变集体运动(剪切运动、涡旋等),通常称为热力学力。如果自由能在平衡态热力学中非常有用,那么必须强调的是,没有像平衡态热力学中熵的热力学第二定律那样定义能量的静态非平衡性质的一般定律。这就是为什么在这种情况下,应该考虑一个更一般的Legendre变换,这就是拓展的马休函数 extended Massieu function 。
根据定义,熵(S )是广延量的函数。每个广延量都有一个与之共轭的强度量密集变量
(通过与本链接中给出的定义进行比较,这里使用了强度量的狭义定义) ,因此:
然后我们将扩展的马休函数定义如下:
其中是玻尔兹曼常数 Boltzmann's constant,由此
这些独立变量是强度量。强度量具有全局的值,对整个系统都有效。当边界对系统施加不同的局部条件时(例如温度差),有的强度量代表平均值,其他强度量代表梯度或更高阶矩。后者是驱动系统广延性质流动的热力学力。可以说明,无论是否处于平衡状态,勒让德变换改变了静态的扩展马休函数的最小条件下熵的最大条件(平衡时有效)。
定态、涨落和稳定性
在热力学中,人们经常对一个过程的定态感兴趣,允许系统状态的定态包括不可预测和实验上不可重复的涨落的发生。涨落是由于系统的内部子过程以及与系统周围环境交换物质或能量所造成的,周围环境给这一过程增添了限制。
如果这个过程的定态是稳定的,那么不可复制的涨落就包含了局部瞬时的熵减。然后系统的可重复响应是通过不可逆过程将熵重新增加到最大值: 涨落不可能以显著的概率再现。除了临界点附近,稳定定态的涨落极小。稳定的定态有一个局部最大熵,并且是系统局部最可再现的状态。关于涨落的不可逆耗散有几个定理。这里“局部”是指相对于系统状态热力学坐标的抽象空间的局部。
如果定态是不稳定的,那么任何涨落几乎肯定会触发系统几乎爆炸性地偏离不稳定的定态。这可能伴随着熵输出的增加。
五、演化系统的熵
W.T. Grandy Jr 指出,熵虽然在非平衡系统中可以定义,但是严格来说,它只是一个关于整个系统的宏观量,而不是一个动力学变量,一般不作为描述局部力的局部势能。然而在特殊情况下,人们可以隐喻地认为,热力学变量表现得像局部物理力。构成经典不可逆热力学的近似是建立在这种隐喻思维之上的。
这种观点与连续热力学中熵的概念和使用有许多共同点,连续热力学的发展完全独立于统计力学和最大熵原理。
非平衡中的熵
其中,是相应变量的弛豫时间。考虑初始值
等于零是方便的。上述方程适用于偏离平衡较小的情况,Pokrovskii 考虑了一般情况下内部变量的动力学。
非平衡态系统的熵是所有变量集合的函数:
对非平衡系统热力学的最重要贡献是由伊利亚·普利高津 Ilya Prigogine 做出的,当时他和他的合作者研究了化学反应物质系统。由于与环境交换粒子和能量,这类系统的定态是存在的。在他的书的第三章的第8节中,Prigogine详细说明了在给定体积和恒定温度下,被考虑系统的熵的变化有三种贡献。根据该公式可以计算出熵
的增量。
方程式右边的第一项代表进入系统的热能;最后一项为伴随着粒子进入系统而带来的能量流,粒子流可以是正的也可以是负的,
是物质
的化学势。方程右边中间项描述了由于内部变量
的弛豫而引起的能量耗散(熵产生)。在Prigogine研究的化学反应物质的情况下,内部变量看起来是测量化学反应的未完成度,也就是测量考虑的化学反应体系远离平衡的程度。这个理论可以推广
,把任何对平衡态的偏离看作是内部变量,因此我们认为方程式中的内部变量
集合不仅包含了定义系统中所有化学反应完成程度的量,而且还包含了系统的结构、温度梯度、物质浓度差等。
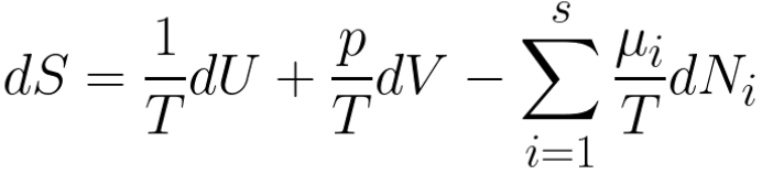
六、流和力
经典平衡态热力学的基本关系为
跟随拉斯·昂萨格 Lars Onsager,让我们扩展到热力学非平衡系统。作为基础,我们需要定义宏观广延量 U、V、和宏观强度量
,
、
的局部版本。
对于经典的非平衡研究,我们将考虑一些新定义的局部宏观强度量。我们可以在适当的条件下,通过局部定义基本局部宏观量的梯度和流密度,导出这些新的变量。
这种局部定义的宏观强度量的梯度被称为“热力学力”。它们“驱动”流密度,也许常被误称为“流” ,这是双重的力。这些量在关于昂萨格倒易关系 Onsager reciprocal relations 的文章中有定义。
建立这种力和流密度之间的关系是一个统计力学的问题。流密度()可能是耦合的。昂萨格倒易关系的文章考虑了稳定的近定态热力学非平衡态,其中力和流密度具有线性动力学性质。
在稳态条件下,这样的力和对应的流密度根据定义是不随时间变化的,就像系统的局部定义的熵和熵产生率一样。值得注意的是,根据Prigogine和其他人的研究,当一个开放系统处于允许它达到稳定的热力学非平衡状态的条件下时,它会自我组织以使局部定义的总熵产生最小化。下文将进一步讨论这个问题。
人们想要进一步分析非静态局部量的表面和体积积分的行为,这些积分是宏观的流和产生率。一般来说,这些积分的动力学用线性方程不能充分描述,尽管在特殊情况下它们可以这样描述。
昂萨格倒易关系
基于约翰·威廉·斯特拉特 John William Strutt(尊称瑞利男爵三世 Third Baron Rayleigh)的研究,Onsager指出,在流()较小且热力学力(
)变化缓慢的情况下,熵的产生率
与流呈线性关系:
并且流与力的梯度有关,通过一个系数矩阵参数化,通常表示为:
由此可见:
热力学第二定律要求矩阵是正定的。统计力学动力学的微观可逆性暗示了矩阵是对称的。这个事实被称为昂萨格倒易关系。
上述熵产生率方程的推广由 Pokrovskii 给出。
七、推测非平衡过程的极值原理
直到最近,这个领域中有用的极端原理的前景似乎还很模糊。Nicolis得出结论,大气动力学的一个模型有一个吸引子,它不是最大或最小耗散的范畴; 她说这似乎排除了全局组织原则的存在,并评论说,这在某种程度上是令人失望的;她还指出,很难找到一个热力学上一致的形式的熵产生。另一位顶级专家对熵产生极值原理和能量耗散原理的可能性进行了广泛的讨论:Grandy发现在许多情况下难以定义“内部熵产生速率”,并发现在预测一个过程的进程,有时能量耗散速率的极值可能比熵产生的速率更有用;能量耗散速率是由Onsager在1931年建立这门学科时被提出。包括Glansdorff and Prigogine(1971)、Lebon, Jou and Casas-Vásquez(2008)以及Šilhavý(1997)在内的其他研究者也认为一般的全局极值原理的前景是模糊的。
最近的一项提议或许可以绕过这些阴云密布的前景。
非平衡态热力学已成功地应用于描述蛋白质折叠/展开和膜转运等生物学过程。它也被用来描述纳米颗粒的动力学,在涉及催化和电化学转化的系统中,纳米颗粒可以远离热力学平衡。此外,来自非平衡态热力学的思想和熵的信息论已经被用来描述一般的经济系统
相关词条:
词条名称:热力学 Thermodynamics
词条地址:https://wiki.swarma.org/index.php?title=热力学
词条名称:热力学平衡 Thermodynamic equilibrium
词条地址:https://wiki.swarma.org/index.php?title=热力学平衡
八、集智百科志愿者招募
在这里从复杂性知识出发与伙伴同行,同时我们希望有更多志愿者加入这个团队,使百科词条内容得到扩充,并为每位志愿者提供相应奖励与资源,建立个人主页与贡献记录,使其能够继续探索复杂世界。
欢迎扫描下方二维码添加负责人加入集智百科团队!
来源:集智百科 编辑:曾祥轩
推荐阅读
集智俱乐部QQ群|877391004
商务合作及投稿转载|swarma@swarma.org
搜索公众号:集智俱乐部
加入“没有围墙的研究所”
让苹果砸得更猛烈些吧!
👇点击“阅读原文”,阅读“非平衡态热力学”完整百科词条,参与集智百科建设!