![]()
罗伯特·梅是一位成绩卓越、五位一体的学者:理论物理学家、应用数学家、数学生态学家、数值传染病学家和复杂性科学家。他是英国最有影响的科学家之一,在生物多样性、群体动力学和流行病学方面都做出了奠基性的贡献,成就斐然。是的,有些传奇科学家就是这么传奇。
![]()
罗伯特·梅(Robert McCredie May, 1936-2020)无疑是传奇式人物中的传奇。
![]()
Sir Robert M. May(1936-2020)
罗伯特,昵称 Bob,因老年痴呆症并发肺炎于2020年4月28日在英国牛津养老院离世,享年84岁。
9月24日,美国生态学会会刊(Bulletin of the Ecological Society of America)在线发表了普林斯顿大学几位生态学家的纪念文章,开篇赞评便说:“如果能够拥有一个精彩的职业人生,我们绝大多数人都会感到无比荣幸,而Bob至少有五个。”
虽然这句话意指罗伯特·梅的科学人生经历了至少五个辉煌的阶段,他确实也是一位成绩卓越、五位一体的学者:理论物理学家、应用数学家、数学生态学家、数值传染病学家和复杂性科学家。他是英国最有影响的科学家之一,在生物多样性、群体动力学和流行病学方面都做出了奠基性的贡献,成就斐然。
谈到学术成就,不知从什么时候开始大家习惯了用一把可以计量的尺子去量度一下:发几篇SNC了?戴几顶帽子了?得多少个大奖了?当然,对于这些,罗伯特·梅的回答完全不是一个问题。
记录表明,学者罗伯特·梅一生发了224篇 Nature 和59篇 Science ,其中有许多科学论文也有不少学术评论。他的h指数为177,还在增长中的引用总数超过166,000。
记录也表明,名冠爵士和牛津男爵的罗伯特·梅是前英国政府首席科学顾问(1995-2000)、英国皇家学会院士和前主席(2000-2005)、英国皇家工程院、美国科学院、澳大利亚科学院、欧洲科学院(Academia Europaea)等多个国家和地区科学院院士,并且荣膺普林斯顿、耶鲁、悉尼、ETH、牛津、哈佛等多所名校的荣誉博士学位。他还曾任1913年成立的英国生态学会主席(1992-1993)、普林斯顿大学学术委员会主席(1977-1988)以及圣塔菲研究所科学委员会主席,等等。
记录还表明,科学家罗伯特·梅获奖无数。代表性的有英国皇家学会Copley Medal(2007)、日本Blue Planet Prize(2001)、瑞士-意大利Balzan Prize(1998)、瑞典皇家科学院Crafoord Prize(1996)、美国生态学会MacArthur Prize(1984)等重大奖项。其中英国皇家学会Copley Medal是世界上最古老最著名的科学奖,始于1731年,获奖者包括众所周知的富兰克林、哈密顿、高斯、法拉第、亥姆霍兹、吉布斯、门捷列夫、卢瑟福、爱因斯坦、普朗克、波恩、哈代、狄拉克、霍金、希格斯等等。而瑞典皇家科学院的 Crafoord Prize 在1983年授予混沌学先驱爱德华·洛伦茨(Edward N. Lorenz)。
其实罗伯特·梅在学术界里更广为人知的是他的科学贡献:他和Roy M. Anderson合著、在1992年由牛津大学出版社出版的近800页的专著《Infectious Diseases of Humans: Dynamics and Control》被称为是传染病数学模型和分析的圣经,至今获得37,000多次引用,其中引进并研究了今天熟知的传播因子即再生数,用以界定疾病传播的收敛和发散的速度,并且建立了早期的HIV传染病传播数学模型。他自己写的一本著作《Stability and Complexity in Model Ecosystems》在1973年由普林斯顿大学出版社出版后2001年再版,至今获得9,000多次引用。他关于动物捕食模型的May-Wigner稳定性定理在该研究领域中特别有名。而他毕生备受关注的论文则是1976年在 Nature 上发表的题为“Simple mathematical models with very complicated dynamics”的论文(Nature, 261: 459-467, 1976),至今被引7,800多次。这是一篇里程碑式的论文,背后有许多故事。
![]()
图2:罗伯特·梅引进Logistic映射的里程碑论文
罗伯特·梅自称是个“r-选择型科学家”,喜欢做“简单优雅而又重要的研究”。这里“r-选择型”是生态学里的行话,指受自身生物潜能(最大生殖能力,r)支配的物种。
1970年代,罗伯特·梅在普林斯顿大学任职生态和动物学教授。他孜孜不倦地研究生态系统中的动物捕食模型以及物种生存竞争和演化问题。他注意到了比利时数学家Pierre Verhulst 在1845-1847年期间建立的描述人口数目变化的连续时间Logistic方程。这里的单词Logistic来自法文logistique,描述部队的后勤供需及宿营管理。罗伯特·梅把它离散化,获得了“Logistic映射”,即从第 k 步到第 k +1 步的迭代公式如下:
x(k +1) = λx(k)[1-x(k)], k =0, 1, 2, …
式中 x(k) 为离散实数变量,表示第 k 年的动物个体数量(标准化后取值在0和1之间),初始值 x(0)∈(0, 1) ,实参数 λ∈(0, 4) 代表生死变化率。这个数学公式的意思不难理解:当个体数量少(即x(k)小)的时候,下一年的数量增长大体上是个常数;当个体数量增加(即 x(k) 变大)时,外界资源比如食物不够了,个体的数量便会减少。
由于这个函数曲线在定义区间上是一条抛物线,只有一个峰值,故此也称为“单峰函数”。罗伯特·梅用它来描述一般生物、经济或社会的演化,例如动物或昆虫的捕食和繁衍。后人则把它类比于“人口”数量的涨落,称之为“虫口”模型。
这个数学映射非常神奇有趣。虽然数学公式看上去很简单,但是它描述的动力学行为却异常复杂。
首先,这个迭代公式的运算过程可以理解如下:从任意一个初始值 x(0)∈(0, 1) 开始,代入右边便得到左边的值 x(1) 。然后把这个 x(1) 代入右边便得到左边的值 x(2)。如此周而复始,可不断地计算下去。
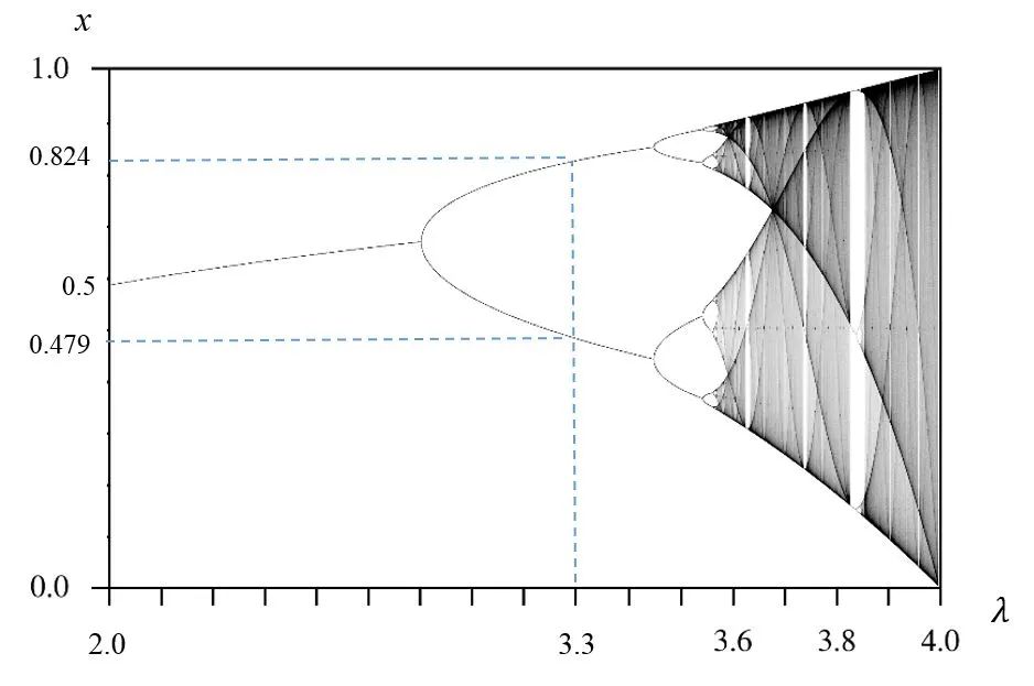
容易看出,当 λ=2 时,如果 x(0)=0.5 则所有后面的 x(k)≡0.5,k =0, 1, 2, … 。也就是说,我们获得了一个无穷序列 {0.5, 0.5, 0.5, …} 的解,称为周期为1的周期解。
然后,作为简单粗略的解释,当 λ=3.3 时,如果从 x(0)=0.479 开始,每一步计算都作四舍五入只保留三位小数,则有
![]()
由此我们获得了一个无穷序列 ,是周期为2的周期解。
现在,我们一方面可以把这两个周期1和周期2的解在图纸上分别打上一个点和两个点,另一方面可以继续把所有不同参数值 λ∈(0, 4) 和所有对应不同初始值 x(0)∈(0, 1) 都算一遍,并把得到的解序列分别在同一张图上打上对应的点,便会得到图3所示的曲线。
![]()
图3:Logistic 映射的计算结果曲线(称为分叉图)
上面的Logistic映射公式很简单,连微积分都用不上,中学生都看得明白。但是,由它计算出来这幅图3就不简单了,特别是在参数 λ 取值接近4的时候。具体地说:
当 λ 由很小的正值(比如 0.1)变到1时,曲线很快地趋向于0(是一个稳定值)。
当 λ 继续增大,曲线慢慢上升,逐次到达一个接着一个的稳定值(曲线上一个个非零点,均为周期1的解)。
当 λ 继续增大,曲线开始出现分叉,每次有2个稳定值(曲线上两个点,对应一个周期2的解),比如上面计算 λ=3.3 的时候。
当 λ 继续增大,曲线相继出现4个、8个、16个、32个 ... 稳定值(不同周期的周期解),这个过程称为“倍周期分叉”。
当 λ 继续增大到接近4时,系统进入“混沌状态”,这时曲线上密密麻麻的点的全体组成了一个周期很长的解。
- 之后,如果 λ 再继续增大,到超过4时,复杂的曲线就突然“坍塌”而发散,变得简单无趣了。
不过,聪明的你马上注意到了:周期总在两倍成对地出现,好像这Logistic映射只有偶数周期的周期解吧?不是的。看到图3曲线右侧有一些“窗口”了吗?例如 λ≈3.828 对上的地方有一个比较宽的窗口,那里只有3个点,对应着周期3的解。再往左看, λ≈3.738 对应着周期5的解, λ≈3.702 对应着周期7的解,等等。这Logistic映射不但有偶数的周期解,还有多种不同奇数的周期解,只不过它们不像偶数分叉过程那么有序而已。如果把对应2、4、8、16 ...等分叉点的参数 λ 值记为 α1、α2、α3 ...等等,那么 αn-αn-1 就是它们两两之间的距离。考虑比值
你会发现,当 n→∞ 时,𝛿n→4.6692。这个极限数字叫费根鲍姆常数,由费根鲍姆(Mitchell Feigenbaum, 1944-2019)在1975年用简单的 HP-65 计算器算出。费根鲍姆还通过高阶微分运算发现了关于分叉高度差之比的极限,即费根鲍姆第二常数 2.5029。不过更值得一提的是,费根鲍姆常数对同类型的映射如 x(k+1) =μ-x2(k) 都是成立的,也就是说它具有一定的普适性。图4:Mitchell J. Feigenbaum(1944-2019)1976年, 罗伯特·梅在 Nature 上发表的题为"Simple mathematical models with very complicated dynamics"的论文,详尽地介绍和分析了这个简单神奇的Logistic映射。今天,这篇论文已被视为离散混沌理论的开山之作,而Logistic映射就是离散混沌系统的第一个和最重要的一个代表性例子。不过,离散混沌的精彩故事还得从1973年的马里兰大学讲起。马里兰大学在1949年成立了一个“流体动力学与应用数学研究所”,1976年后改名为“物理科学与技术研究所”。1972年,该研究所气象组的A. Feller教授将爱德华·洛伦茨在气象学期刊上发表的关于气象预测模型的4篇文章推荐给数学系的詹姆斯·约克(James A. Yorke),说这些文章太理论和数学化了,他们看不懂,但也许数学教授们会感兴趣。这几篇文章中,最关键的是洛伦茨发现第一个具体混沌系统的论文 "Deterministic nonperiodic flow"(Journal of Atmospheric Sciences, 20: 130-141, 1963),该文至今被引用23,000多次。图5:Edward N. Lorenz(1917-2008)1973年4月的一天下午,约克一位得意门生李天岩(Tien-Yien Li)来到了他的办公室。约克兴奋地说:“我有个好想法要告诉你!”李天岩当时是他的博士生,1968年从台湾新竹清华大学数学系毕业后服了一年兵役,然后来到了约克门下,做微分方程研究。虽然是学生,李天岩只比导师小四岁,因此两人亦师亦友。像平常那样,李天岩半开玩笑地问:“你这个新想法足以往《美国数学月刊》投篇文章么?”大家都知道,《美国数学月刊》(American Mathematical Monthly)是创办于1894年的老杂志,很有名气,但只是数学科普类型的月刊,通常不发表高深数学论文。约克笑了笑,说他真有个新想法,源于洛伦茨的4篇文章。李天岩听完那个想法之后,感慨地说:“这样的结果确实非常适合那个月刊!”因为他预感到了,如果能够把结果证明出来的话,其描述并不需要涉及高深的数学语言,大学生研究生应能看得懂。大约两个星期之后,李天岩向导师作了汇报:证明完成了!约克的想法是对的:一个从区间到区间的连续映射如果有周期3的解的话,它就是“混沌”的。具体一点的通俗表述就是:考虑一个连续映射 f: [0, 1]→[0, 1]。那么,(1)存在一个点 a∈(0, 1) ,使得函数 f 在其上满足:f3(a)≤a<f(a)<f2(a) 或者 f3(a)≥a>f(a)>f2(a) 。这里 fm 是映射 f 的 m 次迭代。特别地,当 f3(a)=a 时,映射 f 有周期3的解。由此可以推出,对任何一个正整数 n ,映射 f 都有周期 n 的解。(2)存在区间 [0, 1] 中一个不可数的点集,使得映射 f 从其中任何一个点出发的迭代结果数列既不是周期的,又不趋向于任何一个周期解,最终的走向是不可预测的“混乱”。由此可以推出,映射 f 对初始条件具有高度的敏感性。可能李天岩一直把月刊放在心里,他证明上述定理过程中尽量避免把推理写得晦涩难懂,所用到的只是初等微积分里的连续函数的介值定理。他们把文章的严格证明写好后,竟然破天荒地正式引进了一个“并不数学”的名称 Chaos(混沌),因为映射 f 是完全确定性的,但迭代结果却是不可预测的“混乱”。有趣的是,两位作者还真按照原来开玩笑时说的那样,把文章投到月刊去了。当时文稿的参考文献只列有洛伦茨的那 4 篇文章。可是没过多久,稿件被月刊退回来了,说文章的学术研究味道还是太重了,不适合他们的读者群。那时两位作者也漫不经心,尚未感觉出他们这篇文章有什么伟大意义。于是李天岩把稿件往办公桌上一丢,就让它在那里躺了将近一年时间,两人都不再过问。1974年是马里兰大学数学系的生物数学“特殊年”,期间他们每周都请生物数学这个领域中一位最杰出的学者来系里演讲。在5月份的第一周,他们从普林斯顿大学生态和动物系请来了罗伯特·梅,请他每天给一个讲座。最后一天是周五,上午演讲时罗伯特·梅介绍了他发现的Logistic映射,即虫口模型,也就是那幅有趣的图3。当时罗伯特·梅有把握的只是图中左边对应着较小数值 λ 那部分比较规则的曲线所表达的生物含义。至于当参数 λ 接近4时图形表现出来“乱七八糟”的行为,他也解释不清楚,说也许只是计算误差所造成。下午课程结束,约克便把客人送到飞机场。其间,约克把与李天岩合写的手稿送给他看。罗伯特·梅过目后非常兴奋,认定这个数学定理完全解释了他的疑问。约克从飞机场折回学校后就去找李天岩,催促他说:“我们应该马上改写这篇文章。”文章在两周内就改写好了,引用了罗伯特·梅的工作,从Logistic映射谈起,并补充了一些相关文献。两位数学家不改初衷,把文章重投《美国数学月刊》。三个月后,月刊通知他们,文章现在可以接收了。这篇“数学科普”文章不但有洛伦茨的气象系统,还有罗伯特·梅的Logistic映射,更有一条漂亮的数学定理,最后于1975年12月面世(T.-Y. Li and J. A. Yorke,“Period three implies chaos”,American Mathematical Monthly, 82: 985-992, 1975)。该文至今被引用5,000次。后来罗伯特·梅回忆说,其实他在看到李-约克手稿之前,并不知道洛伦茨和他的系统。普林斯顿高等研究院已故理论物理学家弗里曼·戴森(Freeman Dyson,1923-2020)在他于2009年初由《美国数学会会刊》(Notices of the American Mathematical Society)发表的、在“爱因斯坦讲座”上演讲过的文章“鸟与蛙”(Birds and Frogs)中说:“在混沌学的领域中,我知道的只有一条严格证明了的定理,那是由李天岩和詹姆斯·约克在1975年发表的一篇短文‘周期三意味着混沌’中所建立的。”他将李-约克的这篇论文誉为“数学文献中不朽的珍品之一”。图6:约克为庆祝李天岩(1945-2020)70大寿专门定制了一瓶标有“混沌”商标的葡萄酒
翌年,约克到前苏联参加一个国际数学会议,报告了李-约克定理。会后约克游逛时,一位略为年长的数学家叫住了他,友好地笑着说,你这“周期3意味着所有周期”的结果呀,我十年前就发表过了,而且其中的周期隐含规律我都说清楚了。这位老大哥是乌克兰数学家沙可夫斯基(Oleksandr M. Sharkovsky,1936-),他的论文用俄文发表在一个不甚知名的乌克兰数学杂志上("Co-existence of cycles of a continuous mapping of the line into itself", Ukrainian Mathematical Journal, 16: 61-71, 1964)。图7:Oleksandr M. Sharkovsky (1936 - )沙可夫斯基定理说的是,让我们把所有的正整数 n 按如下的次序排列起来:
那么,对于连续区间映射 f: [0, 1]→[0, 1] ,如果 f 有周期为 m 的解,即 fm(x)=x 但 fk(x) ≠ x (0<k<m), x∈[0, 1] ,并且在上面的次序中 n 排在 m 后面的话,则 f 一定有周期为 n 的解。不过,沙可夫斯基定理是一个拓扑学而不是动力系统方面的结果。它基本上包括了李-约克定理中的第一部分,即如果该映射有周期为3的解,它就有所有正整数周期的解;但它完全没有涉及到李-约克定理中的第二部分,即该映射对初始条件的极端敏感性。而今天的混沌数学理论就是建立在这个最根本的敏感性条件之上,与“具有所有周期”这一特性关系不大。因此,今天科学界说的著名的“李-约克定理“(Li-Yorke Theorem),指的是它的第二部分。不过,尊重原文的历史性标题,也为了让读者容易记忆,习惯上大家还是保留原来的说法,即李-约克定理是一个关于“周期三意味着混沌”的结果。李天岩和约克这两位数学家始料不及,他们出于好奇心写出来的这篇科普杂志上发表的“小文章”,以半开玩笑的方式使用了“混沌”(chaos)一词,却为整个离散动力系统理论引进了一个全新的研究方向,建立了严格的离散混沌理论基础,并提供了一个关于对初始条件高度敏感性的关键数学判据。后来,约克和“分形之父”本华·曼德博("Father of fractals", Benoit B. Mandelbrot,1924-2010)一道分享了2003年的十分著名的日本奖(Japan Prize)。图8:Benoit B. Mandelbrot(1924-2010)像Logistic映射反复迭代后会有周期解那样,我们关于离散混沌的传奇故事从罗伯特·梅开始,回顾了许多历史和人物之后,最终还要回到起点,再说罗伯特·梅的人生。罗伯特·梅于1936年1月8日出生于澳大利亚悉尼市,父亲是北爱尔兰裔的一位律师,母亲是苏格兰一位工程师的女儿。他七岁那年,父母离异。他的本科在悉尼大学修读化学工程和理论物理,1956年获得理学学士学位,1959年以“Investigations towards an understanding of superconductivity”为毕业论文获得理论物理学博士学位,随后到哈佛大学当了两年博士后,其时担任冠名Gordon MacKay应用数学讲师。在哈佛期间,他和在纽约曼哈顿一个犹太家庭出生长大的Judith Feiner结了婚,两人养育有一女儿Naomi Felicity。1962年,他回到悉尼大学任教理论物理学,先后任职高级讲师、准教授(Reader, 1964)、教授(Personal Chair,1969),至1972年。1973-1988年间,他到了普林斯顿大学,接替去世的国际上最著名的理论生态学家Robert MacArthur的职位,成为冠名“Class of 1877”的生态和动物学教授。1988-1995年间他转到了英国,在牛津大学和帝国理工任皇家学会研究教授。1995-2000年间,他任职英国政府首席科学顾问和英国科学技术委员会主席,2000-2005年间出任英国皇家学会主席,2005年之后为牛津大学和帝国理工荣休教授。罗伯特·梅是个关心公益事业的社会活动家。他的超凡演说能力得益于中学时期课外辩论活动受到的训练。他曾经是剑桥大学、英国国家历史博物馆、英国皇家植物园、世界野生动物基金(WWF)、气候变化委员会等政府及社会非盈利组织和机构的董事会或委员会成员。他从1960年代开始就关注人类环境保护,在任职英国政府首席科学顾问期间(1995-2000),他为政府首脑和决策机构制定了UK Principles of scientific advice to government,其中提出了三条基本原则:公开透明、广泛征求意见和重视不确定性,为应对全球气候变迁作了不少成功的有益建言。在2008年金融风暴时期,他研究了金融系统稳定性的数学理论并和英格兰银行一起设计了有效的调节政策以增加银行系统的稳定性。罗伯特·梅是一个认真严谨的科学家。1996年,他公开要求停止把“搞笑诺贝尔奖”(Ig Nobel)发给英国人,认为这有损科学和研究的严肃性。罗伯特·梅喜欢体育运动,特别是打兵乓球和网球。他还喜欢徒步行走——从1975年起,40年来他每年都组织同事们进行暑期步行活动。平时他自己还经常跑步,20年间跑了共约15,000公里。他甚至还是英国政府属下的体育学院(UK Sports Institute)的委员会成员。罗伯特·梅还有一种进取型科学家的特质:要玩就要赢。他夫人Judith 回忆说,Bob 在家常常和宠物狗Perri玩耍,“但每次他都要争取去赢。”回顾罗伯特·梅的一生,你会发现:有些传奇科学家就是这么传奇。集智斑图顶刊论文速递栏目上线以来,持续收录来自Nature、Science等顶刊的最新论文,追踪复杂系统、网络科学、计算社会科学等领域的前沿进展。现在正式推出订阅功能,每周通过微信服务号「集智斑图」推送论文信息。扫描下方二维码即可一键订阅:
点击“阅读原文”,追踪复杂科学顶刊论文