[提要]本文将数字贸易、产业集群与经济高质量发展纳入统一框架,对数字贸易与产业集群协调发展影响经济高质量发展的传导机制进行有调节的中介效应检验。检验结果显示:从全样本层面来看,数字贸易与产业集群协调发展对经济高质量发展影响的总效应显著为正,但是传统技术进步的中介效应不显著,绿色技术进步的中介效应显著为正。传统技术进步的中介效应不显著的主要原因是传统技术进步作用于经济高质量发展路径发生阻滞导致的。提升市场化程度对数字贸易与产业集群协调发展影响经济高质量发展具有正向调节作用,从而使得作用路径得以畅通。进一步分区域检验结果显示,在东部地区传统技术进步和绿色技术进步的中介效应显著为正,在中部和西部地区传统技术进步和绿色技术进步的中介效应都不显著。进一步对中、西部地区中介效应中阻滞的路径进行调节,结果显示市场化程度的调节效应在中部地区显著为负,在西部地区不显著。[关键词]数字贸易;产业集群;技术进步;经济高质量发展;数字经济
基金项目:国家社会科学基金重大项目“‘一带一路’区域价值链构建与中国产业转型升级研究”(18ZDA038)阶段性成果。
作者简介:梁会君,湖州学院“城乡共同富裕”研究中心特约研究员,副教授,博士,研究方向:数字贸易。
按照《中国制造2025》的总体部署和要求,中国产业集群的规模日益壮大,但是也面临诸多困境,如产业连接度不高、自主创新能力偏弱、自身的技术限制、价值链低端锁定等等,以致于推动经济高质量发展的后劲不足。因此,如何打开制造业集群升级的新思路,挖掘产业集群升级的新动力,从而有效推动经济高质量发展是当前亟待解决的热点和难点问题。数字贸易的快速发展为解决这一困境提供了现实基础,有不少地方在探索以推动跨境电商来促进产业集群升级发展等方面取得了一些成绩,形成了诸如浙江义乌小商品产业集群等全国知名产业集群。事实证明,通过“数字贸易→产业集群转型升级→经济高质量发展”确实是一个比较新的思路,但是跨境电商对产业的支撑作用仍然没有完全发挥出来。对于如何解决这个问题,浙江、江苏等地也进一步进行了思考和探索,在聚焦于“产业集群+跨境电商”的基础上,加快跨境电商全产业链和跨境电商生态圈的建设,既促进了我国电子商务的长远发展,又赋予开放型经济的新业态新动能,有力地推动了经济高质量发展。“产业集群+跨境电商”、跨境电商全产业链、数字贸易生态圈建设等新模式的出现,为我们提供了更新的研究视角。这些新模式的理论实质就是要推进数字贸易与产业集群协同发展,那么数字贸易与产业集群协同发展是否比数字贸易或产业集群单独发展更能促进经济高质量发展?如果是的话,数字贸易与产业集群协同发展究竟如何影响经济高质量发展,其内在机理是怎么样的呢?这是本文主要探讨的问题。目前有不少学者对数字贸易的内涵及特点、数字贸易的影响效应、数字贸易的规则、数字贸易发展水平的测度等方面进行了研究;[1]还有部分学者致力于分析数字技术对产业集群发展的影响,认为数字信息技术能够降低集群交易成本,促进知识溢出,进而催生虚拟集聚这一产业组织新形态;[2]梅燕和蒋雨清(2020)认为,互联网技术的广泛应用使集群要素共享与能力的协同度提高,有利于产业结构升级。[3]也有一部分研究开始关注电子商务对产业集群的影响及其联动效应,认为电子商务对传统产业集群升级有明显的正向影响。王滢和张瑞东(2017)指出,电子商务产业集聚可以促进当地传统产业集群演化。[4]曾可昕和张小蒂(2021)指出,数字商务与产业集群协同演化形成驱动中国数字经济高质量发展的不竭源泉,但是产业支撑力有待进一步提高,尚需对跨境电商的生态链建设进行完善;[5]李芳等(2019)认为,跨境电商的发展是产业集群发展的新助力,产业集群发展也为跨境电商发展提供产业支撑,两者既相互独立,又相互依存。[6]1.高质量发展的内涵界定。从社会矛盾变化的角度,认为高质量发展是更好地满足人民不断增长的真实需要的经济发展方式、结构与动力状态(金碚,2018)[7];从供需角度,认为高质量发展的内涵在供给侧和需求侧各有侧重,高质量发展在供给侧的主要目标是要推动质量变革、效率变革和动力变革;高质量发展在需求侧的主要目标是要提高经济发展质量,满足社会需求变化(国家发展改革委经济研究所课题组,2019)[8]。2.高质量发展指标体系的构建。一类是基于五大新发展理念建立综合指标(方大春等,2019)[9]。进一步在新发展理念的基础上增加了经济发展有效性、稳定性(李琳等,2019)[10];经济活力和社会和谐(李金昌等,2019)[11];可持续性(陈景华等,2020)[12]等指标。或者是对五大新发展理念进行延伸,从经济、政治、文化、社会、环境(李浩民,2019)[13]等方面进行测度。另一类是从宏中微观角度进行构建。从经济发展能力、经济发展效益的维度构建8个一级指标和27个二级指标进行测度(李强,2021)[14]。从经济成果分配、人力资本及其分布、经济效率与稳定性、自然资源与环境以及与经济发展密切相关的社会状况等几个方面进行衡量(杨耀武和张平,2021)[15]。3.高质量发展的实现路径。主要探讨产业结构、技术进步以及数字经济推动经济高质量发展的影响效应和影响机制。蔡跃洲和付一夫(2017)分析了全要素生产率的构成,认为工业全要素生产率的提高是中国经济质量提高的重要支撑;[16]王桂军等(2020)的研究结果显示,产业结构调整和技术进步能推动经济高质量发展;[17]王开科等(2020)引入投入产出模型分析得出数字技术的应用能够显著改善生产效率;[18]赵涛等(2020)的研究表明数字经济通过增加创业活跃度能够显著促进经济高质量发展;[19]杨慧梅和江璐(2021)分析得出数字经济的发展显著提升了全要素生产率,而且该提升效应中西部地区要高于东部地区;[20]李英杰等(2021)认为数字经济与实体经济的深度融合可以有效推动经济高质量发展。[21](三)数字贸易、产业集群对经济高质量发展的影响研究一方面,研究数字贸易对经济高质量发展的影响。目前的观点普遍认为数字贸易的发展能够促进经济高质量发展,影响路径主要包括:通过提高劳动报酬率,促进全要素生产率提升(郭家堂和骆品亮,2016)[22];通过引致技术创新,促使全球价值链转型升级(刘洪愧,2020)[23];通过提高研发投入来助推产业结构升级,进而促进经济高质量发展(姚战琪,2020)[24]。另一方面,研究产业集聚对经济高质量发展的影响。产业集聚与经济高质量发展的关系是比较复杂的,一种观点认为两者呈线性关系,具体又表现为正相关(Jeffery etal.,1965;[25]黄庆华等,2020[26])、负相关(Brul-hart et al.,2009;[27]赵玉林,2009;[28]吴振华,2020[29])、不相关(陈立泰等,2010)[30]。另一种观点认为两者呈非线性关系。黄宝凤等(2019)指出,高技术产业集聚对经济发展的影响存在显著的门槛效应,超出门槛值后高技术产业集聚对经济发展的正向效应大幅降低;[31]马昱等(2020)发现高技术产业集聚对经济发展数量和质量的影响均存在显著的门槛效应,越过门槛值后由抑制作用转变为促进作用。[32] 虽然目前有不少单独就数字贸易或者是产业集聚对经济高质量发展的影响开展研究,但是很少有文献就数字贸易与产业集群协同发展对经济高质量发展的影响进行深入探讨。本文的主要贡献就在于:第一,理论上,将数字贸易和产业集群、经济高质量发展纳入统一框架,主要探讨数字贸易与产业集群协调发展对经济高质量发展的影响效应和影响机制。第二,将技术进步作为中介变量,同时将其分为传统技术进步和绿色技术进步,分别考察传统技术进步和绿色技术进步的中介效应,并比较两种影响机制的差异。另外,将市场化程度作为调节变量,对作用路径的调节作用进行了分析。第三,就数字贸易与产业集群协同发展对经济高质量发展的影响进行了区域异质性分析,为制定区域差异化政策提供有效参考。(一)数字贸易与产业集聚协调发展对经济高质量发展的影响机制数字贸易的发展不断赋予产业集群新内涵、新特征和新动能,促进集群经济向数字化、智能化方向转型升级,随着两者的耦合度不断提升,成为驱动经济高质量发展的不竭源泉。1.促使创新发展。其一,数字贸易方便集群内企业利用互联网、大数据等现代化技术更便捷更有效地搜集客户需求信息,针对顾客的异质性需求对产品进行差异化和个性化设计,从而改变大批量贴牌生产的模式,进行产品创新。其二,数字贸易特别是跨境电商模式使企业的生产模式从传统的大批量订单式生产向小批量、多批次的柔性生产转变,由产业内、产品内的链式分工模式向全产业链的网络分工模式转变。其三,跨境电商通过产业集群内完善的产业链进行营销布局,也可以提高跨境电商的营销效率,促使营销模式和管理模式创新。2.促使绿色发展。当前消费者的环保意识和绿色消费的意识越来越强,数字贸易的发展使集群企业实行低碳绿色采购、实现生产方式的绿色改造升级,借助数字技术,优化物流运输方式、路线和库存,形成低碳供应、绿色仓储、绿色交付,改造了消费领域,能够提升减碳效果,有利于实现绿色发展。3.促使开放发展。数字贸易与产业集群协同发展,有助于培育世界领先的产业集群,产业集群的形成一方面能够产生较大的规模效应,从而促进外贸的发展;另一方面也能够产生技术扩散效应,促使传统产业数字化转型并提升全球价值链,有利于深度融入国际经济循环中。4.促使协调发展。产业集群的特征之一就是规模较大,在供应链中的地位相对比较固定,如何对地域内的产业集群地域限制进行突破调整成为一个难题。数字贸易可以发挥其不受地域限制的优势,对产业集群结构进行优化和重组,突破产业集群的地域限制,从而有利于区域协调发展。5.促使共享发展。数字贸易与产业集群协调发展,通过提供专业化支付平台、共建仓储物流配送体系、信息平台等一系列的共建共享服务,从而有效解决小额支付结汇程序繁琐、物流速度慢、价格高、退换货难以及信息流通不畅等问题,从而提高资源利用效率,促使共享发展。首先,数字贸易与产业集聚协同发展促进技术进步。影响技术进步的因素主要有知识产权制度、技术引进和自主研发能力等。数字贸易与产业集聚协调发展促进技术进步的主要机理是:其一,在数字贸易背景下,贸易的对象有很大部分是外国消费群体,因为这些人往往有较强的知识产权保护意识,而且很多国家都严厉打击假冒伪劣产品,这样就会激发我国国内企业提升知识产权保护意识,有利于我国形成一个良好的知识产权制度环境。其二,制造业集群通过数字贸易能够更好地触碰国际市场,有利于吸收和融合新思想、新观念,对于新技术和新知识的引进和集群内知识的外溢都有很大的推动作用。其三,数字贸易模式下要求企业从传统的大批量订单式生产向小批量、多批次的柔性生产转变,因此,需要不断加强自主品牌和专利水平建设,提高专业化生产能力,使以往那种大批量贴牌生产的模式向小批量定制转变。其次,技术进步是否能推动经济高质量发展还不确定,这主要是因为:一方面由于技术转化为生产力本来就受到各种约束,例如,面临基础研究条件限制、技术匹配不当、消化吸收能力不足等问题,那么通过技术进步促进经济高质量发展就不能有效实现。另外,由于传统技术进步可能与产业发展的匹配度不高,并不一定完全适应产业发展的需要,这样的话,传统技术进步非但不能引致生产效率的提升,还可能会导致生产的非效率。另一方面,由于绿色低碳是经济高质量发展的显著标志,经济高质量发展依赖于绿色增长率的提升,技术进步的偏向性对经济高质量发展有决定性作用。也就是说,当技术进步是一种不偏向于环境改善的传统技术进步时,那么它可能会对经济的发展带来非预期效果,导致促进经济高质量发展的作用不显著。当技术进步属于一种偏向于环境改善的绿色技术进步时,那么可以对经济的发展带来预期的效果,从而有助于推动经济高质量发展。因此,可以提出如下假设:H1:通过传统技术进步影响经济高质量发展的中介效应并不明显。H2:通过绿色技术进步影响经济高质量发展存在明显的正向中介效应。既然传统技术进步可能不会明显促进经济高质量发展,而绿色技术进步会明显促进经济高质量发展,那么就希望能找到一个重要的因素使传统技术进步能够偏向绿色技术进步,能够有效调节传统技术进步对经济高质量发展的影响。考虑到建立绿色技术创新体系不能仅仅依靠政府行政干预,而需要建立以市场为导向的创新体系,这样才有利于优化配置创新链条上的各类资源,促进经济高质量发展的有效运行。主要运行机理是:绿色技术进步是一项系统工程,既包括研究开发,也涉及市场化应用。从研究开发来看,目前的人力资本投入往往偏向传统产业,偏向绿色发展的人力资本投入明显不足,以市场为导向的绿色创新体系能够吸引更多的创新资源投入,有利于偏向绿色发展的人力资本投入,从而弥补技术和研发投入匹配不当、消化吸收能力不足、人力资本和物质资本不能有效结合等方面的不足。从市场化应用看,以市场为导向的绿色创新体系可以通过科学合理的市场进入和退出机制以及市场竞争机制,正好可以弥补政府在技术推广等方面的不足,有效调动企业选择绿色技术的积极性。因此,可以提出如下假设:H3:市场化程度可以调节传统技术进步对经济高质量发展的非期望效果。为了对假说1、2进行验证,本文构建如下中介效应回归模型:![]()
其中,c是常数项,GMI表示经济高质量发展,XT表示数字贸易与产业集群协调度, CTC表示传统技术进步,GTC表示绿色技术进步。它们是数字贸易与产业集群协调影响经济高质量发展的中介变量。∑controli,t代表控制变量,εi,t是随机误差项。α2是数字贸易与产业集群协调度影响经济高质量发展的净效应,α3是数字贸易与产业集群协调度影响经济高质量发展的总效应,α1β1代表技术进步在数字贸易与产业集群协调发展影响经济高质量发展过程中的中介效应。i代表省份,t代表时间。为了对假说3进行验证,本文使用市场化程度作为调节变量,建立如下模型:![]()
其中,MARKET表示市场化程度,CTCi,t* MARKET表示传统技术进步和市场导向的交互。XTi,t* MARKET表示数字贸易与产业集群协调度和市场导向的交互。1.被解释变量:各省经济高质量发展水平(GMI)。目前对于经济高质量发展水平的测度主要有以下几种方式:一是采用生产率指标进行衡量;二是通过建立综合性评价指标体系进行测算。衡量经济发展质量的高低主要取决于经济效率是否提高,而效率提高通常是用全要素生产率来衡量的。又因当前“双碳”目标已上升为国家战略,经济社会发展不仅要体现经济效率的提高,更要突出资源的高效利用和绿色低碳发展。所以本文不再采用传统的全要素生产率,而选取绿色全要素生产率来衡量经济高质量发展水平。本文采用考虑资源投入和非期望产出的前沿数据包络分析(DEA)超效率EBM模型来对绿色全要素生产率进行测度,测度主要涉及三类变量:一是投入变量,主要考虑劳动投入、资本投入和资源投入;二是合意产出变量;三是非合意产出变量。对于劳动力投入变量,本文放弃了数量指标,采用更为准确的各省从业人数的学历加权指数计算。关于资本投入,本文以1998年资本存量为初期,以各省每年的实际折旧来测算固定资本存量。关于资源投入,选择能源消费总量指标。合意产出,采用各省份地区生产总值来表示。非合意产出采用SO2排放量和COD排放量来进行衡量。2.核心解释变量:本文选取数字贸易与产业集群协同发展水平(XT)作为核心解释变量。这里主要采用数字贸易与产业集群的耦合协调度来衡量两者的协同发展水平。耦合协调度的计算公式为:![]()
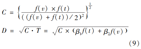
式(9)中:C为耦合度、f(t)为数字贸易发展水平,主要借鉴刘媛媛和陶长琪(2021)的做法测算各省域数字贸易发展水平。[33]f(v)为各省制造业集聚综合值,主要选用各省制造业区位熵来进行计算,考虑到可能会受到价格因素的影响,因此这里放弃了用制造业产值来计算制造业区位熵,而采用“某省制造业从业人员数占该省所有产业就业总人数的比重除以全国制造业就业人数占全国所有产业就业总人数比重”这一计算方法进行测算。D表示耦合协调度;T表示数字贸易综合值和制造业集聚综合值的综合评价得分。这里认为,数字贸易与制造业集聚在模型中同等重要,所以取β1=β2=0.5。经过计算后发现,2014-2019年全国省域数字贸易与产业集群协调度总体呈上升趋势。3.中介变量:技术进步(TC)。本文将技术进步按照是否存在偏向分为传统技术进步(CTC)和绿色技术进步(GTC)。传统技术进步(CTC)的具体测算方法是先使用不考虑非期望产出的超效率EBM模型测算出传统全要素生产率(投入要素中仅考虑常规的劳动投入和资本投入,产出中仅考虑合意产出),然后从传统全要素生产率中分解出传统技术进步和传统技术效率,最后舍去传统技术效率保留传统技术进步而得到的。绿色技术进步(GTC)也按照相似的思路得到。①这里值得一提的是,之所以选择技术进步,没有采用技术效率作为中介变量主要是考虑到数字贸易与产业集群协同发展本身有一个动态的演化过程,数字贸易与产业集群协同发展必然会对管理制度、效率提升产生一定的影响,但是这个影响的形成不是一朝一夕的,需要一定的周期,或者是存在一定的滞后性。因此,考虑到样本时间容量有限,这里没有采用技术效率作为中介变量。4.调节变量:市场化水平(MARKET)。按照通常的做法,用樊纲市场化指数来表示。樊纲市场化指数原始数据包括31个省市2008-2016年市场化指数总指数,本文借鉴已经外推到2019年的最新的市场化指数。5.控制变量:考虑到数字贸易与产业集群协调发展、跨境电商全产业链的建立、构建数字贸易生态圈、快速高效地在平台上实现交易都离不开支付体系,也离不开政府的支持,政府可以通过政策引导、平台搭建、制定法规等措施,实现数字贸易与产业集群复合系统的高效监管和协同发展。经济高质量发展也离不开对外开放水平的提升、地区经济的发展以及城镇化水平的提高。因此本文选择金融发展水平(BANK)、对外开放水平(OPEN)、地区经济发展水平(PGDP)、城镇化率(URBAN)、政府支持程度(GOV)作为控制变量。由于港澳台地区及西藏自治区的大部分数据缺失,因此没有考虑到这些地区。又因为受到新冠肺炎疫情的影响,2020年的很多指标出现了突变,容易造成检验结果失真,因此在时间上没有考虑2020年。综上,本文只以2014-2019年中国大陆30个省级单位作为研究对象。相关数据主要来自《中国区域经济统计年鉴》《中国环境统计年鉴》《中国劳动统计年鉴》《中国能源统计年鉴》《中国固定资产投资统计年鉴》《中国贸易外经统计年鉴》等。![]()
本文采用双固定效应面板模型对前文的方程(1)-方程(3)进行估计,数字贸易与产业集群协调发展影响经济高质量发展的中介效应检验的全样本基准回归结果如表2所示。列(1)的简单回归结果显示,数字贸易与产业集群协调发展能够显著促进传统技术进步。列(2)是数字贸易与产业集群协调发展对经济高质量发展的联合回归,结果显示传统技术进步的系数不显著,这说明传统技术进步影响经济高质量发展这一路径发生阻滞。列(3)显示数字贸易与产业集群协调发展对经济高质量发展的总效应显著为正,说明数字贸易与产业集群协调发展确实能够在促进经济高质量发展上发挥一定的作用。为了系统检验传统技术进步(CTC)这个中介变量的显著性,本文采用系统Bootstap法,抽样次数1000次进行估计,结果显示,传统技术进步(CTC)的中介效应不显著,中介效应不显著主要是因为传统技术进步影响经济高质量发展这一路径发生阻滞导致的。研究假说H1成立。下面用绿色技术进步作为中介变量进行中介效应检验,对前文的方程(4)-方程(6)进行估计。检验结果如下表2列(4)-(6)所示。列(4)的简单回归结果显示,数字贸易与产业集群协调发展能够显著促进绿色技术进步。列(5)显示绿色技术进步对经济高质量发展的系数显著为正。列(6)显示数字贸易与产业集群协调发展对经济高质量发展的总效应显著为正。为了系统检验绿色技术进步这个中介变量的显著性,本文采用系统Bootstap法,抽样次数1000次进行估计,结果显示绿色技术进步(GTC)的中介效应显著为正。这说明数字贸易与产业集群协调发展能够显著促进绿色技术进步,绿色技术进步能够显著促进经济高质量发展,绿色技术进步能够在数字贸易与产业集群影响经济高质量发展的过程中起到显著的正向中介作用。研究假说2成立。![]()
综合上述检验结果,数字贸易与产业集群协调发展能够显著促进传统技术进步,然而,传统技术进步对经济高质量发展的推动作用并不明显,也就是说“传统技术进步→经济高质量发展”这一路径发生了阻滞。那么,如何疏通这一阻滞的路径,使得绿色技术进步能够充分发挥中介效应呢?下面用市场化程度进行调节,检验结果如下表3所示。表3结果显示,传统技术进步与市场化程度的交互项显著为正,而且市场化程度对数字贸易与产业集群协调发展影响经济高质量发展的中介存在调节作用的判定系数Index为0.009,90%置信区间为[0.001,0.0017],不包括0,有调节的中介效应(M*W)的P值为0.030,说明市场化程度对数字贸易与产业集群协调发展影响经济高质量发展确实存在调节作用,使得传统技术进步偏向绿色技术进步,从而能够让绿色技术进步的中介效应得到有效发挥,可以疏通“传统技术进步→经济高质量发展”这一阻滞的路径。研究假说3成立。为了进一步比较数字贸易与产业集群协调发展对经济高质量发展的影响与数字贸易或产业集群单独发展对经济高质量发展的影响的差异,本文以同样的思路单独考察了数字贸易、产业集群发展影响经济高质量发展的作用机理,检验结果显示:数字贸易影响经济高质量发展的总效应不显著,传统技术进步和绿色技术进步的中介效应均不显著。产业集群对经济高质量发展的影响结果也类似。②这说明与数字贸易或产业集群发展单独影响经济高质量发展相比较,数字贸易与产业集群协调发展更能够有效促进经济高质量发展。![]()
下面进一步分区域分析数字贸易与产业集群协调发展对经济高质量发展的影响。就东部地区来说,表4中列(1)-列(3)是传统技术进步为中介变量的回归结果。列(1)显示:数字贸易与产业集群协调发展影响传统技术进步的效应显著为正;列(2)结果显示:传统技术进步能显著促进经济高质量增长;列(3)的总效应结果显示:数字贸易与产业集群协调发展的系数也显著为正,说明数字贸易与产业集群协调发展推动经济高质量发展的总效应为正。进一步利用系统Bootstap法,抽样次数1000次的中介效应估计结果显示,传统技术进步(CTC)的中介效应显著。列(4)-列(6)是绿色技术进步为中介变量的回归结果,结果显示,数字贸易与产业集群协调发展影响绿色技术进步的效应正向显著,绿色技术进步能显著促进经济高质量增长,为了系统检验绿色技术进步这个中介变量的显著性,本文采用系统Bootstap法,抽样次数1000次进行估计,结果显示绿色技术进步(GTC)的中介效应显著为正。这说明数字贸易与产业集群协调发展能够显著促进绿色技术进步,绿色技术进步能够显著促进经济高质量发展,绿色技术进步能够在数字贸易与产业集群影响经济高质量发展的过程中起到显著的中介作用。这说明东部地区的技术进步比较偏向环境改善和绿色发展,数字贸易与产业集群协调发展能够明显地通过技术进步推动经济高质量发展。![]()
就中部地区来说,表5结果显示,列(1)中数字贸易与产业集群协调发展影响传统技术进步的效应显著为正;列(2)结果显示,传统技术进步不能显著促进经济高质量增长;列(3)的总效应结果显示,数字贸易与产业集群协调发展的系数不显著。进一步利用系统Bootstap法,抽样次数1000次的中介效应估计结果显示,传统技术进步(CTC)的中介效应不显著。数字贸易与产业集群协调发展对传统技术进步这一路径的作用机制显著,技术进步对经济高质量发展的作用机制不显著,这说明技术进步的中介效应不显著主要是由于技术进步对经济高质量发展的作用路径发生阻滞导致的。列(4)-列(6)是绿色技术进步为中介变量的回归结果,为了系统检验绿色技术进步这个中介变量的显著性,本文采用系统Bootstap法,抽样次数1000次进行估计,结果显示绿色技术进步(GTC)的中介效应不显著。![]()
下面考察市场化程度在中部地区的调节作用。表6的检验结果显示,传统技术进步与市场化程度的交互项显著为负,有调节的中介效应(M*W)的p值为0.035,说明市场化程度对数字贸易与产业集群协调发展影响经济高质量发展起到负向调节作用。总体上来说,中部地区的绿色技术进步的中介效应不显著,市场化程度起到负向调节作用,这说明中部地区市场化导向目标不明,导致传统技术进步未能偏向绿色技术进步,可能反而偏向不利于绿色全要素生产率提升的部分。
![]()
![]()
就西部地区来说,根据表7的检验结果,列(1)显示,数字贸易与产业集群协调发展影响传统技术进步的效应不显著;列(2)显示,传统技术进步不能显著促进经济高质量增长;列(3)显示,数字贸易与产业集群的协调发展对经济高质量发展的总效应也不显著。进一步利用系统Bootstap法,抽样次数1000次进行估计,中介效应检验结果显示传统技术进步(CTC)的中介效应不显著。列(4)-列(6)是绿色技术进步为中介变量的回归结果,为了系统检验绿色技术进步这个中介变量的显著性,本文采用系统Bootstap法,抽样次数1000次进行估计,结果显示绿色技术进步(GTC)的中介效应不显著。
![]()
下面考察市场化程度在西部地区的调节作用。因为数字贸易与产业集群协调发展对传统技术进步的影响效应不显著,传统技术进步对于经济高质量发展的影响效应也不显著,于是对这两段同时进行调节。表8的检验结果显示,数字贸易、产业集群协调发展与市场化程度的交互项不显著,传统技术进步与市场化程度的交互项不显著,有中介的调节效应(M*W)的p值为0.264,这说明市场化程度对数字贸易与产业集群协调发展影响经济高质量发展没有能够发挥调节作用。在西部地区绿色技术进步的中介效应不显著,市场化程度无法对受阻的路径进行调节,这说明西部地区目前市场化资源配置的能力不强,市场化程度不高,传统技术进步还没有偏向环境改善,导致数字贸易与产业集群协调发展不能有效促进经济高质量发展。![]()
综合上述各层面的分析结果,可以对数字贸易与产业集群协调发展影响经济高质量发展的作用机制及检验结果总结如下表9。表9分别显示了全样本、东部、中部、西部不同层面数字贸易与产业集聚协调发展对经济高质量发展的影响机制分析结果,同时分析了传统技术进步和绿色技术进步的中介效应以及市场化程度的调节效应。
![]()
本文运用2014-2019年中国大陆30个省级单位作为研究对象,对数字贸易与产业集群协调发展影响经济高质量发展的传导机制进行了有调节的中介效应检验。全样本层面检验结果显示,数字贸易与产业集群协调对经济高质量发展的总效应显著为正,而且该效应远高于数字贸易或产业集群单独发展对经济高质量发展的推动作用。传统技术进步的中介效应不显著,绿色技术进步的中介效应显著为正。进一步使用市场化程度作为调节变量进行检验,结果证明:市场化程度在数字贸易与产业集群协调发展影响经济高质量发展的过程中具有正向调节作用,可以使传统技术进步的中介路径得以畅通。进一步分区域检验结果显示,东部地区传统技术进步和绿色技术进步的中介效应显著为正,中部和西部地区的两个中介效应都不显著。进一步用市场化程度对中部和西部阻滞的路径进行调节,在中部地区调节作用显著为负,在西部地区则不显著。根据以上结论,本文的政策启示如下:第一,大力推动数字贸易与产业集群协调发展。数字贸易或者产业集群单独发展对经济高质量发展的推动作用远没有两者协同发展对经济高质量发展的推动效应明显。因此,要按照“点—线—面—体”的演化路径,推动数字贸易与产业集群协调发展。具体可从以下几方面入手:一是改变数字贸易与产业集群的分散发展的结构形态。对产业集群整合区域的资源进行合理规划,通过合理的产业集群管理,让产业集群内企业能够紧密联系在集群核心,提升产业集群的规模,谋划建立电商产业园区、网商虚拟产业园。二是着力构建数字贸易与产业集群的要素共享平台。基于数字贸易与产业集群自身的数据共享机制和数据共享平台,数字贸易通过产业集群内完善的产业链进行营销布局,再通过产业集群产业链的节点进行信息筛选,从而进行更加精准的数据分析,使产业集群的创新能力和产品竞争力得以提升,推动多个产业集群或多条产业链聚合,形成超级集群。三是推进数字贸易生态圈建设。大力培养物流专业人才、合理打造物流管理信息系统,不断提升物流综合竞争能力,建设高标准物流体系。要加强跨境电商法律法规的制定和完善工作,进一步完善通关制度,加强港口环境建设。要从降低支付结算的手续费、提高支付结算的效率、缩短资金回转时间等角度出发,继续完善支付结算体系。要科学合理推动跨境电商产业园区的建设,在深入调研的基础上对跨境电商产业园进行分类汇总,重点支持有前景的高水平跨境电商产业园区的建设,充分发挥园区的集聚效应,引导更多中小企业在园区集聚。第二,着力提升绿色技术进步水平。数字贸易与产业集群协调发展不能通过传统技术进步但可以通过绿色技术进步推动经济高质量发展,因此不仅要重视数字贸易与产业集群协调发展,也要重视绿色技术进步。也就是说不能一味盲目地追求技术改进而忽视对环境的影响,一定要着力偏向绿色发展和环境改善,从而有效推动经济高质量发展。市场化程度的提高可以对传统技术进步影响经济高质量发展的阻滞路径产生有效的调节作用,利于传统技术进步偏向绿色发展和环境改善。因此,绿色技术进步提升的关键是要加快建立以市场导向的绿色技术发展体系。具体而言:一是坚持以创新为引领,以市场为导向,从制度上进一步完善绿色技术创新的引导机制。二是通过建立绿色技术创新协同中心、绿色技术推广中心、绿色发展综合研究中心等专业型创新平台,将各种要素资源有效集中到绿色技术创新领域。三是充分发挥“产学研金介”的主体作用,构建各主体协同发展的绿色技术创新联盟,提高绿色科技的自主创新能力;四是政府应努力构建适合绿色技术创新发展的法治、政策和融资环境,为绿色技术进步提供科学合理的保障,努力培育一批数字贸易与实体经济融合发展的龙头骨干企业。第三,对不同区域的数字贸易及技术进步进行差异化管理。(1)就东部地区来说,数字贸易和产业集聚协同和绿色技术发展水平相对较高,目前已经形成了一些行之有效的经验。因此,一是要以点带面推广经验。既要总结推广典型地区发展“产业集群+跨境电商”的成功经验,也要分析不足之处,不断优化改进措施;二是要在提升绿色技术前沿水平下功夫。要继续引导东部地区发挥市场化资源配置的优势,利用数字贸易、产业集聚领先发展的优势,重视基础研究,着力提升绿色创新发展的前沿技术水平,使传统技术进步进一步偏向环境改善和绿色发展。(2)就中部地区来说,数字贸易与产业集聚协调发展正处于上升期,但技术进步的市场导向不够明确。因此,一是要转变盲目提升技术进步水平的传统观念,优化市场配置效应,以“双碳”目标为导向,引导绿色技术的发展;二是大力培养和引进偏向绿色发展的人才;三是合理减少政府的干预,充分发挥市场竞争机制,有效调动企业选择绿色技术的积极性。(3)就西部地区来说,数字贸易、产业集聚、绿色技术的发展水平相对较低,底子比较弱。因此,一是要学习东部地区先进的发展经验,大力提升数字经济和产业集聚发展水平;二是不断提升市场化水平,以市场为导向来优化能源结构,提升资源使用效率,推动传统技术进步转向绿色发展;三是政府要制定经济高质量阶段化发展目标,不能搞“运动式”发展,要建立公平合理的考核制度。①绿色全要素生产率主要是采用Malmquist指数法测算得到的,再从绿色全要素生产率中分解出绿色技术进步和绿色生产效率。②因文章篇幅有限,这里的检验结果省略。如果有需要的可以向作者索取。[1]Molina A,Bremer C F,Eversheim W.Achieving critical mass:a global rese Arch network in systems engineering[J].Foresight,2001(1).[2]王如玉,梁琦,李广乾.虚拟集聚:新一代信息技术与实体经济深度融合的空间组织新形态[J].管理世界,2018(2).[3]梅燕,蒋雨清.乡村振兴背景下农村电商产业集聚与区域经济协同发展机制:基于产业集群生命周期理论的多案例研究[J].中国农村经济,2020(6).[4]王滢,张瑞东.县域电商促进传统产业集群升级的演进路径研究[J].科技管理研究,2017(20).[5]曾可昕,张小蒂.数字商务与产业集群外部经济协同演化:产业数字化转型的一种路径[J].科技进步与对策,2021(16).[6]李芳,杨丽华,梁含悦.我国跨境电商与产业集群协同发展的机理与路径研究[J].国际贸易问题,2019(2).[7]金碚.关于“高质量发展”的经济学研究[J].中国工业经济,2018(4).[8]发展改革委经济研究所课题组.推动经济高质量发展研究[J].宏观经济研究,2019(2).[9]方大春,马为彪.中国省际高质量发展的测度及时空特征[J].区域经济评论,2019(2).[10]李琳,曹瓅.基于投影寻踪法的湖南区域经济发展质量评价[J].湖南大学学报(社会科学版),2019(3).[11]李金昌,史龙梅,徐蔼婷.高质量发展测度指标体系探讨[J].统计研究,2019(1).[12]陈景华,陈姚,陈敏敏.中国经济高质量发展水平、区域差异及分布动态演进[J].数量经济技术经济研究,2020(12).[13]李浩民.新时代高质量发展框架再探讨:理论内涵、制度保障与实践路径[J].现代管理科学,2019(2).[14]李强.经济高质量发展评价指标体系构建与测度[J].统计与决策,2021(15).[15]杨耀武,张平.中国经济高质量发展的逻辑、测度与治理[J].经济研究,2021(1).[16]蔡跃洲,付一夫.全要素生产率增长中的技术效应与结构效应—基于中国宏观和产业数据的测算及分解[J].经济研究,2017(1).[17]王桂军,张辉,金田林.中国经济质量发展的推动力:结构调整还是技术进步[J].经济学家,2020(6).[18]王开科,吴国兵,章贵军.数字经济发展改善了生产效率吗[J].经济学家,2020(10).[19]赵涛,张智,梁上坤.数字经济、创业活跃度与高质量发展—来自中国城市的经验证据[J].管理世界,2020(10).[20]杨慧梅,江璐.数字经济、空间效应与全要素生产率[J].统计研究,2021(4).[21]李英杰,韩平.数字经济下制造业高质量发展的机理和路径[J].宏观经济管理,2021(5).[22]郭家堂,骆品亮.互联网对中国全要素生产率有促进作用吗?[J].管理世界,2016(10).[23]刘洪愧.数字贸易发展的经济效应与推进方略[J].改革,2020(3).[24]姚战琪.数字贸易、产业结构升级与出口技术复杂度——基于结构方程模型的多重中介效应[J].改革,2020(12).[25]Jeffer Y,Williamson.Regional inequality and the process of national development:a description ofthe patterns[J].Economic Development and Cultural Change,1965(4).[26]黄庆华,时培豪,胡江峰.产业集聚与经济高质量发展:长江经济带107个地级市例证[J].改革,2020(1).[27]Bruelhart M,Sbergami F.Agglomeration and Growth:Cross- Country Evidence[J].Journal of Urban Economics,2009(5).[28]赵玉林,叶翠红.中国电子及通信设备制造业集聚实证研究[J].武汉理工大学学报,2009(24).[29]吴振华.服务业、战略性新兴产业协同集聚与经济高质量增长——基于2005-2018年省际面板数据的实证分析[J].河南师范大学学报(哲学社会科学版),2020(4).[30]陈立泰,张祖妞.我国服务业空间集聚水平测度及影响因素研究[J].中国科技论坛,2010(9).[31]黄宝凤,武翰涛,曹增栋,等.高技术产业集聚对经济增长的非线性效应——基于门槛回归的经验研究[J].管理现代化,2019(3).[32]马昱,邱菀华,王昕宇.高技术产业集聚、技术创新对经济高质量发展效应研究——基于面板平滑转换回归模型[J].工业技术经济,2020(2).[33]刘媛媛,陶长琪.中国31省份数字贸易发展水平测算分析——基于RAGA投影寻踪模型[J].价格月刊,2021(4).