《柳叶刀-星球健康》(The Lancet Planetary Health)于3月11日在线发表一项急性呼吸道感染住院病例病毒性病原谱与气象因素的季节性关系研究成果,由中国科学院地理科学与资源研究所资源与环境信息系统国家重点实验室王劲峰团队与中国疾病预防与控制中心合作开展。该研究揭示了有关病毒在中国不同区域的季节性特征,发现了气象因子解释力的地理时空分异。这些发现为公共卫生干预措施、感染控制措施和被动免疫预防的时机和靶区,以及相关疫苗的时空策略提供了科学依据。识别二维码或点击文末“阅读原文”,了解更多论文内容。
作者介绍
王劲峰
研究员,博士生导师
就职于中国科学院地理科学与资源研究所/资源与环境信息系统国家重点实验室,任中国科学院大学时空统计学首席教授,中国地理学会地理模型与地理信息分析委员会主任。擅长空间分异统计理论及其在自然与医学的应用研究。
徐冰
本文第一作者,中国科学院大学中丹学院、中国科学院地理科学与资源研究所联合培养博士研究生,擅长地理时空统计分析与可视化,病毒进化,环境健康及地理建模的研究。
中国急性呼吸道感染住院病例病毒性病原谱与气象因素的季节性关系
研究背景
急性呼吸道感染(Acute Respiratory Tract Infection, ARI)一直是世界范围内常见的急性感染性疾病,也是导致婴幼儿死亡的重要因素[1]。据2016年的一项报道表明全球有238万人死于急性呼吸道感染,使其成为过去三十年来引起全球人口死亡的第五大死因,其发病率也一直居于急性传染病的首位。在中国,ARI目前是在全人群中的第六大死因,也是导致五岁以下儿童死亡的最主要原因[2,3]。引起急性呼吸道感染的病原主要包括细菌、病毒、支原体、衣原体、真菌及多种病原的合并感染、继发感染等。其中呼吸道病毒是呼吸系统感染的最主要致病原,主要包括人呼吸道合胞病毒、流感病毒、人鼻病毒、副流感病毒腺病毒、人偏肺病毒、冠状病毒、博卡病毒等[4,5]。以往的研究发现[6],不同国家的不同研究时期和地区,各种病毒的季节性有所不同。掌握不同病毒的季节性与气象因素之间的关系是成功实施预防和控制计划的关键。中国幅员辽阔,气候多样,北部和南方呈现不用的气候分区。本研究旨在分析中国南北分区模式下急性呼吸道感染住院病例的7种病原与气象因素的季节性关系。
研究方法
该研究使用了来自22个省、36个城市的81家医院自2009年1月至2013年9月的28369例急性呼吸道感染住院病例的病原谱数据。首先对各病毒的季节性情况进行了探索性分析,使用由王劲峰团队研建的地理探测器q统计对各气象因子对病毒季节性分布的解释力进行定量分析[7,8]。地理探测器是度量(空间)分异性并且探测其驱动因子的一种新的空间统计学模型,没有线性假设,具有可解释性,并且可以探测交互作用等优越性质。其表达式如下:
研究结果
1. 气象因子对病毒的影响机制
气象因素影响呼吸道病毒的机制主要包括四个方面,即病毒的存活,病毒感染宿主,在宿主中的传播和宿主的免疫反应。首先,气象因素可以改变病毒的稳定性,生存能力,生存时间,活性和毒力。大多数病毒倾向于在较低的温度和较低的相对湿度下生存更长的时间。大量的实验证明,腺病毒在较高的相对湿度下更稳定,相反,副流感病毒在较低的相对湿度下更稳定,呼吸道合胞病毒在20%或40-60%的相对湿度下较为稳定,而在30%的条件下不稳定。在相对湿度较低的情况下,流感病毒通常也更稳定。其次,在某些天气条件下病毒的感染更容易发生。例如,在寒冷天气中,温度的降低会通过减少呼吸道粘膜的分泌功能而降低人体的物理保护屏障,并通过降低血液中的红细胞沉降速率来削弱人体的免疫功能,从而导致发生感染。第三,天气条件可能以不同的方式影响呼吸道病毒的不同传播途径,例如改变人类行为,改变呼吸道液滴的大小和沉积,气流和再循环,但这些很难通过实验来进行验证。被这些病毒感染后,人体免疫系统将通过改变宿主的呼吸阻力,呼吸分泌物的产生和黏度,季节性营养缺乏等。此外,气象因素会改变宿主防御机制,例如冷却鼻腔导气管,刺激维生素D代谢,损害粘膜纤毛清除能力并吸入冷湿空气,从而降低白细胞的吞噬活性等。(图1)
图1:气象因素对呼吸道病毒的作用机制
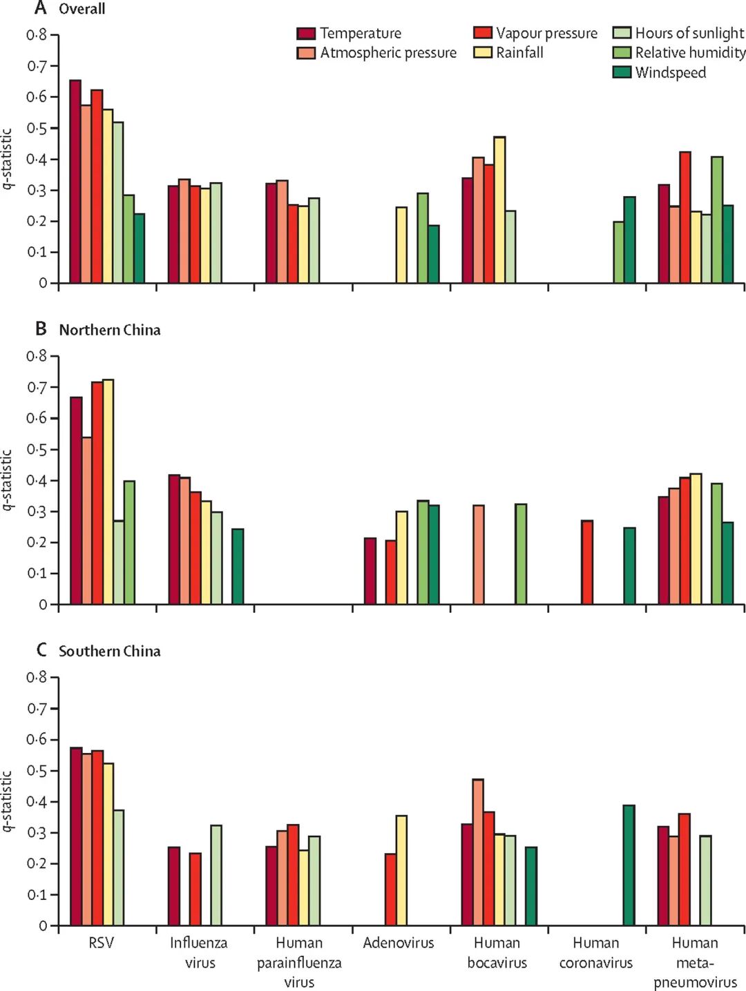
2. 中国南北地区各气象因子对不同病毒的解释力
本研究共检测了2009年1月-2013年9月的28,369例全年龄组住院病例。其中,10,387(36.6%)检测出至少存在一种病毒,分别是呼吸道合胞病毒(4091,32%),流感病毒(2665,20.8%),副流感病毒(2185,17%),腺病毒(1478,11.6%),博卡病毒(1120,8.8%),冠状病毒(637,5%)和人偏肺病毒(615,4.8%)。呼吸道合胞病毒和流感病毒在北方冬季有明显的高峰,在南方夏季和冬季各有一次高峰。副流感病毒和博卡病毒在春夏季检出率较高,人偏肺病毒在冬春交替时有较高的检出率,腺病毒和冠状病毒没有明显的季节性。(81家哨点医院的监测情况详见原文图2)
本研究结果表明,温度,蒸汽压,气压,降雨和日照时长是大多数病毒的主要影响因素,相对湿度对北方的某些病毒有很强的解释力,但在南方却没有显著的解释力。呼吸道合胞病毒通过大颗粒气溶胶传播或通过人类分泌物的直接或间接接触传播。在冬季,低温和湿冷空气会促进呼吸道病毒的生存和传播。流感病毒主要通过空气传播,可能受到绝对湿度的影响,绝对湿度通过温度和气压来表示,从而影响其稳定性和呼吸液滴的大小。太阳辐射是大多数病毒的有效杀菌剂,日照时间长短与流感病毒存活率成反比。在北方,副流感病毒对气象因素的依赖性较小,在南方,除了相对湿度和风速外,其他气候因素对其有影响。降雨与腺病毒呈正相关。冠状病毒与风速有很大的关系。首先,强风可以通过增加气流来加速冠状病毒的传播。其次,强风会使体表温度降低,这将导致呼吸道粘膜的血管收缩和免疫反应受到抑制,从而增加了对感染的易感性。
本研究还提供了气象因素对北方和南方地区不同性别和不同年龄组的ALRI病毒的解释力。气候因素对这些病毒的影响差异很大。这可能是由于不同年龄段对气候变化的反应不同。儿童更容易受到感染,对气象因素更敏感,气象因素对老年人群中病毒的影响不是很显著。(图2)
图2:中国南北分区各病毒检出率与气象因素的q统计结果
3. 两独立的气象因子间的交互作用显著增强
此外,本研究也探讨了气象因子的交互作用影响力。呼吸道病毒的季节性流行可能是多种环境参数综合作用的结果,而不是任何单一因素的作用。通常,不同地区不同病毒的优势交互作用因子是不同的。这是因为呼吸道病毒不仅在病毒体结构和基因组成上而且在人类之间传播的方式上都表现出极大的多样性。在大多数病毒中,在北方,相对湿度是与其他气象因子相互作用之后最主要的影响因子。在南部,风速虽然没有很强的作用,但在交互影响下中发挥了重要的作用。(图3)
图3:中国南北分区各气象因素对总病毒检出率的交互作用
研究结论
本研究首先分析了中国南北方各病毒的季节特征,继而从气象因子对病毒响应机制的角度出发,系统定量地描述了不同气象变量对中国南北地区各种呼吸道病毒的不同解释力,并且定量的分析了不同年龄组不同性别下,气象因子对病毒的解释力。这些发现可能有助于指导政府规划,例如公共卫生干预措施、良好的卫生习惯、感染控制措施和被动免疫预防的时机,并促进未来疫苗战略的发展。END
推荐阅读
点击阅读原文,查看论文原文