文末有互动惊喜哦~
先给宝们开个奖哈~
kuangchikuangchikuangchi~酱酱开着成分扒皮专列赶来啦~
老规矩,我们先来玩一个猜谜游戏,一起猜猜今日份成分扒皮专列的主角是谁。
点击猜谜
▼
点击查看谜底
▼
没戳,就是火了好久好久好久的蓝铜胜肽!像酱酱这种未雨绸缪早早就准备抗老的、皮肤还有点容易出小问题的、喜欢精简护肤的,自然早早就投入它的怀抱啦~
想必大家都迫不及待啦,别着急,成分扒皮专列现在就出发,今天的站点是蓝铜胜肽!
作为抗老界的佼佼者,蓝铜胜肽可不是从石头缝里蹦出来的,而是经历了漫长的研发历程。
1968年,美国科学家Pickart和Pilgeram在人的血浆蛋白中发现了一种神奇的物质,居然能让老年人的肝脏组织恢复至年轻时相似的合成蛋白能力。这个发现真的是平地惊雷一般的存在,于是,善于寻根究底的Pickart决定继续研究。
1973年,在此前的活性物质基础上,他成功分离出这个特殊的三肽物质GHK-Gu,即我们现在认知中的蓝铜胜肽。蓝铜胜肽诞生之后,围绕着它的研究依旧在快马加鞭地推进。接下来的几十年里,陆续解锁了它的抗老、修护强韧、抗氧化、均匀肤色等功能。
1999年,专研蓝铜胜肽的ProCyte公司正式成立NEOVA品牌,开始将蓝铜胜肽运用到护肤品领域。
而在国内,基于蓝铜胜肽对提取、制备技术的要求,原料价格昂贵,所以刚开始很少能在国货护肤品中看到它。直到近些年,国货品牌崛起,研发实力步入正轨,蓝铜胜肽才正式翻红,成为无数商家、消费者争相追捧的新兴成分。
蓝铜胜肽这个词,呈现在成分表上的名字叫“三肽-1铜”,一下子就点出了它的成分构造。它是由三肽-1+铜离子复合而成的,集合了两者的优势点。
铜离子自带“蓝精灵”属性,所以蓝铜胜肽呈现的颜色往往是蓝色的,也很好地点出它名字里“蓝”的由来。
铜离子参与了人体皮肤的“维修工程”,因而可以很好地修护皮肤。但它有点“天然呆”,既不能及时对皮肤受损做出反应,移动速度也可以和羊村村长拼上一拼,让它单枪匹马出征显然不太明智。
这时就得看咱们的三肽-1啦,作为信号肽和承载肽,它能快速get肌肤受损点的位置,然后载着铜离子赶到现场,第一时间安抚肌肤。并且,三肽-1自身还有着促进皮肤基质合成的作用,和铜离子的“蓝铜胜肽组合”可谓是一整个共赢的大动作~
蓝铜胜肽究竟能对我们的皮肤做出什么具体的贡献呢?让我们一起翻看Pickart博士于2018年发表在《国际分子科学杂志》上的这篇文章,寻找答案~
图源《国际分子科学杂志》,下同
在这篇文章开头,Pickart博士就点出了蓝铜胜肽的各种技能,可谓是非常多才多艺的一个成分了。
翻译过来之后,可以把蓝铜胜肽的技能总结成以下几点。
咱们肌肤之所以会外露一些老化特征,如垮脸、皱纹等,是因为内里的胶原蛋白和弹力蛋白卸了力,脸子就像被抽掉弹簧的床垫一般日益干瘪。
针对这种情况,蓝铜胜肽会化为“弹簧加工厂”,刺激胶原蛋白与弹力蛋白合成,从而紧实肌肤、减少细纹。
因为铜离子的存在,蓝铜胜肽的修护功力也不可小觑。它还能够增加皮肤细胞间黏质产生,让皮肤细胞抱团在一起,减少外界对皮肤的损害。
蓝铜胜肽还能刺激葡萄糖聚胺形成,作为皮肤屏障墙的重要组成部分,葡萄糖聚胺的增多相当于加厚肌肤屏障墙,让它支楞起来,肌肤愈发强韧。
蓝铜胜肽还具备着不错的抗氧化能力,主要负责辅助抗氧化酵素SOD的日常工作,增强肌肤的抗自由基能力。
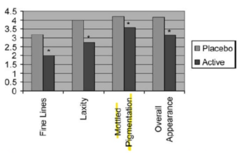
经过一组长达12周的人体实验,67名光老化志愿者参与对照实验,结果证明蓝铜胜肽可以降低光损伤以及色素沉着,使肤色更加均匀。
图源《Copper Poptide And Skin》
关于这点还曾经引起一阵热烈的讨论,矛盾来源于国内一篇硕士论文中对动物实验数据的阐释,认为蓝铜胜肽会激活蘑菇酪氨酸酶,从而使皮肤返黑。
图源
《GHK-Cu调节黑素细胞黑素合成的作用及其机制研究》
但动物实验数据是否能验证到人体上还是需要斟酌的议题,且实验数据是否排除皮肤炎症等影响也没有正面回答,所以结论参考性见仁见智。如果有宝贝觉得使用蓝铜胜肽后皮肤返黑,可以先考虑一下是否有肌肤炎症或其它潜在刺激物影响哦~
这样一个兼备抗老、修护强韧、抗氧化、均匀肤色的优秀成分,可以想到大家对它的追捧有多合理了吧?那么,这么厉害的成分,那我就可劲用,浓度给它往高了加,对我们的脸肯定很好吧!
然而答案是否定的。蓝铜胜肽其实是一个蛮“佛系”的成分,属性平和稳定,护肤品中的添加量一般在0.04%-0.2%的范围,就能达到很不错的效果啦~一旦盲目追求高浓度,反而会引起成分反噬,产生一定的细胞毒性哦!
当然,蓝铜胜肽也不是“十全十美”的存在,它也有着一些需要“避短”的缺点。
前文中就说过,蓝铜胜肽的提取和制备技术难度大,所以原料很是昂贵,国内1公斤的价格大概是10万软妹币,1克就要1张红爷爷!这对大多数国货来说,实在是黄金级别的贵重了。
要是只是贵,那咬咬牙还能用一用,但蓝铜胜肽偏偏还具有亲水性,在皮肤上的渗透率很难做到优秀,给配方设计设置了一定的门槛。
最难搞的是,蓝铜胜肽还和很多成分不搭,譬如酸类成分,和蓝铜胜肽一碰面,双双失效,再比如说A醇,和蓝铜胜肽搭在一起可能会促生更多黑色素。此外还有烟酰胺、EDTA二钠等螯合剂、VC、聚谷氨酸钠or卡波姆等增稠剂、辛酰羟肟酸等聚合物......乍一看,凭一己之力灭掉成分界的半壁江山,对成分配方师的挑战也太大了吧!
虽然蓝铜胜肽的原料昂贵、产品研发难度大,但也顶不住咱国货勇往直前的步伐呀~近些年来,国货品牌纷纷推出自己的蓝铜胜肽产品,不仅为自己的品牌实力争了一口气,还让咱消费者享受了一波福利。具体怎么选,一起来看看酱酱的自用清单吧~
01
瑷尔博士凝时小蓝针次抛精华
瑷尔博士凝时小蓝针次抛精华主要针对的是抗初老人群,为多种肌肤初老问题提供解决方案。
图源微博@FREAKJK
精纯蓝铜胜肽能够加速胶原蛋白+弹力纤维生长,对抗肌肤老化;复配臻选修护肽从旁辅助,强韧纤维弹力网,让垮脸从此撒悠啦啦;专利(专利号:ZL201510150815.2)荷叶黄酮负责均匀肤色,让因初老而暗淡无光的脸子重见天日。三者合力构筑起肌肤初老化包围圈,让肌肤老化退,退,退!
图源小红书897188174
因为是B.F.S一体化包装,能最大程度保证成分的鲜活性。清爽的水活精华质地,上脸不厚重,超好吸收哒!
02
优时颜焕活修护精华液
优时颜小蓝弹舒缓精华则充分挖掘了蓝铜胜肽的修护功力,追求舒缓发红、修护强韧的目标。
图源见水印
高纯度蓝铜胜肽对外修护、加固肌肤,对内稳定、强韧深层肌肤,内守外攻,让肌肤一整个稳固住。四大“舒缓天王”羟基积雪草甙、海藻提取物、番红花提取物、马齿苋提取物从旁协助,让肌肤从敏感不适的状态中脱离,解放身心~
图源小红书2672035286
质地是清透的水状精华,流动性肉眼可见的丝滑。上脸清爽好吸收,油皮夏天用也可~
03
菜鸟和配方师蓝铜胜肽祛痘凝胶
菜鸟和配方师另辟蹊径,把蓝铜胜肽运用到祛痘领域,主打无酸祛痘的命题,搭配姜黄根提取物,得到意想不到的“战痘力”。
图源小红书538173449,下同
蓝铜胜肽主要负责修护强化脆弱基底,平滑肌肤,同时稳住肌肤屏障,修护肌肤。相当于在皮肤上铺了层软垫,让后续成分“润物细无声”般起效。在蓝铜胜肽的基础上,姜黄根提取物开始发挥“战痘力”,把痘痘打得措手不及。最后,由羟基积雪草甙和二氢燕麦生物碱打扫战场,修护、加固肌肤屏障墙。
菜鸟和配方师蓝铜胜肽祛痘凝胶的包装设计,就像一颗颗胶囊。打开一粒就可以看到透明水状质地,搭配赠送的小挖勺点涂到痘痘处,温和不刺激~
04
玉泽臻安润泽修护蓝铜胜肽精华液
玉泽臻安润泽修护蓝铜胜肽精华液主要为敏感肌服务,修护、补水、维稳一把抓,让敏感肌享受肌肤蜕变。
图源小红书429167221
高纯度蓝铜胜肽是个“多面手”,一边促进肌肤自我修护,一边有效舒缓发红敏感,一边增强皮肤弹性、紧实肌肤。复合玻尿酸负责保湿工作,并打开肌肤吸收快车道,让其它成分可以快速到达基底。最后是P-FOS益生元生物科技,进一步巩固“前辈们”的劳动成果,让肌肤状态更上一层楼。
图源小红书poissonvolant
专利双舱锁鲜技术,让蓝铜胜肽更鲜活,更好地发挥功力。按压出来可以看到是淡蓝色的凝露质地,滋润力十足,多按摩几次就会被肌肤吸收,干皮油皮都很爱!
kuangchikuangchikuangchi~今日份的成分扒皮专列眼瞅着就到站啦,请大家有序下车。最后附上总结图,期待下次见面哦~
(本文未标注图源图片中,品牌图均来自官方,
其余图片均归属本账号,制作于Canva,
转载须注明来源)
2022.6.29
互动话题and互动奖品
用过什么蓝铜胜肽的护肤品吗?
还想看啥成分的科普?
玉泽臻安润泽修护蓝铜胜肽精华液
未读消息
#01
#02