1.本实验中采用的LFP电池的信息如下表所示:
表1:电池信息
2.测试设备和流程:原位膨胀测试仪(IEST-SWE2100)和充放电设备(CT-8002-5V100A-NTFA)。如下图所示:
图1.膨胀力测试设备
图2.电池测试流程
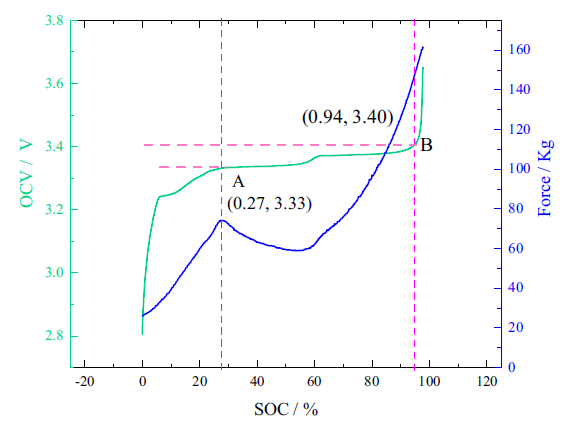
图3为1/25C倍率条件下得到的电压曲线和膨胀力变化曲线,从图中可明显看到电压曲线在27%~94%SOC存在一个电压平台,此时电压变化仅0.07V,然而在此区间的膨胀力变化却非常明显,这个阶段的膨胀力变化主要是由于负极石墨从LiC12到LiC6的相变引起的,说明采用膨胀力预估SOC是很有前景的,但是又看到此区间内的膨胀力变化是非单调性的,因此它也会为预估的准确性带来挑战。
图3. 准静态条件下的电压和膨胀力随SOC的变化图
为了验证SOC预估模型,开展了在两个动态工况(NEDC和DST)下,施加不同预紧力(15kg和30kg)和不同测试温度(25℃和45℃)的膨胀力实验。如图4,结果显示,在20%~90%SOC依旧存在明显的电压平台,且膨胀力的变化趋势与恒定电流充电模式下类似,说明膨胀力对电流的动态变化并不敏感,而对SOC的变化很敏感,这主要是是因为电压依赖电极表面离子浓度的变化,而膨胀力是受电极体相离子浓度的变化。另外,电池的膨胀力会显著随预紧力的增加而增加,因此在电池模组设计中要重点关注预紧力的大小。
图4.NEDC和DST循环工况下的膨胀力和电流电压曲线图
接下来,作者建立了LSSVM模型,并对其不断训练优化,结合AUKF进行SOC预估,可实现对不同温度、不同电流动态工况、不同预紧力的SOC预估。
图5.基于AUKF和LSSVM预估SOC的流程图
本文作者介绍了一种新型的利用膨胀力估计LFP电池的SOC的方法,基于LSSVM和AUKF算法,可实现估计误差小于1%,并适用于不同的温度、动态电流和预紧力的工况条件。未来该方法有望拓展到其他电池体系,也可进一步对不同SOH和低温条件下的电池建立SOC预估模型。
SWE系列原位膨胀分析系统(IEST元能科技):利用高度稳定且可靠的自动化平台,搭载高精测厚传感器,实现对电芯整个充放电过程的厚度变化量和变化速率的测量, 可实现如下功能:
1.恒压力条件测试电池膨胀厚度曲线;
2.恒间隙条件下测试电池膨胀力曲线;
3.电池压缩性能测试:应力应变曲线-压缩模量;
4.电池膨胀力分步测试;
5.不同温度控制:-20~80℃。
A syncretic state-of-charge estimator for LiFePO4 batteries leveraging expansion force. Journal of Energy Storage, 50 (2022) 104559.
关注【元能科技】微信公众号,获取更多应用案例。