《佛教靈驗記研究——以晉唐為中心》
作者:劉亞丁
出版發行:巴蜀書社
出版時間:2006年6月
作 者 简 介
劉亞丁,男,1959年生。漢語言文學專業學士(四川大學)、俄羅斯語言文學專業碩士(吉林大學)、中國古典文獻學專業博士(四川大學),莫斯科國立大學(兩次)、俄羅斯國立師範大學、斯塔夫羅波爾師範學院訪問學者。教授,比較文學與世界文學專業博士生導師。教育部新世紀優秀人才、四川省學術與技術帶頭人、四川大學教學名師。兼任中國外國文學學會理事、俄羅斯文學研究會副會長、中國高等教育學會外國文學專業委員會常務理事、中國俄羅斯東歐中亞學會常務理事、北外王佐良外國文學高等研究院客座研究員。參與建立教育部國際司批准設立的四川大學當代俄羅斯研究中心,任學術委員會主席。參與建立四川大學—俄羅斯科學院遠東所中俄文化研究中心,參與設立“中國和俄羅斯:文化對話”雙邊論壇。作為首席專家主持國家社科基金重大專案“俄羅斯《中國精神文化大典》中文翻譯工程”。共同主持“絲路書香”重點翻譯工程項目,已在俄羅斯出版《< 春秋>俄中對照》。完成國家社科基金項目多項、教育部項目多項。獨著《十九世紀俄國文學史綱》《蘇聯文學沉思錄》《頓河激流——解讀肖洛霍夫》《佛教靈驗記研究——以晉唐為中心》《俄羅斯文學(1760—2010)感悟錄》《龍影朦朧——中國文化在俄羅斯》。主編《肖洛霍夫學術史研究》《肖洛霍夫研究文集》《外國戲劇鑒賞辭典》(近代卷)。合譯《肖洛霍夫的秘密生平》。在中國和俄羅斯發表學術論文,被中俄學術期刊引用轉載。俄羅斯《肖洛霍夫百科全書》稱劉亞丁為魯迅等開創的“中國肖洛霍夫學的才華卓越的繼承人”。接受《Китай》《Литературая Россия》專訪。
目 錄
引言
一、靈驗記的定義
二、靈驗記的出處
三、靈驗記的研究
四、本書的方法與結構
上篇 分 論
第一章 舍利
一、舍利崇拜的緣由
二、舍利崇拜與佛教的傳播
三、舍利崇拜與文化誤讀
四、舍利崇拜與療病
第二章 佛像
一、金像與佛教東來
二、佛像與個人皈依
三、佛像之靈異
四、佛像與祈雨
五、關於佛像的兩點討論
第三章 地獄
一、地獄觀念的傳入與入冥靈驗記的出處
二、冥王的賞罰
三、敦煌本入冥靈驗記
四、滅佛與冥罰
五、對地獄意義探討
第四章 淨土
一、淨土類靈驗記的出處
二、“跏趺面西”與“稱念彌陀”
三、燒身
四、飼虎
六、模仿經文
七、淨土與光
第五章 天花
一、“天花”及最初的解說
二、中國僧人的幻想
三、天花亂墜神話的演變
四、建構與解構
第六章 《觀世音經》 類靈驗記
一、何謂《觀世音經》
二、形象化的《普門品》
三、對觀世音崇拜的思考
第七章 《法華經》 類靈驗記
一、“惟舌不朽”
二、“感生蓮花”
三、“天雨寶花”
四、含靈呈祥
五、入冥滅罪
六、誦經生天
第八章 《金剛經》類靈驗記
一、《金剛經》傳播的情況
二、概說諸種《金剛經》靈驗記
三、《金剛經》類靈驗記分析
四、與《觀世音經》類靈驗記的比較
下篇 綜論
第一章 道術:佛教進入中土的策略
一、進身之階 弘法之器
二、禳災滅禍
三、祛病回生
四、佛道鬥法
五、餘論
第二章 靈驗記與文學
一、對靈驗記文學價值的研究
二、“言不飾文”、“詞質而俚”的簡樸文風
三、豐富複雜的敘述層次
四、靈驗記的直接“再現”
五、因果報應母題與後來之文學
六、入冥靈驗記與遊魂母题
七、横無際涯的心靈暢遊
第三章 靈驗記與歷史
一、殘酷的現實
二、佛藏與史乘的互證
三、浴佛風俗及其意義.
四、寒食:文化的融合
第四章 靈驗記與宗教
一、傳播佛教之方便
二、靈驗記產生的神靈崇拜語境
三、禪宗對靈驗記崇奉對象的懷疑
結語
一、從原創到模仿
二、從震蕩到同化
参考書目
跋
引 言
作爲佛教的輔教之書,靈驗記多如恒河沙数,吸引了許多善男信女去供佛誦經,刺血寫卷,捐資鑄佛,回向皈依。在引言部分,我們要解決的問題是,明確靈驗記的定義、研究靈驗記的材料出自哪些文獻、前賢時彥對靈驗記有何研究以及本書的研究方法。
一、靈驗記的定義
“靈驗”有神奇效應之意。“靈”字本身的意義十分豐富。靈者,比較古老的意思是指巫師。《說文·玉部》:“靈,巫也,以玉事神。”《楚辭·九歌·東皇太一》:“靈偃蹇兮姣服,芳菲菲兮滿堂。”王逸注:“靈,謂巫也。”靈,亦指神靈。《詩·商頌·殷武》:“赫赫厥聲,濯濯厥靈。”孔穎達疏:“其見尊敬如神靈也。”“靈驗”作為一個詞合用,則表達神奇效應之意。《水經注》卷三十三:“峽中有瞿塘、黃龕二灘。瞿塘灘上有神廟,尤至靈驗。”唐劉知幾《史通》卷八:“此則事關軍國,理涉興亡,有而書之以彰靈驗可也。”靈驗是一種宗教心理現象,因此在佛道兩教的典籍中常常會遇到“靈驗”二字,梁僧祐《出三藏記集》卷十三安世高傳:“此廟舊有靈驗。”這與《水經注》一樣是指淫祀中的神靈感應。同書同卷康僧會傳曰:“權……即召會詰問,有何靈驗。”《冥祥記》劉齡傳:“亦有畏懼靈驗。”《法苑珠林》卷八:“故簡靈驗,各題篇末。”卷七十四“懺悔部”:“夫咒是三世諸佛所說,若能至心受持,無不靈驗。”道教名著《雲笈七籤》卷第一零七:“又擇郊禪日,靈驗昭著。”可見靈驗是指因信仰神靈而導致的某種效驗現象,一種超自然力量成就的奇迹。
對佛教而言,感應現象往往是與三寶相關的。三寶,指爲佛教徒所尊敬供養之佛寶、法寶、僧寶這三寶,又作三尊。佛,乃指覺悟人生之真相,而能教導他人之佛教教主,或泛指一切諸佛;法,為根據佛陀所悟而向人宣說之教法;僧,指修學教法之佛弟子集團。信佛教者認爲,以上三者,威德至高無上,永不變移,如世間之寶,故稱三寶。宋非濁《三寶感應要略》序云:“靈像感應以為佛寶,尊經感應以為法寶,菩薩感應以為僧寶。”在信佛教的人看來,禮敬或輕慢三寶都會招致某種感應,由此產生了大量的靈驗故事,記錄這些故事的文字就是靈驗記。如唐道宣的《集神州三寶感通錄》三卷。道宣有感於“三寶利現,其來久矣,但以信毁相競,故有感應之緣。自漢泊(“洎”之誤植——引者注)唐年餘六百,靈相盻向,群錄可尋。而神化無方,待機而扣。光瑞出沒,開信於一時。景象垂容,陳迹於萬代。或見於既往,或顯於將來,昭彰於道俗,生信於未來”,故撰《集神州三寶感通錄》。卷上以阿育王造八萬四千塔傳說開篇,備述神州各處浮屠、舍利勝迹,其中多有靈驗故事,如釋慧達(劉薩荷)尋古塔不得,苦覓之,始而地下有鐘磬聲,即而寶塔舍利從地踴出。卷中述及“佛像靈祥”,其中“南吳建鄴金像從地出緣”等頗有情節性,可視為神話化的歷史。卷下云:“神僧聖寺,陳祥山海之間,香氣鐘聲,相顯幽明之際……故撮略所聞紀之云爾。”該卷先明聖寺,有東海蓬萊山聖寺等,次明靈教:舉曇無竭、道安和益州空經等,後列神僧,又稱“神僧感通錄”,有安世高、朱士行和佛調等略傳。從《集神州三寶感通錄》的三卷可以看出,凡是與佛有關的一切,如舍利、塔、寺等都可算作佛寶。該書的各種靈驗記引自《宣驗記》、《幽明錄》、《冥祥記》(一作《冥祥傳》、《僧史》、《三寶傳》、裴子野《高僧傳》、《名僧傳》、《續高僧傳》、《徵應傳》、《搜神錄》、《旌異記》、《冥報記》、《內典博要》、《法寶聯璧》和《述異志》等書。
另外,由於佛教宣揚因果報應、生死輪迴,由此也產生了一些靈驗故事,這是靈驗記的又一種類型。如北齊顏之推的《冤魂志》。《冤魂志》,又作《還魂志》、《北齊還冤志》、《還魂記》。《隋書·經籍志》著錄三卷,今通行本一卷,三十五篇。又《法苑珠林》徵引《冤魂志》四十一條,《太平廣記》徵引《還冤志》四十六條,多異於今本,可知亡佚甚夥。顏之推尊崇釋教,篤信因果,鼓吹報應,因而引經史以證報應,搜羅各種冤報故事,集為《冤魂志》。唐鍾輅《前定錄》、《續前定錄》等皆屬此類。
就我們眼界所及,最早以“靈驗記”來稱呼作品的有兩種書,唐段成式的《酉陽雜俎》續集卷七《金剛經鳩異》提到《金剛經靈驗記》三卷,已佚。敦煌寫卷P.2094《持誦金剛經靈驗功德記》一卷,附在《金剛般若波羅蜜多經》後面,凡則靈驗故事十八則。《功德記》跋云:“於唐天復八載,歲在戊辰四月九日,布衣翟奉達寫。”天復僅四年,當為天保四年。或以馬此書係中唐作品。
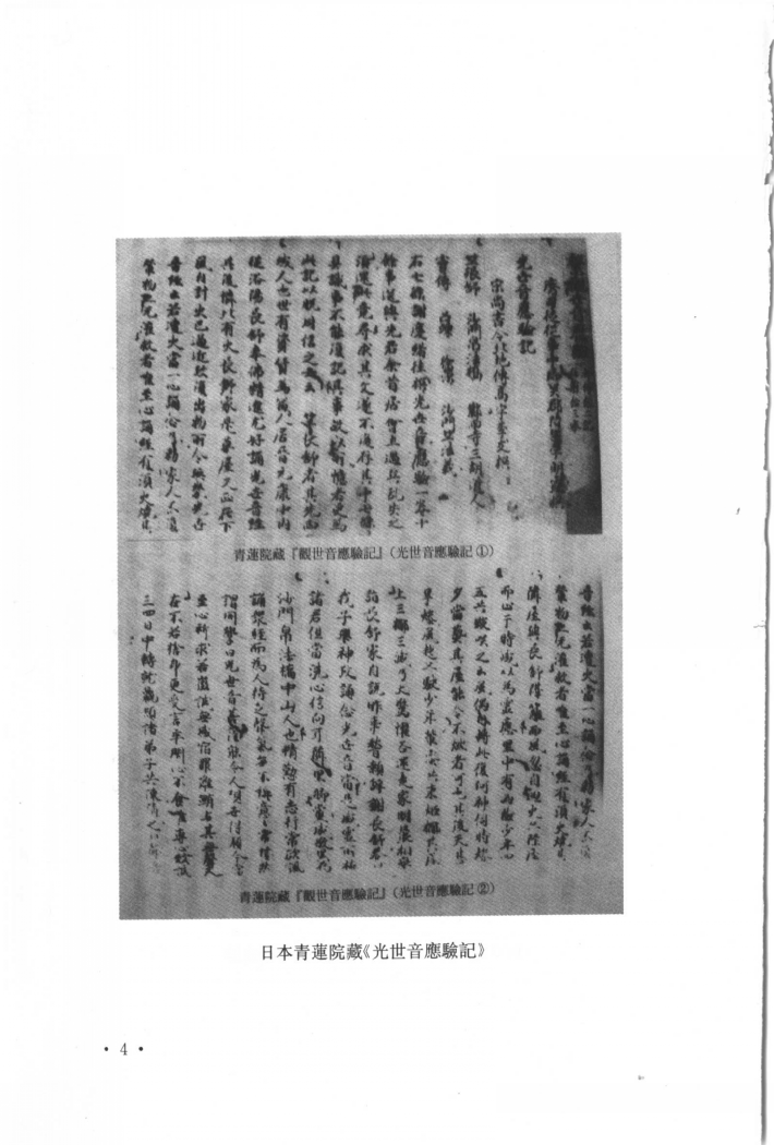
同時靈驗又有感應、瑞應、應驗之類的近義詞。感應,又作應感,其意為衆生有善根感動之機緣,佛應之而來,稱為感應。《正法華經》卷一:“無数佛界,廣說經法,世尊所為,感應如此。”《大日經疏》卷一:“妙感妙應,皆不出阿字門。”《藝文類聚》卷七七《并州寺碑》曰:“夫至道密微,無迹可睹,神功感應,有理斯存。”因此,靈驗記又可稱為“感應傳”、“靈應錄”、“感通錄”等。劉宋王延秀的《感應傳》、隋王劭的《舍利感應記》、佚名的《金剛經感應傳》,又有劉宋傅亮《光世音應驗記》、唐道宣《集神州三寶感通錄》、黑水城本《華嚴經感通靈應傳記》等書,皆類此。
二、靈驗記的出處
大量的靈驗記並不是以現存的書的形式存在的,它們散見於各種佛教典籍和文人筆記之中。我們在浩如瀚海的古代典籍中,尤其是佛教文獻中,廣泛搜求,鈎稽爬梳,可發掘出大量的靈驗記文字。本書研究的對象主要是從晉至五代的文獻,個别書或許成書於此後。
靈驗記常見於以下幾種典籍:
(一)某種佛經在流傳的過程中會產生一系列相應的靈驗故事。逮及南北朝隋唐五代,此類故事已陸續搜羅成書。首先搜集此類故事的並非僧侶,而是士大夫。劉宋尚書令傅亮撰《光世音應驗記》一卷,劉宋太子中書舍人張演撰《續光世音應驗記》一卷,齊光祿大夫陸杲撰《繫觀世音應驗記》一卷。所錄之事皆稱念觀音之靈驗,或救難於水火,或顯靈於危急。三種書在我國已亡佚,1943 年在日本發現,孫昌武1994年在國內點校刊布。唐太常少卿段成式撰《金剛經鳩異》一卷,是為《酉陽雜俎》續集卷七。
至於釋子搜集、撰寫關於某佛經的靈驗記則更多。唐惠詳撰《弘赞法華傳》十卷,另有唐僧詳的《法華傳記》十卷,唐法藏的《華嚴經傳記》五卷,唐惠英的《大方廣華嚴經感應傳》一卷。這些經傳仿《高僧傳》體例,有譯經、義解、持誦、遺身等科。感應故事多見於持誦、遺身科。
從敦煌寫卷可以看出,有的靈驗記直接附在所抄的經文前後。一方面佛經給了靈驗記主題,另一方面靈驗記反過來又可以增加善男信女對佛經的崇信。如S.364、S.1963、S. 2981、S.3257、S. 4155、S. 4984、S. 6514、P. 2099、P. 2203、北1360、北1363等《懺悔滅罪〈金光明經〉傳》的後面都有抄寫的《金光明經》,一般是從卷一序品第一抄至空品第五。針對此情况,陳寅恪先生認爲:“是佛經之首冠以感應冥報傳記,實爲西北昔年一時風尚。”P. 2049寫卷全長838.1 公分,依次抄錄有《持誦金剛經靈驗功德記》、《開元皇帝贊金剛經功德》、《奉請八大金剛文》、《大身真言》、《隨心真言》、《心中心真言》、《金剛般若波羅蜜經》等。在俄藏黑水城出土的寫卷中也有類似的情况,俄TK72號卷子前面是《大方廣佛華嚴經入不思議解脫境界普賢行願品》,與之相連是《 華嚴經感通靈應傳記》,在《誦一偈破鐵城之極苦》、《金光孕於口中》、《紅蓮生於舌表》等题目下,收錄關於《華嚴經》的簡短靈驗記。從孟列夫的《黑水哈拉浩特漢文文獻敘錄》看,該卷子是寫於大夏天盛十三年,即公元1161年的作品。卷子是雕版印刷的,所以可以看出將靈驗記附著於相應佛經是宋時較普遍的佛經流通形式。
(二)在佛子釋徒的著作中,有大量史傳類作品,高僧大德的傳記中“聖迹叠興,賢能異托”,靈驗類故事俯拾即是,不勝枚舉。梁慧皎《高僧傳》十四卷、梁寶唱《比丘尼傳》四卷、唐道宣《續高僧傳》三十卷、宋贊甯《宋高僧傳》三十卷等,在“神異”、“亡身”和“誦經”等科中於叙述高僧的生平事迹之中穿插了靈驗故事,感慨因持誦佛經而“寶德內充,故使徵應外啓”。
《往生西方淨土瑞應傳》,一卷,凡四十八人,慧遠、曇鸞等有傳。次有《往生淨土傳》,三卷,宋戒珠撰寫。多敘修煉淨土宗者的證果,往往會有臨沒之時往生西方佛國的故事。
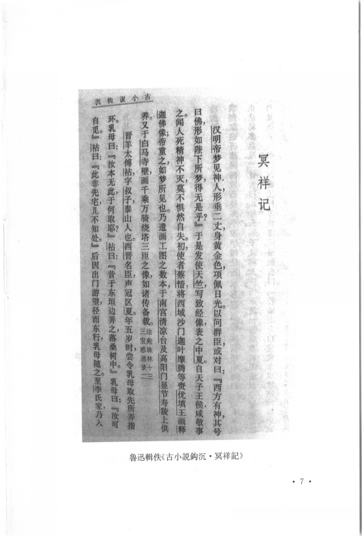
(三)碩儒高士亦留意民間廣泛流行的各種靈驗記,爲搜羅記錄,編定成冊。南朝王琰因兩感金像的靈異而撰《冥祥記》,《隋書·經籍志》著錄十卷,已亡佚,魯迅於《古小說鈎沉》輯一百三十一條。劉宋臨川王劉義慶《幽明錄》、《宣驗記》 十三卷,顏之推《冤魂志》三卷,錄釋家報應之驗,寶際儒釋雜糅。侯白《旌異記》十五卷,從魯迅所輯的內容來看,多半屬靈驗故事。唐初唐臨說自己效法傅亮等人先例,搜羅各種感應故事,撰《冥報記》三卷,篇末有“為臨說之”、“自向臨說之”等語,藉以佐證其非道聽途說。它們與以禮敬某種特定的佛經的靈驗記不同,内容十分廣泛。
另外,一些文人筆記中也間或有靈驗記,如張鷟《朝野僉載》、劉餗《隋唐嘉話》、趙磷《因話錄》、張讀《宣室志》等。文人筆記中的靈驗記也與以禮敬某種特定的佛經的靈驗記不同,掺雜在其他內容中,一般故事性比較強。
(四)釋家的大型典籍和世俗類書中搜羅了大量南北朝至五代的靈驗記作品。
《法苑珠林》,《四部叢刊》本一百二十卷,《大正藏》本一百卷。唐釋道世撰。以佛經故實分類編排,凡一百篇。每篇或有述意,或無述意,為例不一。大致推明罪福之由,用生敬信之念,大多為引經據典之作。《四庫提要》有著錄。贊寧《宋高僧傳》卷四有道世傳云:“及為皇太子造西明寺,爰以英博召入斯寺,時道宣律師當塗行律,世且旁敷,同驅五部之車,共導三承之軌,人莫我及,道望芬然。復因講貫之餘,仍攬甚深之藏。以為古今綿代,製作多人。雖雅趣佳辭,無足於傳記。由是搴文囿之菁華,嗅大義之瞻蔔,以類編錄,號《法苑珠林》。”道世自己在《法苑珠林》卷八《諸天部》“感應緣”曰:“古今善惡禍福微祥,廣如《宣驗》、《冥祥》、《報應》、《感通》、《冤魂》、《幽明》、《搜神》、《旌異》、《法苑》、《弘明》、《經律異相》、《三寶徵應》、《聖迹歸心》、《西國行傳》、《名僧》、《高僧》、《冥報》、《拾遗》等卷盈数百,不可備列。傳之典謨,懸諸日月,足使目覩,當猜來惑。故經曰:‘行善得善報,行惡得惡報。’易曰:‘積善之家,必有餘慶。積惡之家,必有餘殃。’信知善惡之報,影響相從,苦樂之徵,由來相克。余尋傳記四千有餘,故簡靈驗,各题篇末。”《法苑珠林》的靈驗記多出於“敬佛篇”、“敬僧篇”、“敬法篇”、“歸信篇”和“感通篇”諸篇,見於其中之“感應緣”。如“歸信篇”分為“述意部”、“小誠部”和“大成部”引據經論分述“信為道原功德之母”,然後“感應緣”以晉沙門竺法師、宋居士袁炳和隋沙門釋道仙等故事,證明歸信之果報,幾成定則。“敬佛篇”又分為“普賢驗”、“觀音驗”等。書中“感應緣”凡七百九十九條,絕大部為佛教靈驗記,然兼收並蓄,失之過寬,先秦典籍中的靈鬼故事,甚至内氏之書《抱朴子》所载亦加收錄。
《太平廣記》,北宋李昉等編。五百卷,另有目錄十卷。采錄自漢至宋初的小說、筆記、稗史等四百七十五種。按性質分為九十二大類。其中“釋證”三卷、“報應”三十三卷、“徵應”十一卷、“感應”二卷、“讖應”一卷、“靈異”一卷、“再生”十二卷、“悟前生”二卷,大多是經像崇拜、因果報應類故事。因一些引用書已亡佚,故頗有價值。《太平御覽》 卷六五四“釋部”亦有崇佛禮僧的靈驗記若干。
《冊府元龜》,北宋王欽若等編。該書資料豐富,自先秦至五代,按人事人物,分門編纂,凡一千一百餘門,概括全部十七史。“帝王部”的徵應、瑞符、感應等門皆有靈應故事。卷五一、五二則為崇釋氏門,備錄帝王與釋教的往來,其中不乏靈驗之事。
以上三書雖編撰於宋,但其經像崇拜的故事基本出自五代以前。
(五)敦煌遗書中亦不乏感應類文字。比較集中地涉及靈驗記的卷子有S. 383《龍興寺毗沙門天王靈驗記》、S. 2313《瑞像記》、S.2713 《揚州僧》、S. 3092《道明還魂記》、S. 3257《懺悔滅罪金光明經冥報傳》,S. 4037《苟居士寫經靈驗記》和《李慶持經靈驗記》、S. 6036《落番貧女懺悔感應記》、P. 2049《持誦金剛經靈驗功德記》、P.2186 《黄仕強傳》、P. 3236《觀世音菩薩救難神驗經》、P. 3570《劉薩訶和尚因緣記》等。其中多種靈驗記有不同的寫卷,這裏僅指出較完好的卷子。以《懺悔滅罪金光明傳》、《持誦金剛經靈驗功德記》和《黃仕強傳》爲篇幅較大作品。在我看來,這些敦煌遗書中的靈驗記,除《持誦金剛經靈驗功德記》中的某些篇目以及《苟居士寫經靈驗記》外,都不見於其他書中,所以具有相當高的文獻史料價值。
(六)靈驗記亦散見於各種史部著述中,首先在正史的方術等傳中或有高僧事迹,如《舊唐書》卷一九一方術傳中錄有玄奘、神秀、一行等高僧行履。其中一行至天臺國清寺稽首請法,習學算術後,寺門前水卻西流;一行係聖人降世等即為靈驗故事。《梁書》卷五四錄劉薩荷和尚入冥不死尋舍利事。其次,在一些朝臣列傳中亦或雜糅靈驗故事傳說。如《魏書》卷一一二上肥如城東西二寺佛圖像不遭火焚。同書同卷京師金像流汗預兆國有事變。《魏書》卷八十四盧景裕傳載裕繫晉陽獄至心誦經枷鎖自脫事。《梁書》卷五四有丹陽尹高悝得靈異金像事。地理類著作亦含有靈驗記,如《吳郡志》談及吳縣觀音院地名的來歷,《六朝事迹編類》談及瓦棺寺(昪元寺)名稱的來歷,都援引了靈驗故事傳說。
(七)金石文字。在金石文字中,多見造像記、造像碑等文字,在駢儷對仗的文句間,有時會包含一些靈驗記文字。如《金石萃編》卷四十《大海寺唐高祖造像記》爲李世民因佛像療治其腹痛有驗而另造佛像的銘記。《古刻叢鈔》之《孝敬寺刹下銘並序》言及信徒感得舍利的事。再如收錄於《全唐文》卷四五三的韋皋的《西川鸚鵡舍利塔記》等。
三、靈驗記的研究
靈驗記作為研究對象曾引起一些學者的關注。
魯迅先生《中國小說史略》第六篇《六朝鬼神志怪書(下)》謂:“釋氏輔教之書,《隋志》著錄九家,在子部及史部,今惟顏之推《冤魂志》存,引經據史以證報應,已開混合儒釋之端矣,而餘則俱佚。遺文之可考見者,有宋劉義慶《宣驗記》,齊王琰《冥祥記》,隋顏之推《冤魂記》,侯白《旌異記》四種,大抵記經像之顯效,明應驗之實有,以震聳世俗,使生敬信之心,顧後世或視為小說。”其“釋氏輔教之書”之說爲後來治魏晉南北朝文學的學者廣泛接受。為了撰寫《中國小說史略》,魯迅先生廣泛搜求,從唐宋群書中輯錄自周代的《青史子》至唐代杜寶的《水飾》等久已散佚的小說三十六種,結集爲《古小說鈎沉》。一些包含大量靈驗記的“釋氏輔教之書”在《古小說鈎沉》中得以恢復,計《宣驗記》三十五則、《冥祥記》一百三十則、《旌異記》十則。為後來的研究者提供了寶貴的資料。
陳寅恪先生對靈驗記亦頗重視。敦煌寫卷《懺悔滅罪金光明經冥報傳》發現後,陳寅恪先生極為關注,他在《懺悔滅罪冥報傳跋》一文中指出:“至《滅罪冥報傳》之作,意在顯揚感應,勸獎流通,遠托《句法譬喻經》之體裁,近啓《太上感應篇》之注釋,本為佛教經典之附庸,漸成小說文學之大國。蓋小說雖號稱富於長篇鉅制,然一察其內容結構,往往為數種感應冥報記雜糅而成。若能取此類果報文學詳稽而廣證之,或亦可為治小說者之一助歟。”指出了該作品在中國小說發展史上有不可忽視的一定價值,實際上該說爲研究靈驗記提供了一種可行的路徑,就是應考察靈驗記在文學史上的影響。另一方面,陳寅恪自己對靈驗記有非常深入的研究,他在梁慧皎《高僧傳》、唐道宣《續高僧傳》、宋贊寧《宋高僧傳》旁做了大量批註。一些寥寥數語的批文為研究靈驗記提供了極具啓發性的思路。如《高僧傳》卷十一慧嵬傳中有慧嵬信心堅貞,不受“形貌端正,衣服鮮明”的天女誘惑的靈驗故事。陳寅恪在旁批注道:“《維摩詰經·菩薩品》持世菩薩事。”他點明了這個靈驗故事的典出,也為靈驗記研究提供了思路:很多靈驗記寫的是中國的人和事,仔細考證便可發現是從佛典中拿來的。《高僧傳》卷十一玄高傳有如下文字:“弟子玄暢時在雲中,去魏都六百里,旦忽見一人告雲以變,仍給六百里馬。於是揚鞭而返,晚間至都,見師已亡。悲慟斷絕。因與同學共泣曰:‘法今既滅,頗復興不?如脫更興,請和上起坐。和上德匪常人,必當照之矣。’言畢,高兩眼稍開,光色還悅。體通汗出,其汗香甚。須臾起坐,謂弟子曰:‘大法應化,隨緣盛衰。盛衰在迹,理恒湛然。但念汝等不久復應如我耳,唯有玄暢當得南度。汝等死後,法當更興。善自修心,無令中悔。’言已便臥而絕也。明日遷柩,欲闍維之,國制不許。於是營墳即窆。”陳寅恪在旁批注:“此與耶穌復活神話同意。”這同樣具有方法論的啓示,即研究靈驗記不但要聯繫佛經,而且應該放在世界文化的大背景下來加以觀察。
陳垣先生在四十年代初寫成《佛教史籍概論》,該書雖然不是直接研究佛教靈驗記的,但對佛教史籍的描述很見功力,對本課題的研究是很有啓發性的。該書研究的《出三藏記集》、《高僧傳》、《續高僧傳》、《續高僧傳》、《弘明集》、《廣弘明集》、《法苑珠林》等書包含大量的靈驗記。在該書中每書條舉其名目、略名、異名、卷数異同、版本源流、作者略歷、該書的内容體制。陳垣先生特别注重文獻學的查考,拈出《高僧傳》與《世說新語》及《晉書》的互證諸處。陳著點明了《全南北朝文》和《全唐文》引《續高僧傳》的錯訛。《法苑珠林》有常熟蔣刻等百卷本和嘉興藏本和四部叢刊百二十卷本,陳著比較其優劣,指出簡錯,可見其讀書之縝密。該書誠為治佛教史籍的津梁。
季羡林先生十分注重古代印度文學對中國文學的影響,他認為六朝的志怪小說往往談因果報應,信佛得善報,不信得惡報。它們當中許多故事經歷了印度故事中國化的過程。他這樣描述這一過程:“印度人民首先創造,然後宗教家,其中包括佛教和尚,就來借用,借到佛經裏去,隨着佛經的傳入而傳入中國,中國的文人感到有趣味,就來加以剽竊,寫到自己的書中,有的也用來宣揚佛教的因果報應,勸人信佛;個别的故事甚至流行於中國民間。”他具體分析了《宣驗記》中的鸚鵡滅火的故事與《雜寶藏經》和《舊雜譬喻經》中類似故事的關係。
鄭阿財教授在整理研究敦煌遺書中的靈驗記中用力良多,成果豐贍。筆者拜讀過他的論文《敦煌寫卷〈懺悔滅罪金光明經傳〉研究》(初稿)、《敦煌寫本〈佛頂心觀世音菩薩救難神驗經〉研究》、《論敦煌寫本〈龍興寺毗沙門天王靈驗記〉與唐五代毗沙門信仰》、《敦煌靈應小說的佛教史學價值一一以〈持誦金剛經靈驗功德記〉為例》等。鄭阿財教授的研究極爲規範,他考察一個敦煌靈驗記,必搜集所有同题寫卷,撰寫敘錄,擇善者為底本,参校他本,迻錄全文。然後鈎稽靈驗記所反映的信仰的歷史舊貌,發掘其文化價值。這些論文使我獲益匪淺。楊寶玉先生在鈎稽、校勘敦煌靈驗記方面也做了不少卓有成效的工作,詳後。
李劍國教授在靈驗記研究方面做了大量的工作,主要見於他的兩本書和一一些文章。《唐前志怪小說史》的第七章的後半部分以及第八章的第一、二節,所涉及的內容基本都是靈驗記。同時在《唐五代傳奇志怪敘錄》中也對靈驗記多有查考。他的研究以版本目錄的詳盡比勘為特色,追尋靈驗記的源流頗費功夫,又不乏宏觀俯瞰,比如他對志怪小說起源問題的研究。
俄羅斯科學院東方學研究所彼得堡分所漢學家M.葉爾馬克對靈驗記的研究很有特色。他是從《論王琰的〈冥祥記〉和佛教小說》開始研究靈驗記的,這是葉氏在北京大學進修時在湯一介教授指導下寫成的論文。1994年出版《中國的佛教世界一一以4一6世紀的短篇小說爲材料》一書。1998 年出版《感應傳等四種》一書,其中包括他翻譯注釋的王延秀的《感應傳》(兩條)、劉義慶的《宣驗記》、王琰的《冥祥記》和侯白的《旌異記》,並撰有近四十頁的序言。在序言中,他考察了靈驗記(他稱之為“佛教小說”的中國文化淵源:“佛教的嚴格的理論體系受到了中國平民佛教自發性的抵制。佛教傳統在進入中國的文化一意識形態語境的時候,失去了與印度文化範疇的直接聯繫。佛教傳入前,中國傳統信仰中的靈魂觀念成了平民佛教的意識形態基礎之一。依公元前500年形成的這種觀念,人是天上的實體‘魂’和地上的實體‘魄’的結合物。魄產生於受孕之時,魂則在出生時產生。這兩種實體的和諧結合在人生病、做夢和死的時候遭受破壞。人死後,魄與屍體一起入地,成為惡靈——鬼;魂升到天上變成善靈神。這種觀念的餘緒在佛教小說中可以觀察到。”他提到的中國人的傳統信仰中的靈魂觀念應該是《左傳》昭公七年子產的話——“子產適晉,趙景子問焉曰:‘伯有猶能為鬼乎?’子產曰:‘能。人生始化曰魄,既生魄,陽曰魂。用物精多則魂魄強,是以有精爽至於神明。’指出類似觀念對靈驗記的影響,自然是有見地的。但是有兩點似可商榷。其一,他有所謂“中國平民佛教”之說,但實際上最早搜集創作靈驗記(即他所謂“佛教小說”)的,恰恰是當時的士大夫,這一點前面已經指出。其二,進入中國的佛教並未完全失去同印度哲學的聯繫,因為我們知道佛教生死輪迴、因果報應觀念對靈驗記的產生也有相當的作用。
日本衣川賢次教授著有《傅亮〈光世音應驗記〉譯注》,收錄《光世音應驗記》七條,包括校記、日文譯文和注釋。校記中有這些靈驗記被稱引的情況。注釋則引史乘和說部等發明意義。書後附有青莲院藏《光世音應驗記》和金剛寺藏《佚名諸菩薩感應抄》書影。
在民國時期,劉大傑的《中國小說發展史》看到了佛道兩教對小說的渗透,但他沒有將靈驗記納入研究的視野。郭箴一《中國小說史》有“佛教徒怎樣利用鬼神志怪書”一節,作者寫道:“但是佛教徒中本有不少聰明的文人,他們很深切地瞭解鬼神志怪書在普通社會的勢力,而也明白,這種勢力的造成,全在乎完全能適合一般民衆的心理。他們把佛教中最膚淺的因果思想及靈驗的事,用志怪書的故事體裁發揮出來。這樣六朝的鬼神志怪書就被佛教徒利用了。”他通過《太平廣記》《法苑珠林》所錄的資料介紹了《宣驗記》、 《冥祥記》 和《旌異記》,還介紹了《冤魂記》。敦煌石室打開後,學者們重視其中的變文、講經文等過去文學史中未曾留意的體裁,羅振玉、劉復、向達、鄭振鐸等都對變文給予關注,並且很快就在文學史研究中有所反映。而敦煌石室中《持誦金剛經靈驗功德記》、《懺悔滅罪金光明經冥報傳》和《黃仕強傳》等靈驗記則不受重視,除了陳寅恪的跋文、王重民的敘錄外,作者未見别的研究。解放後將靈驗記之類的文字當成封建迷信的產物,因而不可能去探討其文學和史學價值。近年來,孫遜的《中國古代小說與宗教》有若干章節涉及靈驗記在文學史上的影響,韓雲波的《唐代現實觀念與小說興起研究》中有部分是研究靈驗記的文學價值的,但均未研究其史學和宗教學價值。因此,全面、多方位地研究靈驗記在學術界尚是空白。
還有其他學者從不同的角度對靈驗記進行了研究,在下面的行文中會有所徵引、評價,在此不贅。所有關於靈驗記的研究都是從文學或史學的角度出發,因而對佛徒釋子寫的靈驗記則基本沒有涉獵。而這恰好是靈驗記的一塊豐產田。
四、本書的方法與結構
儘管有上述學者關注研究靈驗記,但是將從兩晉至唐五代的佛教靈驗記作為整體加以全面研究,迄今尚未有人做過。因此,本書首先要進行資料的鈎稽考索。文獻學的方法是本書的基礎。本書研究對象的文獻範圍限定在兩晉至唐五代,若資料出於别的時代,也應主要是記载宋代以前的人和事。除了六朝的《觀世音應驗記三種》、唐代唐臨的《冥報記》、敦煌寫卷《持誦金剛經靈驗功德記》等而外,靈驗記不是以現存的形式保留在中古文獻中的。在各種高僧傳、文人筆記、敦煌遺書、史乘著述、佛經義疏等文獻裏,靈應故事往往夾雜在其他文字中,比如在各種高僧傳中,僧人的真實行履中間或穿插有靈驗故事,在《廣弘明集》大量的佛教文書中偶爾包含有感應傳說。因為是第一次研究該問题,所以作者廣泛翻檢中古的各種典籍和敦煌遺書,在浩如瀚海的古籍中剔抉爬梳,违錄訂正,力圖得到大量第一手資料。並盡作者的可能,考察同一條靈驗故事在各種書籍中輾轉演化過程。因此,本書有時難免給人留下堆砌資料、羅列事實的印象。同時由於作者學識有限,文獻學的根底尚淺,資料搜集難免挂一漏萬,迻錄的錯訛也一定不少。
在占有第一手資料的前提下,本書將靈驗記看成是對歷史上的人們的信仰觀念的真實的反映,即靈驗記是當時受信佛教的人們想象的的結果。恩格斯認為:“一切宗教都不過是支配着人們日常生活的外部力量在人們頭腦中的幻想的反映,在這種反映中,人間的力量采取了超人間的力量的形式。”宗教是統治人們的異己的自然力量和社會力量在人們的頭腦中虚幻的、顛倒的反映。靈驗記所反映的正是人們在宗教信仰活動中產生的宗教情感、宗教體驗和與之相關的宗教觀念。
從比較宗教學的角度來看,人們曾經對與靈驗記所記載的類似的宗教奇迹做過思考。歐·勒南在《耶穌的一生》中對流傳的耶穌奇迹的思考也有助於從另一角度來理解這個問題。他說:“進一步說,所有聖徒和宗教的奠基者都遇到過類似的問題。現在被視為病症的癲癇、幻覺等等,從前都是有力和不同凡俗的標諾。今天,醫生們能說出決定穆罕默德命運之疾病的名稱。幾乎直到現在,那些對人類貢獻最大的人,都是自覺不自覺的施行奇迹者。如果認為凡信任當今屬不理智或欺騙性行為的歷史人物都是瘋子或騙子,那麼,這一原則將取消所有的批評。亞歷山大學派堪稱高貴,而它卻沉溺於無度的通神活動中。蘇格拉底和帕斯卡也有過幻覺。這些事實應當以相關的原因去解釋。”他還說:“即使耶穌堅定地拒絕奇迹,衆人也會為他創造奇迹。”這就是說,崇拜耶穌的人們會以傳說的方式為他創造奇迹。本書將要討論的靈驗現象——奇迹, 有的屬於奇迹施行者有意為之,如在“道術:佛教進入中土的策略”一章中涉及的一些現象,即一些名僧以實現奇迹作為傳法的手段;有的則是人們通過口口相傳的傳說虛構出有關奇迹的故事,如《淨土往生傳》中一些高僧的圓寂等現象。靈驗記所涉及的對奇迹的信仰,是信衆的想象結果,以及信衆對這一結果的口口相傳或筆錄。儘管靈驗記在佛教的傳播史中曾起過重要作用,但它與佛教教理所提倡的的超驗拯救,即鼓勵人們脫離塵世的苦難的精神是相抵牾的。這種矛盾在當事人那裏是渾然不覺的,一些深諳佛理的高僧大德在講經中會自然而然地徵引靈驗故事,如智顗在《觀音玄義》中就引用謝敷作《觀世音應驗傳》中的靈驗傳說來方便說法。
本書上篇是分論,主要具體分析某種類型的靈驗記和靈驗現象;下篇是綜論,分别從文學、歷史、宗教學的角度探討靈驗記的價值。作者試圖運用文獻互證的方法,借助宗教哲學、文化人類學、民俗學、神話學的觀點方法來闡發靈驗記,揭示民間信仰的特殊方式,發掘其中包含的大量的哲學、宗教和美學資源。本書對於研究佛教在中國的傳播和本土化的過程,揭開民間宗教信仰和迷信的發生機制,體悟中古和近代的漢民族的民族文化心理當有其價值。但是由於作者對於宗教文化的認識淺漏,錯漏勢所難免,祈望方家和廣大讀者指正。
▼
往期精彩回顾
▼
扫码关注
中国俗文化研究
审稿编辑 | 尹 赋
值班编辑 | 李媛媛