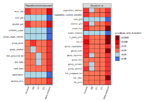
近年来,越来越多的研究发现,肠道微生物组成及其对肠道中营养的竞争直接影响着肠道中促炎和抗炎反应的平衡。例如肠道微生物群与肠道免疫系统之间的同质平衡丧失会导致炎症性肠病(IBD),肠道菌群的失调也被证明与糖尿病、关节炎和系统性红斑狼疮等免疫介导的炎症性疾病相关。对此,流行病学的研究发现,饮食因素与这些疾病发作相关,但食物和饮食方式是如何影响肠道菌群及宿主健康的目前仍不清楚。近日,来自荷兰格罗宁根大学的研究人员在《Gut》上发表了题为Long-term dietary patterns are associated with pro-inflammatory and anti-inflammatory features of the gut microbiome的研究成果,其确定了多种饮食模式与微生物群和代谢通路之间的关联,并揭示了特定的食物和饮食模式可能会影响的肠道菌群和代谢物丰度,为今后开发靶向肠道菌群以缓解肠道炎症的饮食干预方案提供了重要参考价值。 doi:10.1136/gutjnl-2020-322670为明确饮食对宿主肠道菌群及健康的影响机制,研究人员选取了荷兰两个独立研究队列的共1425名参与者,根据对肠道的诊断将其分为4个亚组,即克罗恩病(CD,n = 205),溃疡性结肠炎(UC,n = 126),IBS(n = 223)和健康(HC,n = 871),并收集了每位参与者的粪便,进行宏基因组测序和炎性标志物检测。同时根据其饮食偏好和习惯的统计信息,将摄入的常见食物分为了乳制品、坚果等25类。饮食数据显示,与HC相比,IBS患者的平均热量和蛋白质摄入量较低,CD患者的蛋白质和蔬菜摄入量更低,而软饮料摄入较多。 常见食物归类之后,研究人员对这四个亚组参与者的饮食模式和微生物组及肠道炎症标记间的相关性进行了分析,从中确定了13个饮食模式与24个微生物组间具有显著关联,61种食品与123个微生物分类单元及249种代谢通路具有关联。具体分析显示,面包,豆类,鱼类和坚果类食物的摄入与几种促炎途径呈一致的负相关性,其中面包和豆类与大肠杆菌,脆弱拟杆菌和副拟杆菌类的较低丰度相关。而坚果,油性鱼类,水果,蔬菜和谷物与普氏栖粪杆菌、人罗斯拜瑞氏菌等具有产短链脂肪酸(SCFA)功能的菌株数量较高有关,这些细菌能够将纤维和果胶发酵成乙酸盐和丁酸盐,具有抗炎和保护肠粘膜的作用。 与普氏栖粪杆菌、人罗斯拜瑞氏菌相对丰度相关的饮食因素 动物蛋白质和脂肪的摄入与较高的厚壁菌门丰度和较低的双歧杆菌丰度相关,而植物来源的食物与其其恰恰相反,同时与肠道菌群中必需营养素的更高合成和转化相关。 饮品方面,红酒的长期摄入也与霍氏真杆菌、卵瘤胃球菌、酸奶瘤胃球菌等可产生乙酸盐和丁酸盐的有益菌株呈正相关性,但其与双歧杆菌的丰度却呈负相关。酒精和糖的长期摄入则与较高的醌合成途径相关,这与IBD患者肠道中醌类合成增加的结果一致。此外,咖啡的摄入与较高的颤杆菌克属丰度和糖酵解途径增加相关。酪乳和酸奶等发酵乳的消耗则与乳酸菌丰度、丁二醇和肽聚糖合成密切相关。 饮食与肠道微生物组的关联及促炎或抗炎作用概述在对饮食与炎症反应关联的分析中,研究人员观察到炎症性肠病的炎性标记物粪钙卫蛋白(FCAL) 含量与快餐、高脂肉、土豆等类饮食显著正相关,而与鱼和坚果类负相关。总的来说,该研究确定并揭示了一些饮食模式与健康和患病肠道中的菌群和代谢物间的相关性,强调了多摄入植物性食物及鱼类能够减少致病共生菌的丰度,富集营养代谢通路,产生抗炎效果。这为通过饮食干预肠道炎症的治疗预想提供了基本原理,也为我们的健康饮食提供了一个指导。