小编今天给大家带来8个求解立体几何内切球与外接球半径的模型,本文最开始源自付雨楼老师分享的模型,教研QQ群成员段永建老师进一步作图编辑优化。
1
墙角模型
三条线两个垂直,不找球心的位置即可求出球半径
题组 一
2
垂面模型
一条直线垂直于一个平面
题组二
3
切瓜模型
(两个平面互相垂直)
题组三
4
汉堡模型
(直棱柱的外接球、圆柱的外接球)
题组四
5
折叠模型
题组五
6
对棱相等模型
(补形为长方体)
题组六
7
两直角三角形拼接在一起模型
(斜边相同,也可看作矩形沿对角线折起所得三棱锥)
题组七
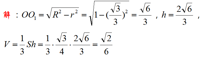
8
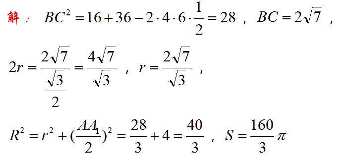
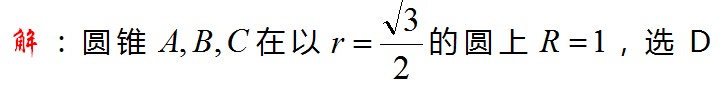
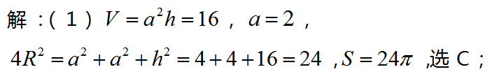
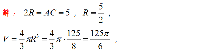
锥体的内切球模型
综合反馈练习
文章转自:数学研讨
长按或扫描二维码关注本公众号!
近期好文荐读:
一生只有43年,喜欢泡妹打架,却凭借一篇文章震惊世界,跻身一流数学家
史上最变态高考数学题,让99%的考生献上膝盖,看完我惊了......
魏立国——不等式e^x ≥ x+1和+ln(x+1)≤X的应用
【博学多才】筷子夹汤圆,夹出一个美丽的"蒙日圆",真是太神奇了!!!
【美不胜收】求解动点轨迹方程的的七种解法------全方位,无死角!!!
洪一平、 杨飞、邹生书——解答一道以椭圆为载体的轨迹方程与面积最值征解难题
单壿、石中海、赵春等:一道莫斯科绝对值最小值高考题的解法研究文章荟萃