轨迹法处理一类解三角形最值问题之一
阿波罗尼斯圆
江西省新建二中 曾蓉
【引言】在解三角形相关最值问题中,最常用的基本方法是转化为以边或角为自变量的函数问题来处理,也即函数思想。那么除了函数思想外,是否还存在其它的切入点呢?让我们从一道引例开始。
【分析】我们知道求一个量的最值或取值范围最常用的方法是转化为某一个变量为自变量的函数问题来处理。该题的条件相当简洁,都与边有关,所以自然而然地想到构造以边为自变量的函数,而“正、余弦定理”是处理解三角形边、角问题的重要思维入口。
【思路一】函数思想——以边为自变量
【继续分析】通过以上解析我们发现,把三角形的面积表示成了某一边的函数表达式,通过求函数的最大值从而得出结果,但需要注意的是定义域的确定。我们进一步关注到面积公式中还存在“角”,那是否可以引导学生试着把边转化成角,表示成以角为自变量的函数呢?
【思路二】函数思想——以角为自变量
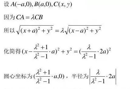
【再度分析】那么,此题,除了函数思想,还有没有其它的切入点呢?从条件“AB=2,AC=√2BC”,”可知底边AB=2为固定边,只有顶点C在运动,那么对于运动的点C我们更应关注什么呢?那就是动点C的运动轨迹,如果能确定运动的轨迹,我们可以通过几何直观来分析问题了,这就是我们常常解题需要用到的辩证观“动中有静”,接下来我们研究动点C的轨迹,可用坐标法求轨迹,若A(-1,0),B(1,0)且AC=√2BC,......
【思路三】建立直角坐标系——轨迹法
【反思】思路一、二都是从函数的角度切入,而思路三是从解析法的角度,根据已知条件(两个定点,一个定比值)求出了动点C的轨迹方程,从几何的角度解释C点在何处时,三角形面积取得最大值,由抽象的代数转为形象的几何,更易被学生接受,这也体现了轨迹思想的重要解题价值。
进一步引发学生们思考:只要给出两个定点,一个定比值,则可以得到一个定圆吗?不妨接下来,借助几何画板来演示:
(这个圆最早由古希腊著名数学家阿波罗尼斯(公元前262-公元前190年)发现的,故人们将这个圆以他的名字命名)。
接下来,不妨用利用思路三的解题方法来推导“阿氏圆”的轨迹方程,以线段AB所在直线为x轴,线段AB的中垂线为y轴,建立平面直角坐标系.
学习了阿氏圆后,当再次遇上解三角形类似问题时,我们是不是能够用多重角度来审视问题呢?下面以一道练习来实践一下:
【练习一】
【分析】类似引例中的解法一、二,此题仍可以从函数角度切入,这里不再过多讲解,可以让同学们课后自已完成,这里附上解析供参考。
【思路一】函数思想——以边为自变量
【反思】思路一、二依然从函数的思想进行解读,属于通性通法,一个是转化为边为自变量,不难看出计算较繁琐,出现了四次方,需要有较强的计算能力;另一个是转化为角为自变量,最终为求有关三角函数的最值问题,利用三角函数有界性或是几何意义、数形结合均可,方法较多,这里不过多阐述,需要较强的计算能力及思维能力。
积为__________
【分析】虽然这是一个与抛物线相结合的解析几何问题,但细致观察条件,作出图形,不难发现,隐藏着阿氏圆的背景条件,K,F为两个定点,AK=√2AF,也存在一个定比值,此时大胆猜想动点A的轨迹是一个圆,接下来只需用解析法求出动点A的轨迹方程即可。
通过本节微课程,对于破解此类解三角形最值问题,不仅可以从代数角度、函数思想切入,也可以从几何角度、轨迹思想突破,通过比较,不难发现,第一种方法虽然容易想到,但计算繁琐不易做对,后一种几何解释则形象直观更容易获得正确的答案,但对思维层面要求较高,所以,这也提示我们在平常教学中,教师们应引领学生用发散的眼光对问题进行观察、分析、探索、提炼。而对于本节微课程应让学生掌握构建阿氏圆的=基本方法,即两个定点,一个定比值,则可得动点的轨迹为圆,体现了轨迹法的重要解题价值。
2020年1月27日
长按或扫描二维码关注本公众号!
高中数学视频链接:
近期解题文章荐读:
曹凤山:年年考向量 岁岁数与形 ———浙江省自主命题以来向量试题特点评析
魏立国——不等式e^x ≥ x+1和+ln(x+1)≤X的应用
【博学多才】筷子夹汤圆,夹出一个美丽的"蒙日圆",真是太神奇了!!!
【美不胜收】求解动点轨迹方程的的七种解法------全方位,无死角!!!
洪一平、 杨飞、邹生书——解答一道以椭圆为载体的轨迹方程与面积最值征解难题
单壿、石中海、赵春等:一道莫斯科绝对值最小值高考题的解法研究文章荟萃