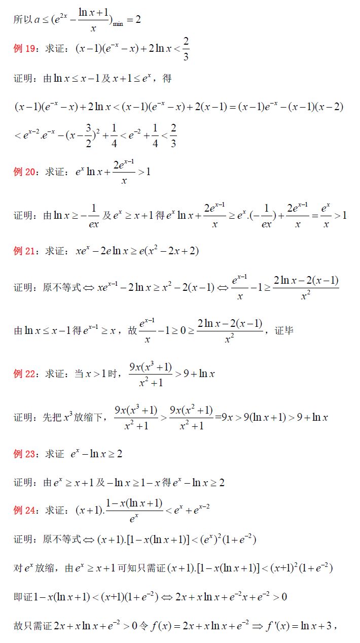
破解导函数“隐零点”问题的八大求解方法
长按或扫描二维码关注本公众号!
高中数学视频链接:
近期好文荐读:
九市联盟2020届数学理科核心模拟卷三份及参考答案与评分细则
解答高考选择题的八大策略——教你如何灵活、高效、精准拿分!!!
熊昌进:数学教学我们永远在路上——从学生的思维出发进行教学指导一例
曾蓉——轨迹法突破一类解三角形面积最值问题之二 原来也有“圆”
曹凤山:年年考向量 岁岁数与形 ———浙江省自主命题以来向量试题特点评析
魏立国——不等式e^x ≥ x+1和+ln(x+1)≤X的应用
【博学多才】筷子夹汤圆,夹出一个美丽的"蒙日圆",真是太神奇了!!!
【美不胜收】求解动点轨迹方程的的七种解法------全方位,无死角!!!
洪一平、 杨飞、邹生书——解答一道以椭圆为载体的轨迹方程与面积最值征解难题
单壿、石中海、赵春等:一道莫斯科绝对值最小值高考题的解法研究文章荟萃