请点击上方蓝色字体“邹生书数学”,订阅本微信公众号;请点击右上角的“…”,发送给朋友或分享到朋友圈。
公众号“邹生书数学”创建于2018年8月28日。
开号宗旨:为热爱学习和研究的高中数学教师和教研员搭建学习交流平台,提升教学能力,促进专业发展。本公众号致力传播数学文化,发表教研成果,交流教学经验,探讨数学问题,展示解题方法,分享教学资源,为服务高中教学作贡献。
邹生书,男,1962年12月出生,本科学历,理学士学位,中学数学高级教师,黄石市高中数学骨干教师。主要从事高中数学教学、高中数学解题研究和探究性学习等。从2007年8月到2018年8月,在《数学通讯》《数学通报》《数学教学》《中学数学》《中学数学教学》等,二十多种学术期刊上发表解题和探究性学习文章300余篇。
公众号“邹生书数学”诚请高中数学教师、教研员和热爱数学的朋友不吝赐稿。来稿请注明真实姓名、工作单位和联系方式,一般只接受word文档格式的电子稿件,文稿请认真审查,防止错漏,确保无误,文责自负。
投稿邮箱:zoushengshu@163.com;
商务联系:13297228197。
一道区分度很低的填空题 两个不简单
的优美解法
湖北省阳新县高级中学 邹生书
武汉市2020届高中毕业生六月供题(一)理科数学第16题如下:
解析:如图,由对称性猜想:当直线垂直于x轴时所示式子的值最小。此时直线方程为x=1,易求得点P,M的终坐标分别为2,1,1/PM+1/QN=2/PM=2.
评注:本题答案确实是2。如此说来,上述猜想简直可以秒解这道题目,这样题目的区分度就很低了,这道处于压轴位置的填空题就失去了应有的甄别功能和选拔功能,很难达到命题人所预定的考查目标。
下面给出两种解法与读者朋交流分享。
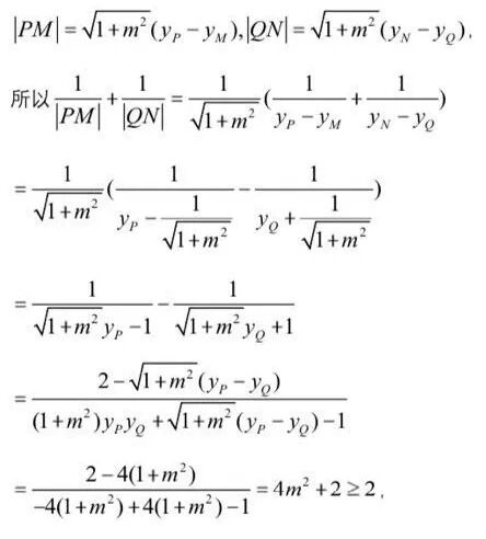
解法1:用直线方程x=my+1切入,结合一元二次方程根与系数关系和弦长公式求解
依题意直线不会与x轴重合可以与x轴垂直,故可设直线方程为x=my+1,将其代入抛物线方程整理得
当且仅当m=0时等号成立.此时,直线方程为x=1,与x轴垂直。故所求式子的最小值为2.
解法2:用直线的参数方程切入,结合一元二次方程根与系数关系和参数的几何意义求解
当且仅当直线的倾斜角α=90°时等号成立。此时,直线方程为x=1,与x轴垂直。
故所求式子的最小值为2.
下附两组弦长公式:
第一组
在解决多线段长度问题时运用上述公式可简化运算缩短解题长度达到事半功倍的作用。
公众号《邹生书数学》
最受读者欢迎的柒拾篇文章链接
(20191018——20200618)
2.“端点效应”模考压轴题的三种解法——分类讨论 洛必塔 导数定义(修正版)
4.刘锐——六构函数解答一道“指对混合”方程参数取值范围难题
6.李鸿昌——函数f(x)=2sinx+sin2x最小值的多解与变式探究
7.老唐说题——导数压轴题之同构式的三“生”三“释”+8个典型试题教你学同构
10.李鸿昌——绕开洛必达,回归导数概念,求解“0/0”端点效应高考压轴题
13.袁方、洪一平、邹生书——运用“等积线”求解一类条件最值问题
18.深度好文|用通性、通法解导数压轴题——全国理数一卷近三年导数题研究及2020年导数题预测
20.洛必塔法则 零点定理取点 函数凹凸性 三种法解一道“端点效应”难题
21.阳友雄:拉格朗日中值定理及其应用——不等式证明的又一大利器!!!
24.九市联盟2020届数学理科核心模拟卷三份及参考答案与评分细则
26.高考数学冲刺专题——解析几何(正高级,特级教师夏远景)
27.巧用“等和线”解决平面向量问题,怎一个“妙”字了得!!!
28.解答高考选择题的八大策略——教你如何灵活、高效、精准拿分!!!
43.曾蓉——轨迹法处理一类解三角形最值问题之一 阿波罗尼斯圆
53.曹凤山:年年考向量 岁岁数与形 ———浙江省自主命题以来向量试题特点评析
55.万尔遐、汪跃中——探讨高考数学命题人如何编定概率统计的试题
62.魏立国——不等式e^x ≥ x+1和+ln(x+1)≤X的应用
63.一道取值范围试题的七个解法四个结果!谁对谁错?问题出在哪?