请点击上方蓝色字体“邹生书数学”,订阅本微信公众号;请点击右上角的“…”,发送给朋友或分享到朋友圈。
公众号“邹生书数学”创建于2018年8月28日。
开号宗旨:为热爱学习和研究的高中数学教师和教研员搭建学习交流平台,提升教学能力,促进专业发展。本公众号致力传播数学文化,发表教研成果,交流教学经验,探讨数学问题,展示解题方法,分享教学资源,为服务高中教学作贡献。
邹生书,男,1962年12月出生,本科学历,理学士学位,中学数学高级教师,黄石市高中数学骨干教师。主要从事高中数学教学、高中数学解题研究和探究性学习等。从2007年8月到2018年8月,在《数学通讯》《数学通报》《数学教学》《中学数学》《中学数学教学》等,二十多种学术期刊上发表解题和探究性学习文章300余篇。
公众号“邹生书数学”诚请高中数学教师、教研员和热爱数学的朋友不吝赐稿。来稿请注明真实姓名、工作单位和联系方式,一般只接受word文档格式的电子稿件,文稿请认真审查,防止错漏,确保无误,文责自负。
投稿邮箱:zoushengshu@163.com;
商务联系:13297228197。
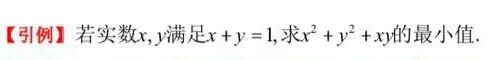
二元最值里的那些事儿
江西省新建二中 曾 蓉
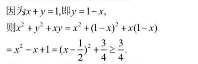
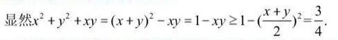
求函数的最值是平常再熟悉不过的问题,而我们时常会碰上给一个二元关系式,求解二元的最值,这也是高考的一个热门考点。不妨以一个引例开启今日的探究之旅。
【分析】条件的给出还是相当的自然简洁,抛出的问题虽是一个2次式,但整体还是比较“和谐”,解题思路也能轻松地获取多种.首先,很显然,多元问题可首要采取化为单元处理的方法,即消元,采用函数思想;其次,若不化为单元,那就保留二元处理,关注到“x+y,xy,x2+y2”是组成重要不等式的主要三个表达式,因此可从重要不等式的角度切入.
【思路一】函数的思想(消元)
(这个问题就这么愉快地解决了!)
【思路二】重要不等式(配凑)
(所求表达式中的x2+y2通过配凑成完全平方式后再利用重要不等式即得出结果,快哉!)
【反思】消元的函数思想及双元的均值不等式都是平常教学的重点,是解决问题的通性通法,需要熟练掌握. 可现实总不是那么地美好,不妨来看下面这一个问题:
【例1】(11年浙江文16)
【分析】看出来了吧,这才是“真题”,总是不让人那么地爽快,还想“消元”?似乎很困难;重要不等式倒是可以试一试.
【思路一】重要不等式(配凑)
【反思一】始终抓住要求的主体“x+y”,不管是“变形”还是“放缩”,一切都向它看齐,胜利也就在不远的前方了。那“消元”真的就行不通吗?若从条件x2+y2 +xy=1中去用一个元表示另一个元,不是不可以,只是需要借助求根公式,那估计就把问题难度加大了,但若从所求的x+y出发,引例中是已知x=y=1,不妨此题中如下操作:
【思路二】方程的思想(设k法)
【反思二】所求的x+y不妨设为参数k,然后则是“消元”,如此“消”法显然比用求根公式来得让人舒坦,接着整理成一个关于x的方程,显然方程必须有解,一切都是顺其自然,毫无违和。若我们关注到条件是一个2次式,所求的又是一个1次式,为让形式上能尽量统一,是否又可以有以下操作呢?
【思路三】化为齐次式(凑“1”)
【反思三】整个过程最为巧妙地在于分母凑“1”的应用,目的便是化为分子分母齐次,再通过分离常数、重要不等式获取最大值,不失为一种妙法!同时不妨思考一下,既然可以平方加高次方化为齐次,是否也可以降低次方化齐次呢?
【思路四】构造向量法
【反思四】通过对条件的变形,配凑成平方和形式,构造向量来降低次方,注意另一个向量的构造结合所求表达式来配系数,技巧性略强,但却可以领略一下向量的强大威力。
下面我们不妨来瞧瞧当年的理科16题:
【例2】(11年浙江理16)
【分析】显然相比于文科题只是一点系数的差别,可别小瞧数学中的任意一点小小的、也许只是一个数字、一个符号,有时会引起天翻地覆的变化,可是思想方法却是不变的。那下面不妨用以上几种思想切入。
【思路一】重要不等式(配凑)
【思路四】构造向量法
数学家波利亚说:“没有一道题目是可以解决得十全十美的,总能剩下些工作要做,经过充分的探讨总结,总会有点滴发现,总能改进这个解答,而且在任何情况下,我们都能提高自已对这个解答的理解水平.”
所以,我们不能说问题“解决了”,也许还有许多有待我们去发现的新“问题”,用新的方法、新的角度去探索;也许永远没有“彼岸”;也许路途是曲折的,但别忘记:沿途的风景总是那么地美好!
曾 蓉2020.9.16
作者曾蓉往期文章链接:
2.抛物线上的动点到顶点与焦点距离之比的最大值试题的几个解法
长按或扫描二维码关注本公众号!
投稿邮箱:zoushengshu@163.com;
商务联系:13297228197。