请点击上方蓝色字体“邹生书数学”,订阅本微信公众号;请点击右上角的“…”,发送给朋友或分享到朋友圈。
公众号“邹生书数学”创建于2018年8月28日。
开号宗旨:为热爱学习和研究的高中数学教师和教研员搭建学习交流平台,提升教学能力,促进专业发展。本公众号致力传播数学文化,发表教研成果,交流教学经验,探讨数学问题,展示解题方法,分享教学资源,为服务高中教学作贡献。
邹生书,男,1962年12月出生,本科学历,理学士学位,中学数学高级教师,黄石市高中数学骨干教师。主要从事高中数学教学、高中数学解题研究和探究性学习等。从2007年8月到2018年8月,在《数学通讯》《数学通报》《数学教学》《中学数学》《中学数学教学》等,二十多种学术期刊上发表解题和探究性学习文章300余篇。
公众号“邹生书数学”诚请高中数学教师、教研员和热爱数学的朋友不吝赐稿。来稿请注明真实姓名、工作单位和联系方式,一般只接受word文档格式的电子稿件,文稿请认真审查,防止错漏,确保无误,文责自负。
投稿邮箱:zoushengshu@163.com;
商务联系:13297228197。
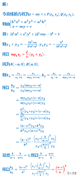
解析几何中,有一个被称之为“提笔写”的过程,
有责任心的老师,一定会再三强调,在考试时一定、一定要写个固定的程序。
01
设直线方程和点的坐标
02
联立方程组
03
消元
04
写韦达定理
于很多同学来说,这几个步骤,真的是至关重要的。
毕竟,除了它们,可能你再也找不到,还能得分的地方了。
当然,对于高手来说,后面还能坚持多长时间,完全取决于自己的计算和化简能力了。
所以,强烈建议你试试下面这题。
这个题的“提笔写”过程是这样的:
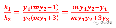
如果后面的条件或结论中,满眼尽是y1、y2的对称式结构,那绝对是非常理想、让人兴奋的。
可是,往往事与愿违。
要计算的结果,偏偏是这样的……
确实是尴尬了,y1、y2出现了非对称式结构!
那还能愉快地进行下去么?
只有闷头练自己的计算能力了,利用韦达式消元,统一下y1或y2就好。
呵呵,说起来可简单了……
其实,真正有思想的,是按照下面这种方式处理的:
确实,这里利用韦达式中的和与差之间的关系,将积式化为和式,整体代入,实在是简洁的不要不要的了。
以后,如果遇到了非对称式的结构,不妨将这种思路作为一种经验,先试一试。
有可能会产生意想不到的效果的。
1
闲极无聊的时候,我又将这个题的结论做了一般化处理,得到了一个一般化的结论。
这个美好的结局,应该也是不错的了。
是不是,很有成就感了呢!
1
其实,因为题中并没有对C、D的位置做特别的要求,因此,这个题目也就很有意思了。
能否得出一个一般性的结论,也是值得你去思考的。
不过,这里对于双根的非对称性结构的处理方式,也是非常值得你去留意的。
还是那句话:
得数学者得高考,
得代数者得数学。
代数变形的经验,确实是值得我们总结的。
以后遇到这种双根的非对称式结构,就不要傻傻地只是代入消元了。
无论是积变和,还是常数替换,都是值得自己去试一试的。
1
最后,还是想巩固下第一种思路。
也许,对许多的孩子们来说,可能还是第一次看到积化和的这种思路的。
转自:素人素言
公众号《邹生书数学》
近期最受读者欢迎的34篇解题文章链接
(20200619——20200824)
33.邹生书——二次函数方程a[f(x)]^2+bf(x)+c=0实根问题的求解通法
32.邹生书——椭圆定义与解三角形联手再解天津高考解析几何题
20.马力仲2020年高考数学试题分析讲座第四讲——整体把握结构稳定 着眼细节字母可变
19.万志红、张长新||2020年全国一卷文科导数题——如何找点?
18.刘 锐——2020年山东新高考数学试卷压轴题的几个解法
16.张国川:游离在高考岸边的“数学美”——斜率问题的齐次化构造解法
15.万志红、张长新、黎良琛——2020年新课标Ⅰ卷 · 理20 · 一题多解
13.马力仲——2020年高考试题分析第一讲:知识背景成解题障碍,五音不全怎理解和弦
12.连毅端——2020年全国1卷理科数学第11题的两个解法
11.邹生书——2020年高考全国一卷第20题直线过定点问题的 简证与变式 拓展与背景
10.洪一平、刘锐——圆中同起点动弦向量数量积最小值难题的八种解法 你知道几种?
5.“对数单身狗,指数找朋友”到底讲的是什么?——这或许是你见过最全面的解析!!!
4.张伟、邹生书——不等式恒成立求双参数式子最值的方法与命题背景
3.刘 锐:一道“指对幂”混合不等式恒成立求参数取值范围问题的解决
长按或扫描二维码关注本公众号!
投稿邮箱:zoushengshu@163.com;
商务联系:13297228197。