请点击上方蓝色字体“邹生书数学”,订阅本微信公众号;请点击右上角的“…”,发送给朋友或分享到朋友圈。
公众号“邹生书数学”创建于2018年8月28日。
开号宗旨:为热爱学习和研究的高中数学教师和教研员搭建学习交流平台,提升教学能力,促进专业发展。本公众号致力传播数学文化,发表教研成果,交流教学经验,探讨数学问题,展示解题方法,分享教学资源,为服务高中教学作贡献。
邹生书,男,1962年12月出生,本科学历,理学士学位,中学数学高级教师,黄石市高中数学骨干教师。主要从事高中数学教学、高中数学解题研究和探究性学习等。从2007年8月到2018年8月,在《数学通讯》《数学通报》《数学教学》《中学数学》《中学数学教学》等,二十多种学术期刊上发表解题和探究性学习文章300余篇。
公众号“邹生书数学”诚请高中数学教师、教研员和热爱数学的朋友不吝赐稿。来稿请注明真实姓名、工作单位和联系方式,一般只接受word文档格式的电子稿件,文稿请认真审查,防止错漏,确保无误,文责自负。
投稿邮箱:zoushengshu@163.com;
商务联系:13297228197。
彭光焰
(湖北省广水市第一高级中学432700)
摘 要:在教学中利用好典型例题,引导学生对课本的例题、习题进行多解、变式、迁移、整合、拓展,可以提高学生分析问题和解决问题的能力。
关键词:函数;最值;思路分析;解法
课本是几代人集体智慧的结晶,它具备相当完备的知识体系和能力架构系统,其中的例题和习题是学生解题能力的核心生长点,有些典型例习题由于其自身所蕴含的数学概念、数学思想、数学方法非常突出。因此,在教学中利用好典型例习题,不仅可以在教学中强化基本概念、定义的教学,还要引导学生重视并运用定义解题,引导学生对课本的例题、习题进行多解、变式、迁移、整合、拓展。因此,在教学中要切实把握好概念教学,这样既能提升学生运用数学概念分析问题和解决问题的能力,又能提升学生数学素养。
一、题目
此题目是《普通高中课程标准实验教科书数学选修 4-5 人教A版不等式选讲》第35页例2。
二、解法探讨
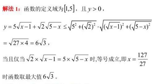
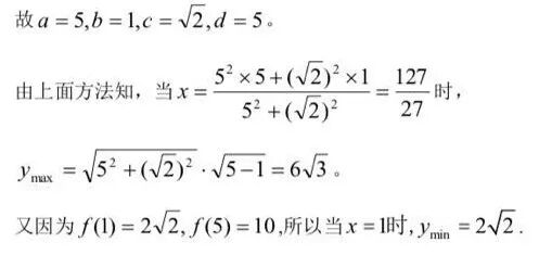
1. 利用柯西不等式函数的最值
的左边为平方和的积的形式,右边为积的和的平方形式,因此考虑运用柯西不等式进行求解。
此解法是人教A版选修4-5提供的。
2. 利用判别式求函数最值
思路分析2: 把函数转化为关于x的一元二次方程f(x)=0。由于方程有实根,故判别式△≥0,求得原函数的值域。
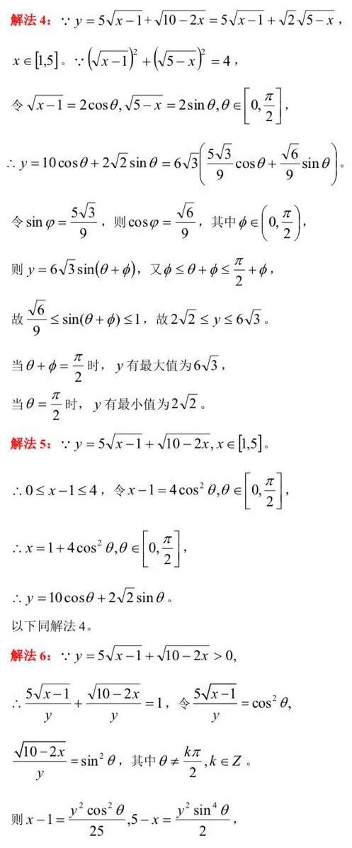
4. 利用三角换元求函数的最值
思路分析4:利用三角恒等式sin2α+cos2α=1,将所给函数转化为值域容易确定的另一函数,进而求得函数最值。
6. 利用方差求函数的最大值
思路分析6: 方差公式在数学解题中有着极其广阔的应用价值,充分利用方差s2非负性求函数最大值。
8. 利用拉格朗日乘数法求函数最值
上面探讨可知,柯西不等式法,向量法,方差法只能求出函数的最大值,其它7种方法不仅可以求出最大值,而且可以求出最小值。
三、教学启示
在平时的习题教学中,我们如果善于运用一题多解, 既发挥了例题的最大功效,拓宽了学生的学习视野,培养了学生的综合思维能力和创新能力,也提高了学生应试能力。
参考文献:
[1]人民教育出版社课程教材研究所.不等式选讲(A版)[M].北京:人民教育出版社,2007年1月第2版:35.
作者彭光焰往期文章链接
公众号《邹生书数学》
近期最受读者欢迎的34篇解题文章链接
(20200619——20200824)
33.邹生书——二次函数方程a[f(x)]^2+bf(x)+c=0实根问题的求解通法
32.邹生书——椭圆定义与解三角形联手再解天津高考解析几何题
20.马力仲2020年高考数学试题分析讲座第四讲——整体把握结构稳定 着眼细节字母可变
19.万志红、张长新||2020年全国一卷文科导数题——如何找点?
18.刘 锐——2020年山东新高考数学试卷压轴题的几个解法
16.张国川:游离在高考岸边的“数学美”——斜率问题的齐次化构造解法
15.万志红、张长新、黎良琛——2020年新课标Ⅰ卷 · 理20 · 一题多解
13.马力仲——2020年高考试题分析第一讲:知识背景成解题障碍,五音不全怎理解和弦
12.连毅端——2020年全国1卷理科数学第11题的两个解法
11.邹生书——2020年高考全国一卷第20题直线过定点问题的 简证与变式 拓展与背景
10.洪一平、刘锐——圆中同起点动弦向量数量积最小值难题的八种解法 你知道几种?
5.“对数单身狗,指数找朋友”到底讲的是什么?——这或许是你见过最全面的解析!!!
4.张伟、邹生书——不等式恒成立求双参数式子最值的方法与命题背景
3.刘 锐:一道“指对幂”混合不等式恒成立求参数取值范围问题的解决
长按或扫描二维码关注本公众号!
投稿邮箱:zoushengshu@163.com;
商务联系:13297228197。
公众号《邹生书数学》
最受读者欢迎的柒拾篇解题文章链接
(20191018——20200618)
2.“端点效应”模考压轴题的三种解法——分类讨论 洛必塔 导数定义(修正版)
4.刘锐——六构函数解答一道“指对混合”方程参数取值范围难题
6.李鸿昌——函数f(x)=2sinx+sin2x最小值的多解与变式探究
7.老唐说题——导数压轴题之同构式的三“生”三“释”+8个典型试题教你学同构
10.李鸿昌——绕开洛必达,回归导数概念,求解“0/0”端点效应高考压轴题
13.袁方、洪一平、邹生书——运用“等积线”求解一类条件最值问题
18.深度好文|用通性、通法解导数压轴题——全国理数一卷近三年导数题研究及2020年导数题预测
20.洛必塔法则 零点定理取点 函数凹凸性 三种法解一道“端点效应”难题
21.阳友雄:拉格朗日中值定理及其应用——不等式证明的又一大利器!!!
24.九市联盟2020届数学理科核心模拟卷三份及参考答案与评分细则
26.高考数学冲刺专题——解析几何(正高级,特级教师夏远景)
27.巧用“等和线”解决平面向量问题,怎一个“妙”字了得!!!
28.解答高考选择题的八大策略——教你如何灵活、高效、精准拿分!!!
43.曾蓉——轨迹法处理一类解三角形最值问题之一 阿波罗尼斯圆
53.曹凤山:年年考向量 岁岁数与形 ———浙江省自主命题以来向量试题特点评析
55.万尔遐、汪跃中——探讨高考数学命题人如何编定概率统计的试题
62.魏立国——不等式e^x ≥ x+1和+ln(x+1)≤X的应用
63.一道取值范围试题的七个解法四个结果!谁对谁错?问题出在哪?
64.【美不胜收】求解动点轨迹方程的的七种解法------全方位,无死角!!!
长按或扫描二维码关注本公众号!
投稿邮箱:zoushengshu@163.com;
商务联系:13297228197。