请点击上方蓝色字体“邹生书数学”,订阅本微信公众号;请点击右上角的“…”,发送给朋友或分享到朋友圈。
公众号“邹生书数学”创建于2018年8月28日。
开号宗旨:为热爱学习和研究的高中数学教师和教研员搭建学习交流平台,提升教学能力,促进专业发展。本公众号致力传播数学文化,发表教研成果,交流教学经验,探讨数学问题,展示解题方法,分享教学资源,为服务高中教学作贡献。
邹生书,男,1962年12月出生,本科学历,理学士学位,中学数学高级教师,黄石市高中数学骨干教师。主要从事高中数学教学、高中数学解题研究和探究性学习等。从2007年8月到2018年8月,在《数学通讯》《数学通报》《数学教学》《中学数学》《中学数学教学》等,二十多种学术期刊上发表解题和探究性学习文章300余篇。
公众号“邹生书数学”诚请高中数学教师、教研员和热爱数学的朋友不吝赐稿。来稿请注明真实姓名、工作单位和联系方式,一般只接受word文档格式的电子稿件,文稿请认真审查,防止错漏,确保无误,文责自负。
投稿邮箱:zoushengshu@163.com;
商务联系:13297228197。
对一道三角形面积最小值问题的解法再研讨
湖南永州 唐 佳
陕西澄城县庄头中学 魏拴文
湖北省阳新县高级中学 邹生书
题目:已知△ABC,A=60°,内切圆半径为1,求△ABC面积的最小值。
解法1:如图,设△ABC的内切圆圆心为I,圆与三边的切点分别为D,E,F.
由切线长定理可得∠FAI=30°,AE=AF=√3,设三角形三边长分别为a,b,c。
根据切线长定理:三角形的任意一个顶点到其内切圆的切线长,等于以这个点为端点的两边之和与对边之差的一半。
得√3=0.5(b+c-a),则a=b+c-2√3.
又给结合余弦定理可得
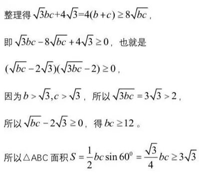
b2+c2-bc=a2=(b+c-2√3)2,
即(b+c)2-3bc=(b+c)2-4√3(b+c)+12,
当三角形为等边三角时,等号成立。
故△ABC面积的最小值为3√3。
当三角形为等边三角时,等号成立。
故△ABC面积的最小值为3√3。
解法3 陕西澄城县庄头中学 魏拴文 提供
当三角形为等边三角时,等号成立。
故△ABC面积的最小值为3√3。
解法4 设BD=BF=x,CD=CE=y,
解法6 陕西澄城县庄头中学 魏拴文 提供
当三角形为等边三角时,等号成立。
故△ABC面积的最小值为3√3。
解法7 湖南永州 唐 佳 提供
故△ABC面积的最小值为3√3。
评注:由解法6和解法知,在解答中没有用到A=60°这一条件,由此可得更一般性结论:内切圆半径为1的三角形面积的最小值是3√3,当三角形为等边三角形时,取得最小值。增加60度角这一条件,解法更加多样和灵活。
相关文章链接:
公众号《邹生书数学》
近期最受读者欢迎的34篇解题文章链接
(20200619——20200824)
33.邹生书——二次函数方程a[f(x)]^2+bf(x)+c=0实根问题的求解通法
32.邹生书——椭圆定义与解三角形联手再解天津高考解析几何题
20.马力仲2020年高考数学试题分析讲座第四讲——整体把握结构稳定 着眼细节字母可变
19.万志红、张长新||2020年全国一卷文科导数题——如何找点?
18.刘 锐——2020年山东新高考数学试卷压轴题的几个解法
16.张国川:游离在高考岸边的“数学美”——斜率问题的齐次化构造解法
15.万志红、张长新、黎良琛——2020年新课标Ⅰ卷 · 理20 · 一题多解
13.马力仲——2020年高考试题分析第一讲:知识背景成解题障碍,五音不全怎理解和弦
12.连毅端——2020年全国1卷理科数学第11题的两个解法
11.邹生书——2020年高考全国一卷第20题直线过定点问题的 简证与变式 拓展与背景
10.洪一平、刘锐——圆中同起点动弦向量数量积最小值难题的八种解法 你知道几种?
5.“对数单身狗,指数找朋友”到底讲的是什么?——这或许是你见过最全面的解析!!!
4.张伟、邹生书——不等式恒成立求双参数式子最值的方法与命题背景
3.刘 锐:一道“指对幂”混合不等式恒成立求参数取值范围问题的解决
长按或扫描二维码关注本公众号!
投稿邮箱:zoushengshu@163.com;
商务联系:13297228197。