请点击上方蓝色字体“邹生书数学”,订阅本微信公众号;请点击右上角的“…”,发送给朋友或分享到朋友圈。
公众号“邹生书数学”创建于2018年8月28日。
开号宗旨:为热爱学习和研究的高中数学教师和教研员搭建学习交流平台,提升教学能力,促进专业发展。本公众号致力传播数学文化,发表教研成果,交流教学经验,探讨数学问题,展示解题方法,分享教学资源,为服务高中教学作贡献。
邹生书,男,1962年12月出生,本科学历,理学士学位,中学数学高级教师,黄石市高中数学骨干教师。主要从事高中数学教学、高中数学解题研究和探究性学习等。从2007年8月到2018年8月,在《数学通讯》《数学通报》《数学教学》《中学数学》《中学数学教学》等,二十多种学术期刊上发表解题和探究性学习文章300余篇。
公众号“邹生书数学”诚请高中数学教师、教研员和热爱数学的朋友不吝赐稿。来稿请注明真实姓名、工作单位和联系方式,一般只接受word文档格式的电子稿件,文稿请认真审查,防止错漏,确保无误,文责自负。
投稿邮箱:zoushengshu@163.com;
商务联系:13297228197。
转自:数学大卡车
本文资料整理自以下微信公众号:(一并致谢)
高中数学资料分享464397488,高中数学小怪兽,
高中数学解题研究会339444963, 老阳讲数学
专硕数学王欢, 慧源数学,青年墨色,
不可靠的数学疯子,坚果数学,高中数学之窗
数学解题之路,芝诺的乌龟和兔子
贝努利不等式的 “前世今生”
目录:
(一)“倍努力” 家族
(二)贝努利不等式的证明
(三)贝努利不等式的变式及其证明
(四)贝努利不等式的推广及应用
(五)贝努利不等式在高考中的应用
(六)导数与贝努利不等式
(七)数列放缩与贝努利不等式
(八)贝努利不等式与竞赛、大学数学
(一):“倍努力” 家族
这个家族真的很努力,很有天赋,所以我称他们为 “倍努力”。
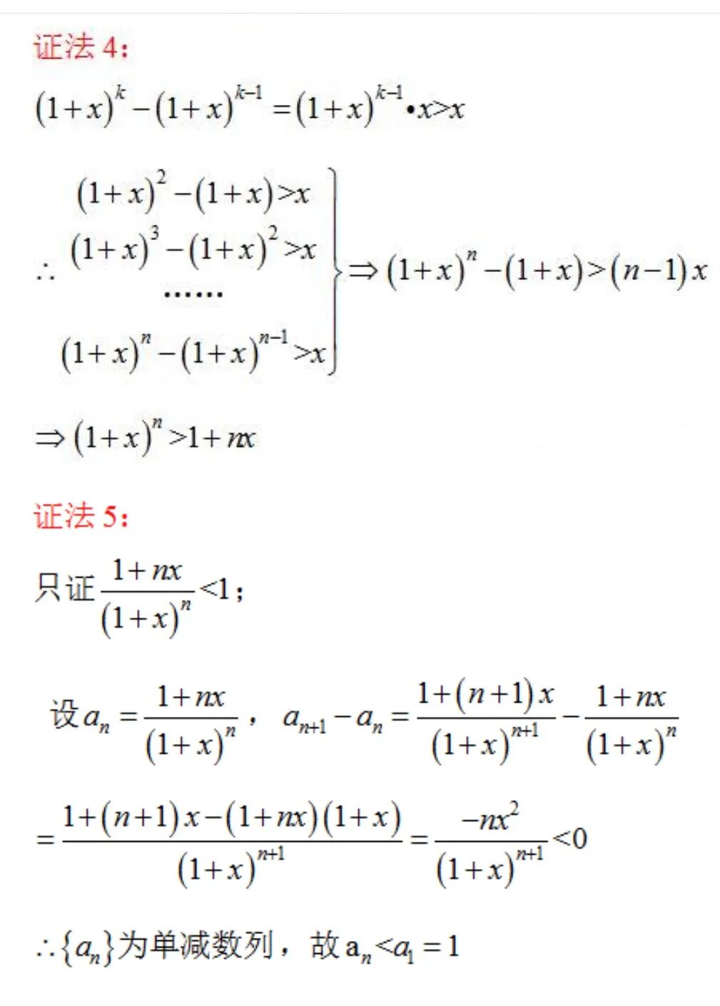
(二):贝努利不等式的证明
其它五种证明方法:
三:贝努利不等式的变式及其证明
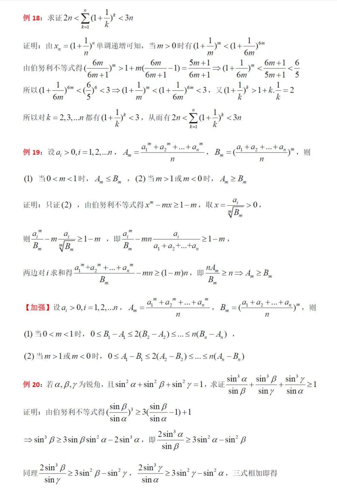
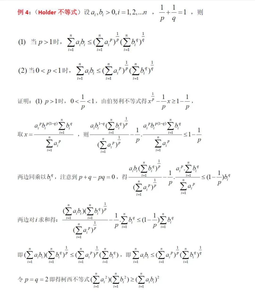
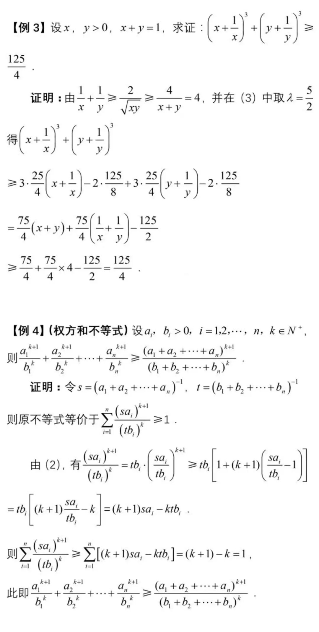
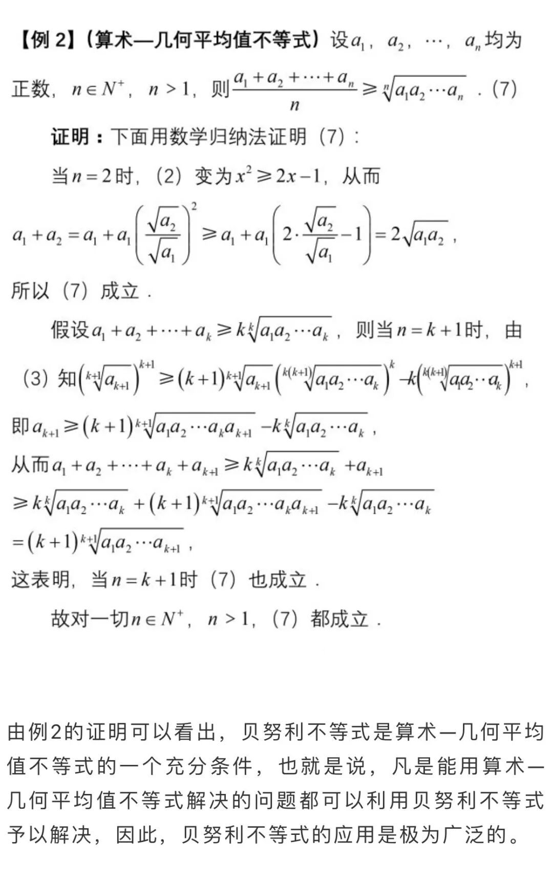
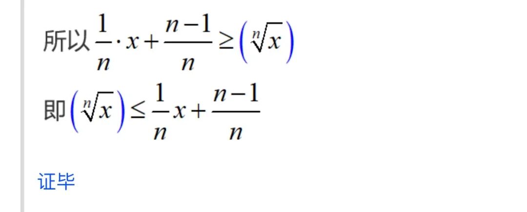
四:贝努利不等式的推广与应用
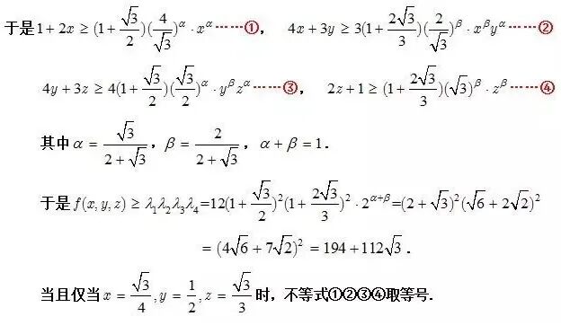
五:贝努利不等式在高考中的应用
系列1:
系列2:
系列3:
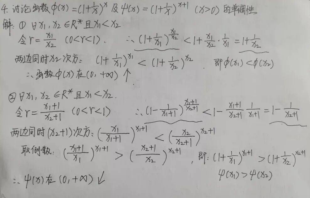
六:导数与贝努利不等式
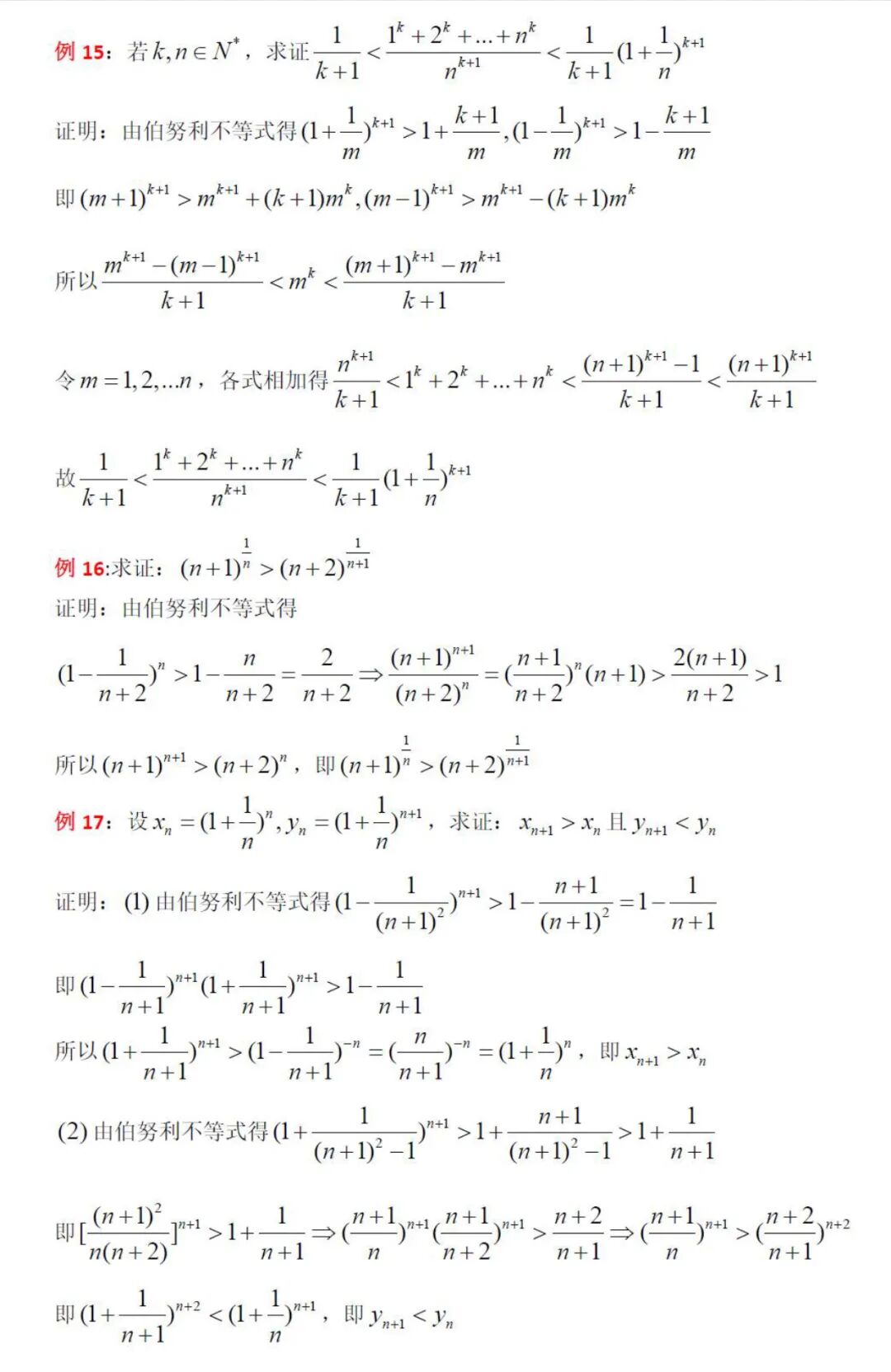
七:数列放缩与贝努利不等式
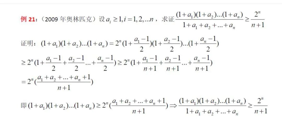
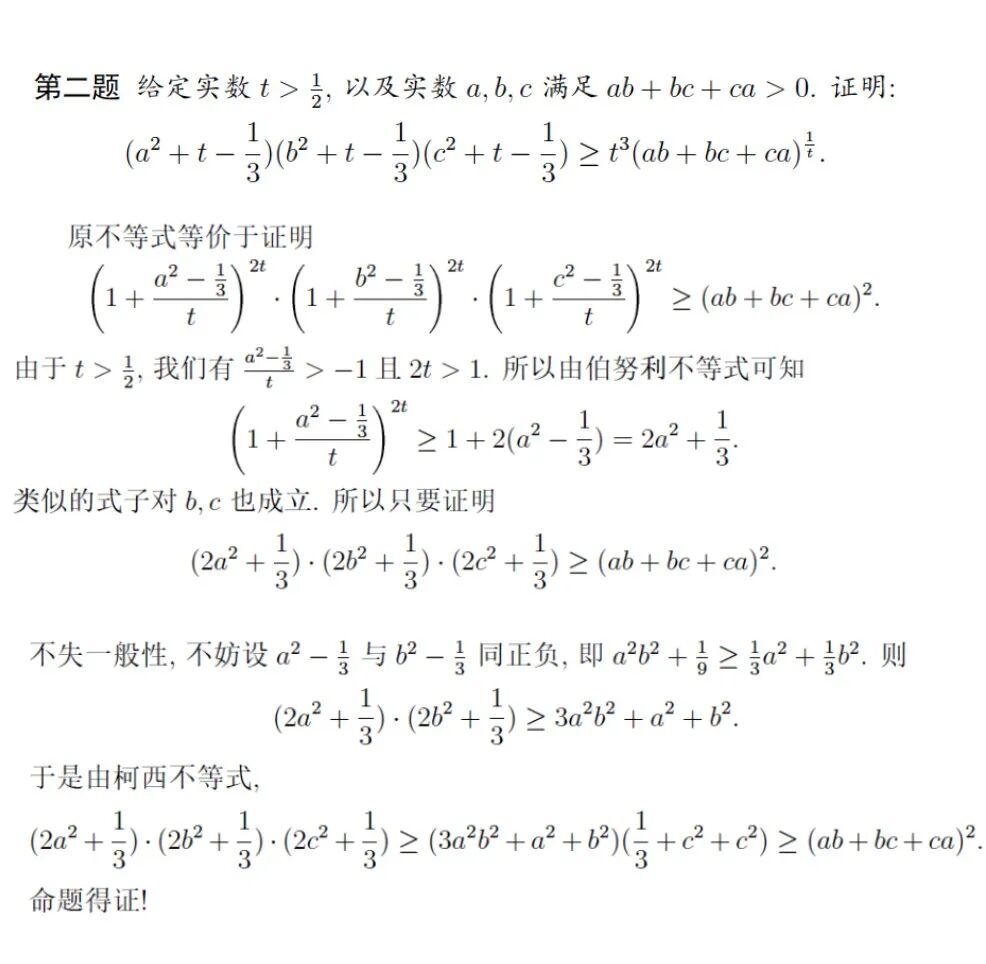
八:贝努利不等式与竞赛、大学数学
公众号《邹生书数学》
近期最受读者欢迎的34篇解题文章链接
(20200619——20200824)
33.邹生书——二次函数方程a[f(x)]^2+bf(x)+c=0实根问题的求解通法
32.邹生书——椭圆定义与解三角形联手再解天津高考解析几何题
20.马力仲2020年高考数学试题分析讲座第四讲——整体把握结构稳定 着眼细节字母可变
19.万志红、张长新||2020年全国一卷文科导数题——如何找点?
18.刘 锐——2020年山东新高考数学试卷压轴题的几个解法
16.张国川:游离在高考岸边的“数学美”——斜率问题的齐次化构造解法
15.万志红、张长新、黎良琛——2020年新课标Ⅰ卷 · 理20 · 一题多解
13.马力仲——2020年高考试题分析第一讲:知识背景成解题障碍,五音不全怎理解和弦
12.连毅端——2020年全国1卷理科数学第11题的两个解法
11.邹生书——2020年高考全国一卷第20题直线过定点问题的 简证与变式 拓展与背景
10.洪一平、刘锐——圆中同起点动弦向量数量积最小值难题的八种解法 你知道几种?
5.“对数单身狗,指数找朋友”到底讲的是什么?——这或许是你见过最全面的解析!!!
4.张伟、邹生书——不等式恒成立求双参数式子最值的方法与命题背景
3.刘 锐:一道“指对幂”混合不等式恒成立求参数取值范围问题的解决
长按或扫描二维码关注本公众号!
投稿邮箱:zoushengshu@163.com;
商务联系:13297228197。