请点击上方蓝色字体“邹生书数学”,订阅本微信公众号;请点击右上角的“…”,发送给朋友或分享到朋友圈。
公众号“邹生书数学”创建于2018年8月28日。
开号宗旨:为热爱学习和研究的高中数学教师和教研员搭建学习交流平台,提升教学能力,促进专业发展。本公众号致力传播数学文化,发表教研成果,交流教学经验,探讨数学问题,展示解题方法,分享教学资源,为服务高中教学作贡献。
邹生书,男,1962年12月出生,本科学历,理学士学位,中学数学高级教师,黄石市高中数学骨干教师。主要从事高中数学教学、高中数学解题研究和探究性学习等。从2007年8月到2018年8月,在《数学通讯》《数学通报》《数学教学》《中学数学》《中学数学教学》等,二十多种学术期刊上发表解题和探究性学习文章300余篇。
公众号“邹生书数学”诚请高中数学教师、教研员和热爱数学的朋友不吝赐稿。来稿请注明真实姓名、工作单位和联系方式,一般只接受word文档格式的电子稿件,文稿请认真审查,防止错漏,确保无误,文责自负。
投稿邮箱:zoushengshu@163.com;
商务联系:13297228197。
巧用教材资源命制高考试题
对2014年湖北省高考文科数学第17题的探究
湖北省广水市一中 彭光焰
一、问题
(2014年湖北省高考文科数学第17题)
这道题短小精悍,个性鲜明,内涵丰富,乃整张试卷中的一个亮点,命题者以阿波罗圆为背景,将解析几何知识与代数中方程思想融为一体,具有一定的思维量.
二、教材背景
问题1(人教社A版必修2课本第124页习题B组第3题)已知点M与两个定点O(0,0),A(3,0)的距离的比为1/2,求M的轨迹方程.
问题2(人教社A版必修2课本第140页例题)已知点P(2,0),Q(8,0),点M与点P的距离是它与点Q的距离的1/5,用《几何画板》探究点M的轨迹,并给出轨迹的方程.
问题3(人教社A版必修2课本第144页复习参考题B组第2题)已知点M(x,y)与两个定点M1,M2距离比是一个正数m,求点M的轨迹方程,并说明轨迹是什么图形(考虑m=1或m≠1两种情形).
对于问题3,我们不难发现:当m≠1时,点M的轨迹是圆;当m=1时,点M的轨迹是直线.这一结论,早在公元前就被古希腊著名的数学家阿波罗尼斯发现了,人们把这样的圆称为阿波罗圆,直线称为阿波罗直线.
表面上看问题与阿波罗圆没有多大关系,而深层次思考,此题就是考查阿波罗圆.该问题实质上是探究阿波罗圆相关知识的可逆性,这对学生而言是应属创新性思维,这种创新性思维可以不断激发学生创新欲望之目的.
三、问题的解决
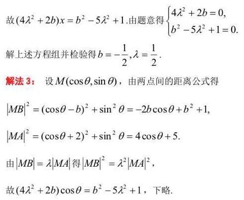
解法1、解法2、解法3都利用了方程思想.我们知道一元一次方程的一般形式是ax=b,它的解的情况是:当a≠0时,它的解是x=b/a;当a=0且b≠0时,它的解集是空集;当a=0且b=0时,它的解集是实数集.作为填空题或选择题用解法1好,作为解答题应该用解法2或解法3.
四、问题的研究
著名数学教育家波利亚说过:“没有一道题是可以解决得十全十美的,总剩下些工作要做,经过充分的探讨与研究,总会有点滴的发现,总能改进这个解答,而且在任何情况下,我们都能提高自己对这个解答的理解水平.”他打比方说:“在你找到第一个蘑菇(或作出第一个发现)后,要环顾四周,因为它们总是成堆生长的.”我们从课本三个例习题出发,首先找出它们的背景,然后研究它们,可得到一些结论.
1.变式的研究
通过问题和变式,我们得到下列结论:
(1)给定两个定点以及定比(不为1)对应的阿波罗圆是唯一确定.
(2)给定两个定点及不同的定比(不为1)对应着不同的阿波罗圆.
(3)阿波罗圆的圆心应该在两个定点所确定的直线上.
(4)若给出阿波罗圆及一个定点,则另一定点及定比是唯一确定.
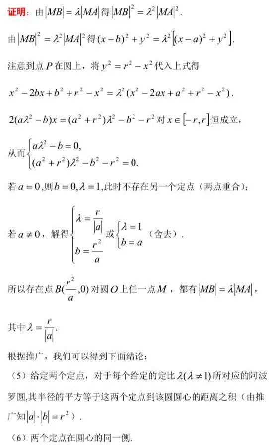
2.推广研究
3.拓展研究
阿波罗圆涉及两个定点、定比(不为1)、阿波罗圆、过定点和阿波圆圆心所确定的直线.从求阿波罗圆过程可知,已知两个定点和定比(不为1),我们可以求出阿波罗圆的方程.从2014年湖北省高考题可知,已知阿波罗圆和一定点,可以求出另一个定点及定比.不仅如此,已知阿波罗圆及两个定点,我们容易得到定比.已知阿波罗圆和过阿波罗圆的圆心的直线及定比,我们可以求出两个定点的坐标和定比的值.
当过阿波罗圆圆心的直线为y轴时,我们也可以求出两个定点的坐标.
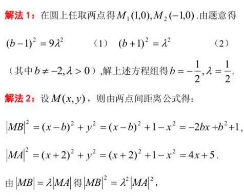
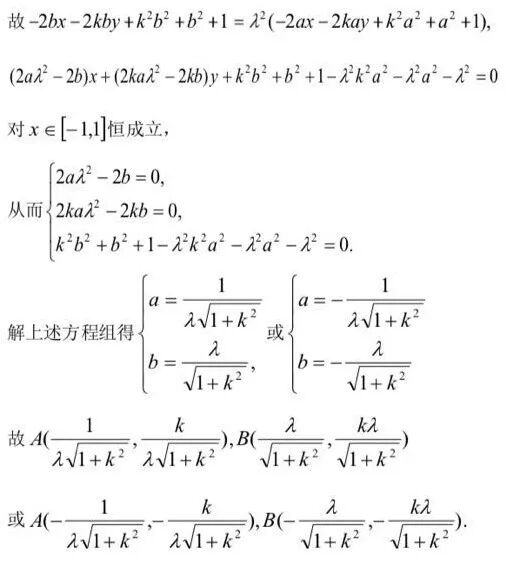
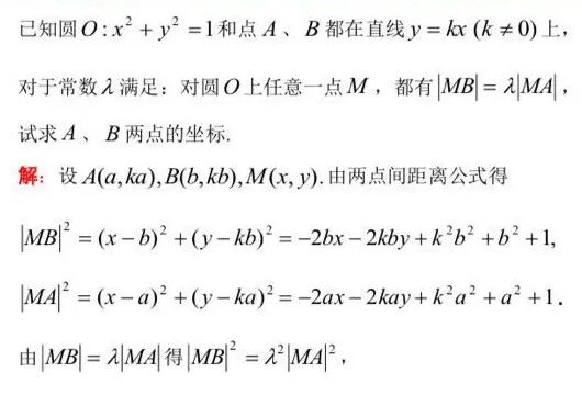
下面我们来讨论更一般的情况,当过阿波罗圆圆心的直线为y=kx时的情形.
五、反思
前苏联数学教育家奥加涅相说过:“必须重视很多习题潜在着进一步扩展其数学功能、发展功能和教育功能的可行性.”中学数学教材中的例习题凝聚了几代专家、学者的集体智慧和结晶,研究这些例习题,充分挖掘其内在功能的教育教学价值是一线教师责无旁贷的任务.
课本上一些看似平淡无奇的例习题,隐藏着深远的背景,也许有着意想不到的功能.如果对教材中的例习题仅停留在它的表面,而不探究它的本质,那么就会失去例习题的内涵与新意,也会失去提升学生学习能力的作用,不利于我们教学的开展与深入,不利于学生思维能力的培养.课本上三道例习题,表面上只是简单的求轨迹问题,似乎功能单一.但是,通过教师的精心安排,通过对它们背景揭示,逆向思考,这样一组问题的设置和探究,例习题的启发作用就发挥得淋漓尽致.
教师应引领学生系统把握前后关联知识的内在联系.数学教材中不同部分内容之间有时潜藏着有机的联系,这种有机联系同样反应在课本例题或习题中.教师在上新课或高考复习中应该注重挖掘,沟通其联系,找出其背景,适时对有着关联的各部分例题和习题进行整合、重组、演变、推广,使学生能通过这些变化与联系,从不同侧面和多种角度更加深入地把握问题的本质,如果只是孤立、片面地就题解题,毫无疑问是低效的教学方法.相反,运用运动变化、普通联系、辩证唯物的观点去分析、观察、探索一个数学问题,寻求例习题的内在变化规律及习题之间的联系,是提高教学效率的一种有效途径.
参考文献:
1.漆光宗.在探究教学中把握学生思考引向深入[J].中国数学教育(高中版),2014(5).
作者彭光焰往期文章链接
彭光焰:从“路径依赖”到“另辟蹊径” ———从几道三角题的解法谈起
彭光焰:全面理解 多方转化——一道分式函数最值问题的多角度审视
【作者简介】彭光焰,男,1989年6月毕业于华中师范大学数学系,正高级教师,湖北省特级教师。湖北省广水市第一高级中学副校长。2018年荣获中学数学教育最高奖“苏步青数学教育奖”,湖北省优秀中学数学教师,湖北省骨干教师,湖北省教育科学研究学术带头人,享受湖北省人民政府和随州市人民政府津贴专家,随州市首批学科带头人,随州市首批十大名师。随州市教研室高中数学兼职教研员,随州市高中数学学科核心团队成员,湖北省高中数学名师工作室和随州市高中数学名师工作室主持人,曾被华中师范大学聘为华中师范大学免费师范生导师,曾被《语数外学习》编辑部聘为编委。随州市第一届、第二届政协委员,广水市第五届、第八届政协委员。自1988年4月28日至今,先后在《中国教育报》《数学通报》《中学数学教学参考》《数学通讯》《中学数学》等全国30余家省级以上报刊发表文章160余篇,其中在核心期刊发表论文32篇,主持各级课题5项,参编高中数学教学用书6册,获地级以上教科研成果奖38项。
公众号《邹生书数学》
近期最受读者欢迎的34篇解题文章链接
(20200619——20200824)
33.邹生书——二次函数方程a[f(x)]^2+bf(x)+c=0实根问题的求解通法
32.邹生书——椭圆定义与解三角形联手再解天津高考解析几何题
20.马力仲2020年高考数学试题分析讲座第四讲——整体把握结构稳定 着眼细节字母可变
19.万志红、张长新||2020年全国一卷文科导数题——如何找点?
18.刘 锐——2020年山东新高考数学试卷压轴题的几个解法
16.张国川:游离在高考岸边的“数学美”——斜率问题的齐次化构造解法
15.万志红、张长新、黎良琛——2020年新课标Ⅰ卷 · 理20 · 一题多解
13.马力仲——2020年高考试题分析第一讲:知识背景成解题障碍,五音不全怎理解和弦
12.连毅端——2020年全国1卷理科数学第11题的两个解法
11.邹生书——2020年高考全国一卷第20题直线过定点问题的 简证与变式 拓展与背景
10.洪一平、刘锐——圆中同起点动弦向量数量积最小值难题的八种解法 你知道几种?
5.“对数单身狗,指数找朋友”到底讲的是什么?——这或许是你见过最全面的解析!!!
4.张伟、邹生书——不等式恒成立求双参数式子最值的方法与命题背景
3.刘 锐:一道“指对幂”混合不等式恒成立求参数取值范围问题的解决
长按或扫描二维码关注本公众号!
投稿邮箱:zoushengshu@163.com;
商务联系:13297228197。