请点击上方蓝色字体“邹生书数学”,订阅本微信公众号;请点击右上角的“…”,发送给朋友或分享到朋友圈。
公众号“邹生书数学”创建于2018年8月28日。
开号宗旨:为热爱学习和研究的高中数学教师和教研员搭建学习交流平台,提升教学能力,促进专业发展。本公众号致力传播数学文化,发表教研成果,交流教学经验,探讨数学问题,展示解题方法,分享教学资源,为服务高中教学作贡献。
邹生书,男,1962年12月出生,本科学历,理学士学位,中学数学高级教师,黄石市高中数学骨干教师。主要从事高中数学教学、高中数学解题研究和探究性学习等。从2007年8月到2018年8月,在《数学通讯》《数学通报》《数学教学》《中学数学》《中学数学教学》等,二十多种学术期刊上发表解题和探究性学习文章300余篇。
公众号“邹生书数学”诚请高中数学教师、教研员和热爱数学的朋友不吝赐稿。来稿请注明真实姓名、工作单位和联系方式,一般只接受word文档格式的电子稿件,文稿请认真审查,防止错漏,确保无误,文责自负。
投稿邮箱:zoushengshu@163.com;
商务联系:13297228197。
原函数法解抽象函数选择压轴题
湖北省阳新县高级中学 邹生书
高考模拟考试中出现了这样一类函数试题:题目已知条件是关于抽象函数f(x)和其导数的一个等式也就函数方程,要求考生通过推理论证判断函数f(x)或其导数等相关结论,这类题目综合性强,难度大,多以选择题中的压轴题出现。解决这类问题往往需要构建一个新函数g(x),然后通过求导利用函数的单调性等来解决问题。有趣的是还一个另类,一种特殊情形,我们可以通过新函数g(x)的导数解析式反求出所构造的这个新函数g(x),继而求出函数f(x)的解析式,从而化抽象为具体最终使问题得以解决,这就是所谓的原函数法,即已知导数解析式求原函数解析式的方法,高等数学叫不定积分。
通过网络查询知道原函数是这样定义的:
已知函数f(x)是一个定义在某区间的函数,如果存在可导函数F(x),使得在该区间内的任一点都有dF(x)=f(x)dx即F/(x)=f(x),则在该区间内就称函数F(x)为函数f(x)的原函数。
下面我们用求原函数法解答几道选择压轴难题。
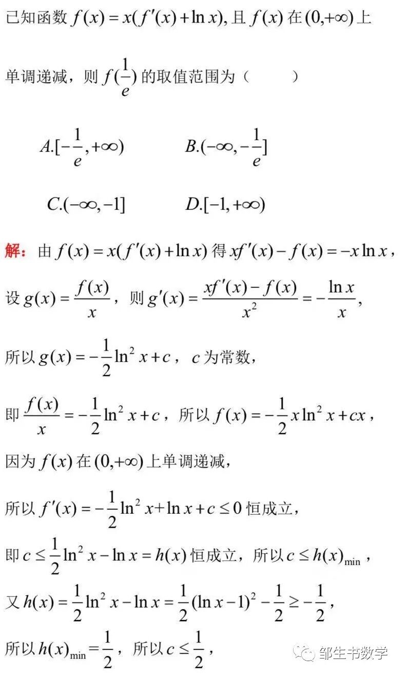
例1:江淮十校2021届高三第一次联考数学(理科)选择题12题
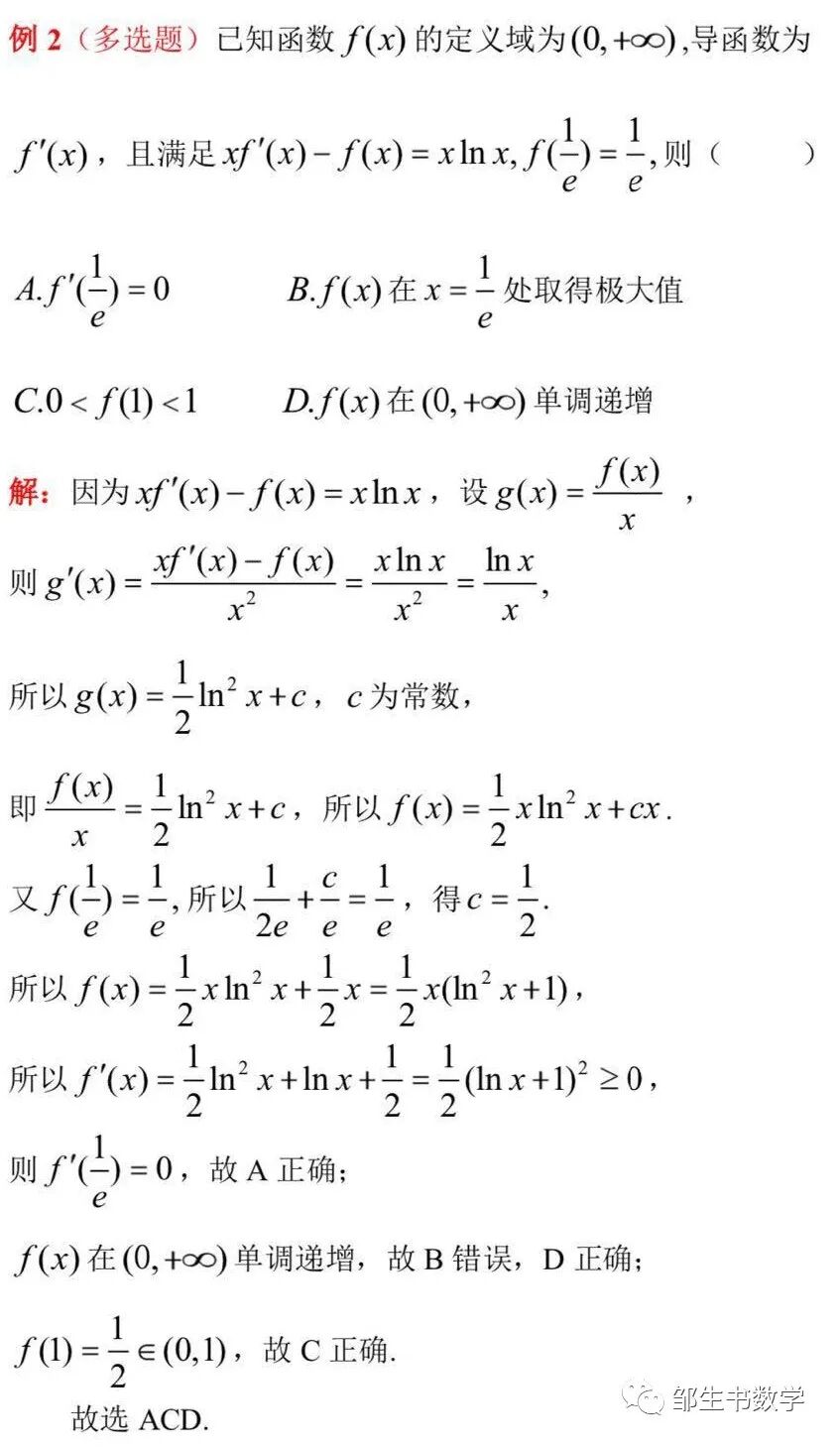
下面这道多项选择函数压轴题与上面这道题目如出一辙,也是只能用求原函数法求解。题目与解答如下:
注:现在多选题的评分细则是:每小题5,在每小题给出的四个选项中,有多项符合题目要求,全部选对得5分,部分选对得3分,有选错的得0分。
由评分细则知,如果象单选题一样只选出一个选项并且正确,就可以得3分。对于选项A我们可以用赋值法轻松搞定:
例3(湖北省部分重点中学2015届高三第二次联考理科数学第10题)
公众号《邹生书数学》
近期最受读者欢迎的34篇解题文章链接
(20200619——20200824)
33.邹生书——二次函数方程a[f(x)]^2+bf(x)+c=0实根问题的求解通法
32.邹生书——椭圆定义与解三角形联手再解天津高考解析几何题
20.马力仲2020年高考数学试题分析讲座第四讲——整体把握结构稳定 着眼细节字母可变
19.万志红、张长新||2020年全国一卷文科导数题——如何找点?
18.刘 锐——2020年山东新高考数学试卷压轴题的几个解法
16.张国川:游离在高考岸边的“数学美”——斜率问题的齐次化构造解法
15.万志红、张长新、黎良琛——2020年新课标Ⅰ卷 · 理20 · 一题多解
13.马力仲——2020年高考试题分析第一讲:知识背景成解题障碍,五音不全怎理解和弦
12.连毅端——2020年全国1卷理科数学第11题的两个解法
11.邹生书——2020年高考全国一卷第20题直线过定点问题的 简证与变式 拓展与背景
10.洪一平、刘锐——圆中同起点动弦向量数量积最小值难题的八种解法 你知道几种?
5.“对数单身狗,指数找朋友”到底讲的是什么?——这或许是你见过最全面的解析!!!
4.张伟、邹生书——不等式恒成立求双参数式子最值的方法与命题背景
3.刘 锐:一道“指对幂”混合不等式恒成立求参数取值范围问题的解决
长按或扫描二维码关注本公众号!
投稿邮箱:zoushengshu@163.com;
商务联系:13297228197。