请点击上方蓝色字体“邹生书数学”,订阅本微信公众号;请点击右上角的“…”,发送给朋友或分享到朋友圈。
公众号“邹生书数学”创建于2018年8月28日。
开号宗旨:为热爱学习和研究的高中数学教师和教研员搭建学习交流平台,提升教学能力,促进专业发展。本公众号致力传播数学文化,发表教研成果,交流教学经验,探讨数学问题,展示解题方法,分享教学资源,为服务高中教学作贡献。
邹生书,男,1962年12月出生,本科学历,理学士学位,中学数学高级教师,黄石市高中数学骨干教师。主要从事高中数学教学、高中数学解题研究和探究性学习等。从2007年8月到2018年8月,在《数学通讯》《数学通报》《数学教学》《中学数学》《中学数学教学》等,二十多种学术期刊上发表解题和探究性学习文章300余篇。
公众号“邹生书数学”诚请高中数学教师、教研员和热爱数学的朋友不吝赐稿。来稿请注明真实姓名、工作单位和联系方式,一般只接受word文档格式的电子稿件,文稿请认真审查,防止错漏,确保无误,文责自负。
投稿邮箱:zoushengshu@163.com;
商务联系:13297228197。
直线与圆中的那些最值问题
山西省朔州市朔城区一中 柴淑兰
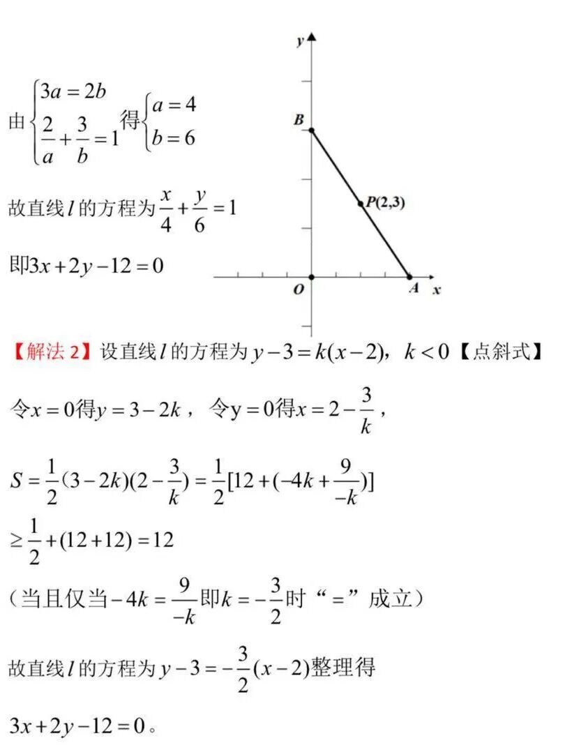
【解法3】【数形结合法】引入角,利用初中平面几何知识,用三角函数表示面积,去研究最值取得的条件,获得斜率,直接写方程【直接法】
【练习二】
阿波罗尼斯是古希腊数学家,他与阿基米欧,欧几里得被称为亚历山大时期的“数学三巨匠”,以他名字命名的阿波罗尼斯圆是指平面内两定点距离比值为定值λ(λ>0,λ≠1)的动点的轨迹,已知在△ABC中,sinA=2sinB,且AB=2,则△ABC面积的最大值为( )
提示:这三个题动点P的轨迹都与圆有关,揭示了这个本质特征后,剩余问题都好解决了.
【练习三】
【说明】解法一看似简单但容易出错,约束x的范围求解比较麻烦。解法二看似繁琐,但适用范围广,由k的取值范围容易得到x的范围。第一问轨迹判断不准确到位,直接影响第二问,所以应该在直线与圆的教学中把两种方法的来龙去脉彻底搞清楚,为后面的学习扫平障碍。
【总结】所有这些,都属于双变量约束条件下的最值问题,这种问题一般有四种解法,一是代入消元法(注意变量范围的跟踪)、二是数形结合法,三是三角代换法、四是基本不等式法。必修二是继函数图像与性质、向量等有一定数形结合思想方法基础上,进一步研究曲线与方程的基础,体现“数”与“形”相互之间的自然转化和利用,以形助数,以数助形,把代数和几何有机结合起来,线性规划理论、复数几何意义、数列“特殊函数”、三角函数、导数及应用、空间几何中的向量法等,一维、二维和三维,研究曲线(包括直线、点列)、图形(平面的和空间的几何体),数中有形,形中有数,不仅仅是数学,还有物理等其它学科,体现了古代人类的智慧,世界传统文化的博大精深,数形结合思想是我们进一步进行科学探究取之不尽用之不竭的源泉。通过对这部分内容进行复习汇总,加强对学生在这方面的培养和引领,提高学生的学习能力,为进一步学习圆锥曲线乃至将来的学习与研究打下坚实的基础。
作者文章链接:
柴淑兰、王丽敏:一道训练“配凑法”使用基本不等式求最值的题目
柴淑兰——关于“高中数学必修1第一章”难点处理策略(“待续”完整版)
柴淑兰,山西省朔州市朔城区一中数学教师,副高级职称,省学科带头人,区教学能手,学科名师、优秀班主任、师德标兵,从教29年,坚持工作在教学第一线,主持年级教学工作,兼任班主任,工作踏实,教学风格严谨细致,注重基础,追本溯源,管理班级粗中有细游刃有余,深得学生敬重和家长好评。
公众号《邹生书数学》
近期最受读者欢迎的34篇解题文章链接
(20200619——20200824)
33.邹生书——二次函数方程a[f(x)]^2+bf(x)+c=0实根问题的求解通法
32.邹生书——椭圆定义与解三角形联手再解天津高考解析几何题
20.马力仲2020年高考数学试题分析讲座第四讲——整体把握结构稳定 着眼细节字母可变
19.万志红、张长新||2020年全国一卷文科导数题——如何找点?
18.刘 锐——2020年山东新高考数学试卷压轴题的几个解法
16.张国川:游离在高考岸边的“数学美”——斜率问题的齐次化构造解法
15.万志红、张长新、黎良琛——2020年新课标Ⅰ卷 · 理20 · 一题多解
13.马力仲——2020年高考试题分析第一讲:知识背景成解题障碍,五音不全怎理解和弦
12.连毅端——2020年全国1卷理科数学第11题的两个解法
11.邹生书——2020年高考全国一卷第20题直线过定点问题的 简证与变式 拓展与背景
10.洪一平、刘锐——圆中同起点动弦向量数量积最小值难题的八种解法 你知道几种?
5.“对数单身狗,指数找朋友”到底讲的是什么?——这或许是你见过最全面的解析!!!
4.张伟、邹生书——不等式恒成立求双参数式子最值的方法与命题背景
3.刘 锐:一道“指对幂”混合不等式恒成立求参数取值范围问题的解决
长按或扫描二维码关注本公众号!
投稿邮箱:zoushengshu@163.com;
商务联系:13297228197。