请点击上方蓝色字体“邹生书数学”,订阅本微信公众号;请点击右上角的“…”,发送给朋友或分享到朋友圈。
公众号“邹生书数学”创建于2018年8月28日。
开号宗旨:为热爱学习和研究的高中数学教师和教研员搭建学习交流平台,提升教学能力,促进专业发展。本公众号致力传播数学文化,发表教研成果,交流教学经验,探讨数学问题,展示解题方法,分享教学资源,为服务高中教学作贡献。
邹生书,男,1962年12月出生,本科学历,理学士学位,中学数学高级教师,黄石市高中数学骨干教师。主要从事高中数学教学、高中数学解题研究和探究性学习等。从2007年8月到2018年8月,在《数学通讯》《数学通报》《数学教学》《中学数学》《中学数学教学》等,二十多种学术期刊上发表解题和探究性学习文章300余篇。
公众号“邹生书数学”诚请高中数学教师、教研员和热爱数学的朋友不吝赐稿。来稿请注明真实姓名、工作单位和联系方式,一般只接受word文档格式的电子稿件,文稿请认真审查,防止错漏,确保无误,文责自负。
投稿邮箱:zoushengshu@163.com;
商务联系:13297228197。
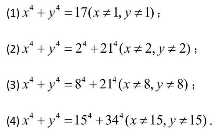
甘志国有奖征解问题
求下列方程的正有理数解:
前五名提供正确解答者(证明某个方程无解,或得到某个方程的无数组解)获奖品《高中数学题典》一套(若该丛书卖完,将替换为其他等值商品):
联系方式:微信号15010433205(加微信须注明“解决征解问题”)
提供的解答须严谨正确,在来稿中一旦出现错误就不在审查且不回复作者.
期限一年:2020年12月15日-2021年12月14日.
从解题教学谈高效课堂
甘志国(特级教师)北京市丰台二中
文章发表于《数学教学通讯》2018年第1期下旬
课堂教学是一项神圣的师生活 动, 因而,课堂教学应遵从相应的教学规律 和教学原则. 而数学又以其抽象性强往 往使得不少学生畏惧数学从而导致学 不好数学,所以数学教师在课堂教学中 更应当尽可能地帮助学生学好数学.如 何帮助呢?拿解题教学来说,教师应该 从学生的想法入手进行分析以及会遇 到哪些难以逾越的障碍,尽可能地揭示 其 背 景,使学生尽可能地做到“解 一 题 知一类”;还要把题目讲深讲透,尽可能 做到开发学生的智力……这 样 的 解 题 教 学,从 表 面 上 来 看,会花很多时间来 讲解一道题目,似乎是在浪费学生的生 命,而事实上却能使学生真正掌握这类 题 目,锻 炼 了 思 维,学得了真正的数学 知识(包括解题方法). 无论是培养其应 考能力还是提升其数学核心素养,都是 值得的,并且这一过程也是必须经历的, 从这个意义上来说,数学教师的如此课 堂教学没有浪费学生的生命而是延长 了学生的生命!下面谈谈笔者在解题教教学中的若 干较好做法,可供同行借鉴.
公众号邹生书数学
2020年9月至2020年11月
最受读者欢迎的数学解题文章链接
36.彭光焰——向量数量积不等式|a|∧2|b|∧2≥(a•b)∧2的解题探究
31.黄贤锋:一道三角函数题的多解探究
26.彭光焰:从“路径依赖”到“另辟蹊径” ———从几道三角题的解法谈起
25.彭光焰:全面理解 多方转化——一道分式函数最值问题的多角度审视
24.曹凤山:基于核心素养提升的高考数学备考策略——以函数与导数内容为例
11.赵志岗——深度解析2020年全国1卷理数第21题的命题方式与背景
9.甘大旺——2019 年浙江大学一道开平方自招题的 4 种解法
长按或扫描二维码关注本公众号!
投稿邮箱:zoushengshu@163.com;
商务联系:13297228197。