请点击上方蓝色字体“邹生书数学”,订阅本微信公众号;请点击右上角的“…”,发送给朋友或分享到朋友圈。
公众号“邹生书数学”创建于2018年8月28日。
开号宗旨:为热爱学习和研究的高中数学教师和教研员搭建学习交流平台,提升教学能力,促进专业发展。本公众号致力传播数学文化,发表教研成果,交流教学经验,探讨数学问题,展示解题方法,分享教学资源,为服务高中教学作贡献。
邹生书,男,1962年12月出生,本科学历,理学士学位,中学数学高级教师,黄石市高中数学骨干教师。主要从事高中数学教学、高中数学解题研究和探究性学习等。从2007年8月到2018年8月,在《数学通讯》《数学通报》《数学教学》《中学数学》《中学数学教学》等,二十多种学术期刊上发表解题和探究性学习文章300余篇。
公众号“邹生书数学”诚请高中数学教师、教研员和热爱数学的朋友不吝赐稿。来稿请注明真实姓名、工作单位和联系方式,一般只接受word文档格式的电子稿件,文稿请认真审查,防止错漏,确保无误,文责自负。
投稿邮箱:zoushengshu@163.com;
商务联系:13297228197。
解题交流
思路更清晰 方法更多样 解法更简单
——含有绝对值的函数最小值为零求参数值试题的解法
重庆 吴桐 湖南永州 唐佳
浙江省平阳中学 洪一平
湖北省阳新县高级中学 邹生书
重庆吴桐老师在高中数学解题交流二群里发帖子提出了如下问题和解法:
题目(浙江衢州二中2020模拟题)
评注:重庆吴桐老师在数学解题交流二群里提供上述解法后发问:这个解法是怎么思考的,也就是说这个解法是怎么想到的?这个问题还有没有其它的解法?群里朋友认为这个解法应该是最厉害的解法了!吴桐老师也认为这个解法是好厉害,就是不知道是怎么想来的。很快,湖南永州唐佳老师指出上述解法的思路源于下面的平凡不等式①:
平凡不等式:
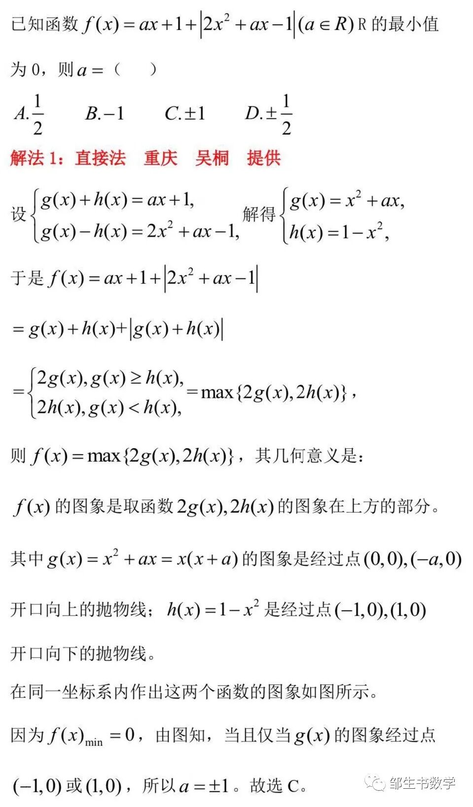
作为一道选择题,由于其选项都是具体的,故可以用选项的数字代入检验,将问题具体化求解,于是有如下解法。
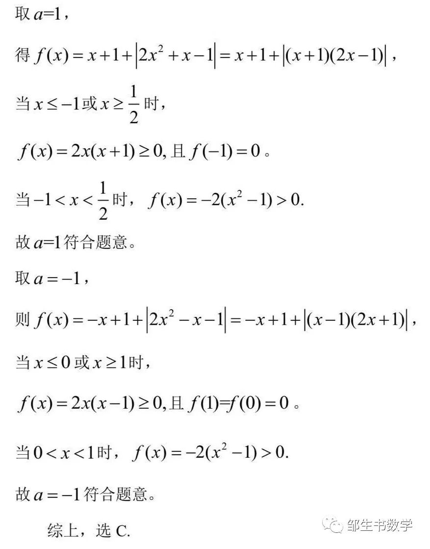
解法2:间接法 检验淘汰
解法3 数形结合法 江西南昌 程波提供
这个解法数形结合比较直观,受到群里朋友一致好评。福建厦门罗尚泉老师受解法启发,并指出这个解法还可以进行优化,减少运算量,简解如下:
解法4 数形结合法福建厦门罗尚泉 提供
浙江省平阳中学洪一平老师指出该题是2020年3月浙江衢州二中一模试题的第10题,并交流了如下两个解法:
公众号邹生书数学
2020年9月至2020年11月
最受读者欢迎的数学解题文章链接
36.彭光焰——向量数量积不等式|a|∧2|b|∧2≥(a•b)∧2的解题探究
31.黄贤锋:一道三角函数题的多解探究
26.彭光焰:从“路径依赖”到“另辟蹊径” ———从几道三角题的解法谈起
25.彭光焰:全面理解 多方转化——一道分式函数最值问题的多角度审视
24.曹凤山:基于核心素养提升的高考数学备考策略——以函数与导数内容为例
11.赵志岗——深度解析2020年全国1卷理数第21题的命题方式与背景
9.甘大旺——2019 年浙江大学一道开平方自招题的 4 种解法
长按或扫描二维码关注本公众号!
投稿邮箱:zoushengshu@163.com;
商务联系:13297228197。