请点击上方蓝色字体“邹生书数学”,订阅本微信公众号;请点击右上角的“…”,发送给朋友或分享到朋友圈。
公众号“邹生书数学”创建于2018年8月28日。
开号宗旨:为热爱学习和研究的高中数学教师和教研员搭建学习交流平台,提升教学能力,促进专业发展。本公众号致力传播数学文化,发表教研成果,交流教学经验,探讨数学问题,展示解题方法,分享教学资源,为服务高中教学作贡献。
邹生书,男,1962年12月出生,本科学历,理学士学位,中学数学高级教师,黄石市高中数学骨干教师。主要从事高中数学教学、高中数学解题研究和探究性学习等。从2007年8月到2018年8月,在《数学通讯》《数学通报》《数学教学》《中学数学》《中学数学教学》等,二十多种学术期刊上发表解题和探究性学习文章300余篇。
公众号“邹生书数学”诚请高中数学教师、教研员和热爱数学的朋友不吝赐稿。来稿请注明真实姓名、工作单位和联系方式,一般只接受word文档格式的电子稿件,文稿请认真审查,防止错漏,确保无误,文责自负。
投稿邮箱:zoushengshu@163.com;
商务联系:13297228197。
先充分后必要解一类端点效应高考题
——谈一类参数取值范围高考题的解法
含有参数的函数不等式恒成立,求参数的取值范围问题,是高考的热点和难点问题,解法因题而异多种多样。其中有一类题目条件设置巧妙,试题隐藏一个相同信息:不等式等号恰好在区间端点处成立,这一隐而不露的条件是命题人精心设计的点睛之笔,也是解题者解决问题的突破口和思维的起点,启发解题者思考:若函数在区间上单调,则不等式恒成立,从而求出参数的取值范围,这个取值范围就是不等式恒成立的充分条件,有趣的是这个参数的取值范围同时又是必要条件,当然这需要证明。这类试题重点考查考生的探究能力以及运算求解和推理论证能力,需要考生有良好的心理素质和数学素养,能静下心来挖掘题目隐藏条件,从蛛丝马迹中寻找解题的突破口,设计解题思路猜测试题结果。2016年高考全国卷II文科第20题,以及2016年高考四川卷文科第21题和理科第21题,就是这样的一类试题,本文用“先充分后必要”的方法给出解答,供参考。
2016年高考全国卷II文科第20题如下:
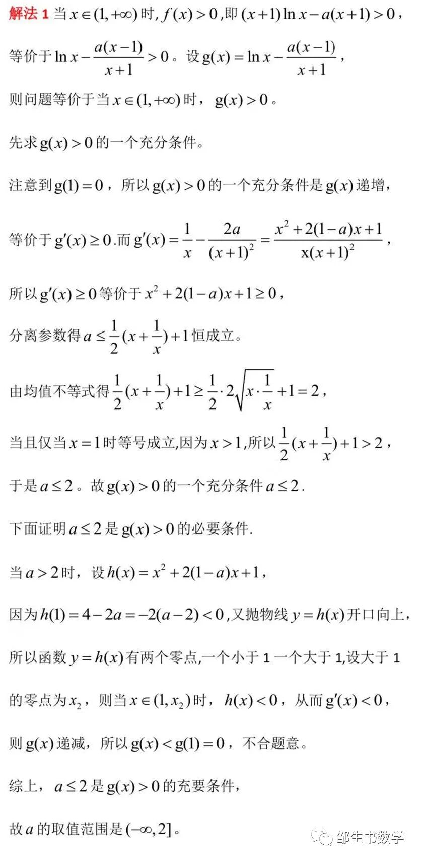
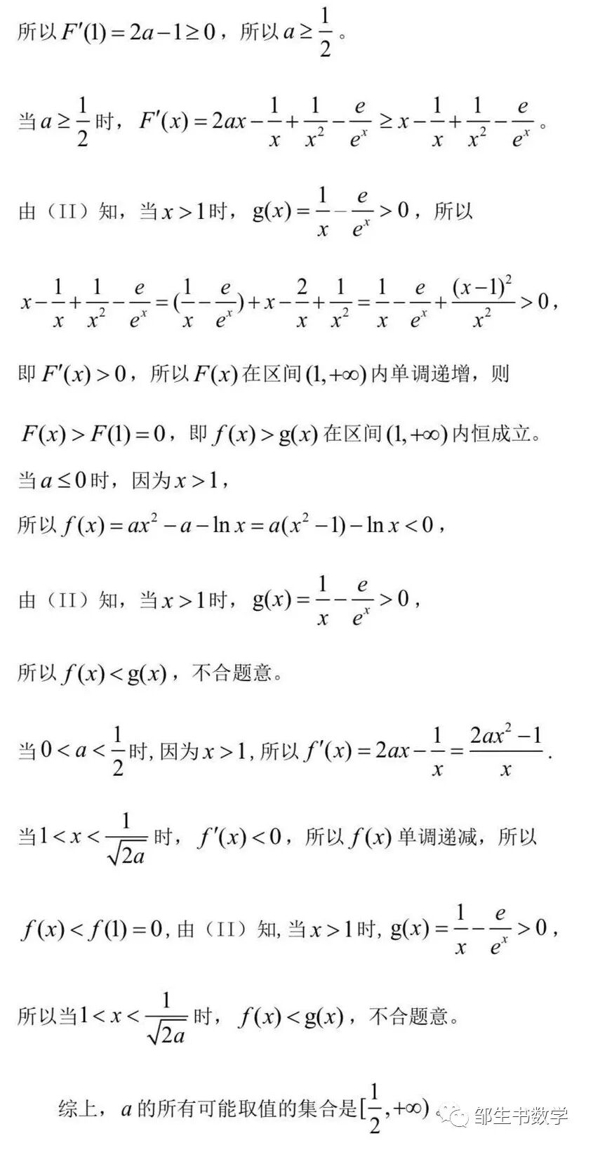
第2问是函数不等式恒成立,求参数取值范围的试题,最容易想到的方法是分离参数,将问题转化为一个新函数的最值问题。
可见这一道在高等数学与高中数学衔接处命题且有高等数学背景的试题。那么,怎样用高中知识来解这道试题呢。不等式恒成立,求参数取值范围的试题,当分离参数法失效时,应该考虑等价转化思想,将不等式变形转化为新的不等式恒成立问题,还可借助数形结合思想,将不等式恒成立问题转化为两个函数图象的位置关系问题。根据不等式的等价变形情况,本题有三种等价变形,并且变形后的不等式均可用“先寻找不等式成立的充分条件,再证其为必要条件”的方法进行处理求解,解法如下。
无独有偶,2016年高考四川卷文科第21题和理科第21题也是这类问题,两题实际上是同一个问题,不同的是文科题目在恒成立问题之前,加了一道不等式证明题,实际上是增设了一个台阶,降低了试题难度。恒成立问题也可用“先充分后必要”的方法求解,下面给出文科题目与解法。
数学全国卷命题人对这类不等式恒成立问题似乎情有独钟,在历年高考中屡见不鲜,如2006年高考全国卷Ⅱ理科第20题,2007年高考全国卷Ⅰ理科第20题,2008年高考全国卷Ⅱ理科第22题,2010年高考新课标全国卷理科第21题,2010年高考全国卷Ⅱ理科第22题,在其他省市的高考卷中也时常见到,这些试题均可从隐藏条件入手用“先探求充分条件,再证其为必要条件”的方法求解,解题的难易及成功与否主要取决于等价变形后新的不等式。
公众号端点效应问题文章链接
1.“端点效应”模考压轴题的三种解法——分类讨论 洛必塔 导数定义(修正版)
2.“端点效应”模考压轴题的三种解法:分类讨论 洛必塔 导数定义
3.李鸿昌——绕开洛必达,回归导数概念,求解“0/0 ”端点效应高考压轴题
4.洛必塔法则 零点定理取点 函数凹凸性 三种法解一道“端点效应”难题
公众号邹生书数学
2020年9月至2020年11月
最受读者欢迎的数学解题文章链接
36.彭光焰——向量数量积不等式|a|∧2|b|∧2≥(a•b)∧2的解题探究
31.黄贤锋:一道三角函数题的多解探究
26.彭光焰:从“路径依赖”到“另辟蹊径” ———从几道三角题的解法谈起
25.彭光焰:全面理解 多方转化——一道分式函数最值问题的多角度审视
24.曹凤山:基于核心素养提升的高考数学备考策略——以函数与导数内容为例
11.赵志岗——深度解析2020年全国1卷理数第21题的命题方式与背景
9.甘大旺——2019 年浙江大学一道开平方自招题的 4 种解法
长按或扫描二维码关注本公众号!
投稿邮箱:zoushengshu@163.com;
商务联系:13297228197。