请点击上方蓝色字体“邹生书数学”,订阅本微信公众号;请点击右上角的“…”,发送给朋友或分享到朋友圈。
公众号“邹生书数学”创建于2018年8月28日。
开号宗旨:为热爱学习和研究的高中数学教师和教研员搭建学习交流平台,提升教学能力,促进专业发展。本公众号致力传播数学文化,发表教研成果,交流教学经验,探讨数学问题,展示解题方法,分享教学资源,为服务高中教学作贡献。
邹生书,男,1962年12月出生,本科学历,理学士学位,中学数学高级教师,黄石市高中数学骨干教师。主要从事高中数学教学、高中数学解题研究和探究性学习等。从2007年8月到2018年8月,在《数学通讯》《数学通报》《数学教学》《中学数学》《中学数学教学》等,二十多种学术期刊上发表解题和探究性学习文章300余篇。
公众号“邹生书数学”诚请高中数学教师、教研员和热爱数学的朋友不吝赐稿。来稿请注明真实姓名、工作单位和联系方式,一般只接受word文档格式的电子稿件,文稿请认真审查,防止错漏,确保无误,文责自负。
投稿邮箱:zoushengshu@163.com;
商务联系:13297228197。
圆锥曲线极点极线背景下高三百校联合
测评选择题解法研讨
湖北省阳新县高级中学 邹生书
这是2020年12月28日开考的“大课改大数据大测评”2021届高三联合测评数学试题的第8题,也就单项选择题的最后一题,是单选题中的压轴题,难度较大。下面从知识和方法给出本题的几种思路与解法,并揭示命题背景,与读者朋友交流分享。
思路一:间接法——用特殊化和极限化方法求解
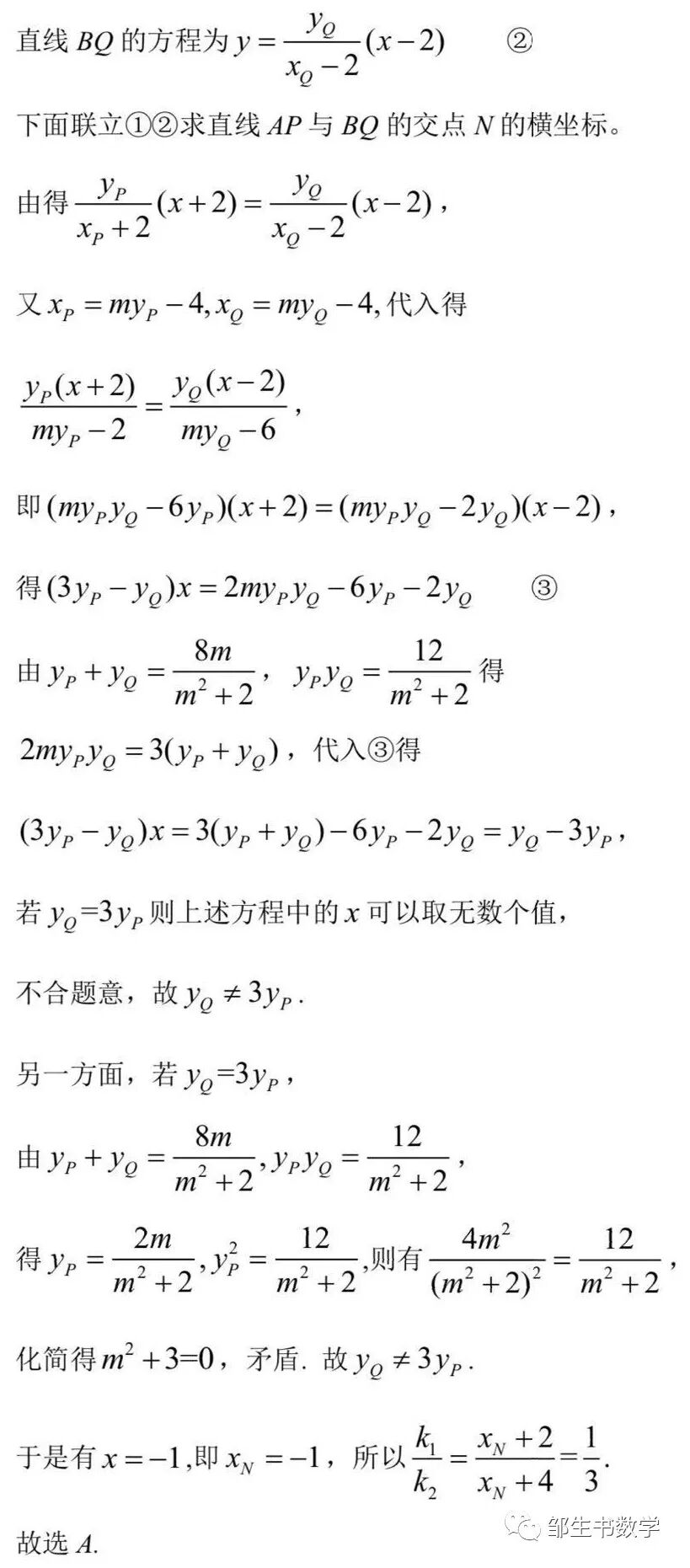
于是解决问题的关键是要求出点N的横坐标,而点N是直线AP与BQ的交点,故可通过联立两直线方程求得。
说明:上述解法由湖北省阳新县高级中学陈兵老师提供。
解法2:用极限方法求解
当P,Q两点重合时,直线AP和BQ的交点N和P,Q三点同为一点,此时直线MN与椭圆相切于N.
法1:判别式法
设切线MN的方程为x=my-4,将其代入椭圆方程整理得
法2:直接运用课本结论椭圆在某点处的切线方程求解
点评:本解法从问题的极限状态入手,想象丰富,思想解放,解法大胆创新。极限思想,别有洞天。用切线方程,简化了运算。
思路二:直接法——把小题当作大题来做
解法3(小题大做,直接法硬算求解)
于是解决问题的关键是要求出点N的横坐标,而点N,而直线AP与BQ的交点,故可通过联立两直线方程求得。
点评:本解法是韦达定理非对称式问题的求解,如若不能从两根之和与两根之积中得出两者间的关系,则解法会因此而夭折。请记住:上帝给你关上一扇门口必定会为你打开一扇窗。本解法运算量大,方法独特,对于一道选择题来说,显然是小题大做,费时耗力。但小题大做,逻辑推理运算求解,可以得出一般性的结论,证明我们的猜想和上述解法是正确的。
思路三:用高等几何极点与极线的性质求解
解法4:用高等几何极点与极线的性质求解
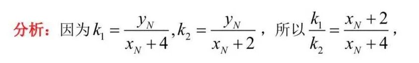
因为A,B,Q,P是椭圆上四点,AB与PQ相交于点M,AP与BQ相交于点N,由圆锥曲线极点与极线的性质知,点N在点M(-4,0)关于椭圆对应的极线x=-1上,所以点N的坐标为(-1,n).
点评:用高等几何极点与极线的性质求解,登高望远,层高临下,体现高观点,低运算。圆锥曲线极点极线的有关知识和结论是本题命题的源头背景。
相关文章链接
3.圆锥曲线极点与极线的性质及其在解答高考题中的应用文章三篇
4.张联忠等——用圆锥曲线的配极原理证明三角形外接圆恒过定点试题
6.王大伟——圆锥曲线中一个非对称韦达定理问题的三种处理方法
接下来请您欣赏王远征老师的二胡演奏《军港之夜》
视频来源于深圳高级中学南校区教职工2021年迎新联欢晚会
公众号邹生书数学
2020年9月至2020年11月
最受读者欢迎的数学解题文章链接
36.彭光焰——向量数量积不等式|a|∧2|b|∧2≥(a•b)∧2的解题探究
31.黄贤锋:一道三角函数题的多解探究
26.彭光焰:从“路径依赖”到“另辟蹊径” ———从几道三角题的解法谈起
25.彭光焰:全面理解 多方转化——一道分式函数最值问题的多角度审视
24.曹凤山:基于核心素养提升的高考数学备考策略——以函数与导数内容为例
11.赵志岗——深度解析2020年全国1卷理数第21题的命题方式与背景
9.甘大旺——2019 年浙江大学一道开平方自招题的 4 种解法
长按或扫描二维码关注本公众号!
投稿邮箱:zoushengshu@163.com;
商务联系:13297228197。