请点击上方蓝色字体“邹生书数学”,订阅本微信公众号;请点击右上角的“…”,发送给朋友或分享到朋友圈。
公众号“邹生书数学”创建于2018年8月28日。
开号宗旨:为热爱学习和研究的高中数学教师和教研员搭建学习交流平台,提升教学能力,促进专业发展。本公众号致力传播数学文化,发表教研成果,交流教学经验,探讨数学问题,展示解题方法,分享教学资源,为服务高中教学作贡献。
邹生书,男,1962年12月出生,本科学历,理学士学位,中学数学高级教师,黄石市高中数学骨干教师。主要从事高中数学教学、高中数学解题研究和探究性学习等。从2007年8月到2018年8月,在《数学通讯》《数学通报》《数学教学》《中学数学》《中学数学教学》等,二十多种学术期刊上发表解题和探究性学习文章300余篇。
公众号“邹生书数学”诚请高中数学教师、教研员和热爱数学的朋友不吝赐稿。来稿请注明真实姓名、工作单位和联系方式,一般只接受word文档格式的电子稿件,文稿请认真审查,防止错漏,确保无误,文责自负。
投稿邮箱:zoushengshu@163.com;
商务联系:13297228197。
从八省联考数列大题研讨二阶线性递推
数列通项公式
湖北省阳新县高级中学 邹生书
二阶递推数列问题在课改前即大约2010年前一度成为高考的热点,并且难度居高不下,是高考试题的一道亮丽风景。课改后的新课标数列试题难度下降,主要考查等差数列和等比数列,不再考查或很少考查二阶递推数列,似乎从此数列无难题。这次2021年新高考的八省联考,却出乎意料地在第一大题的位置就考查了二阶线性递推数列。其实这并不意外,实际上,二阶线性递推数列已经出现在普通高中课程标准实验教科书上了。
题在试卷,根在课本。八省联考这道数列题与课本题目如出一辙,课本题目只有一问,是通项公式的探索性试题,而八省联考数列题,设置了两问,实际上第1问就是为第2问题求通项设置的台阶,这样就大大减小了试题难度。另一方面,联考数列题相对于课本题目来说,要特殊一些,课本题目更具有一般性。因此,本文先通过对课本数列题进行解法研究,并进行一般研究,从中提炼出求二阶线性递推数列通项公式的求解通法和一般性结论——特征根法和特征根通项公式。然后用所得公式求解二阶线性递推数列的通项公式,体验公式在简化运算缩短解题长度的作用,最后再迂回过来解答这道八省联考数列题。
希望本文能使读者对特征根法的来龙去脉以及所蕴涵的数学思想方法有一个比较全面而深刻的认识。
1.考题再现
这是2021年1月23日下午3点到5点的八省联考数学试题的第17题,这是一道二阶递推数列通项公式的求法问题。这道题目源于课本,与普通高中课程标准实验教科书人教版必修5第69页复习参考题B组第6题如出一辙,但有所变化,是由这道课本题目的改编,递推关系完全相同,设置两问题,第1问证明等比数列比较容易,第2问需要用待定系数法构造等比数列或常数数列求解,有一定难度。但与课本原题相比,由于考题设置了两问题,等于设置了台阶,无形中降低了难度。
2.课本数列复习题的解题思路分析和解法研讨
普通高中课程标准实验教科书人教版必修5第69页复习参考题B组第6题如下:
分析:已知一阶递推式求数列通项公式这是我们所熟悉的问题,所用思想方法是:用一个待定系数构造等比数列将问题转化为求等比数列的通项问题。对于二阶递推式求通项问题,我们可采用方法类比,用两个待定系数将求二阶线性递推数列通项公式的问题,转化为求一阶线性递推数列通项公式的问题来处理。
法3:我们知道,若给出了一个数列的前两项和数列的一个二阶线性递推式,那么由此我们可求出这个数列的各项,也就是说这个数列的每一项都是唯一确定的,因此数列的通项也是唯一确定的,故可把上述解法所得①②两式中的an,an-1当作未知数,联立成方程组解之得
点评:以上三种解法都是将二阶线性递推式,通过待定系数法转化一阶线性递推式,法1、法2是独立选用其中一个一阶线性递推式,再由一阶线性递推式求出数列的通项。法3是用联系的观点方程的思想,将两个一阶线性递推式联立成方程组,通过解方程组求出数列的通项公式。显然法3运算量小解法简单,用法3对一般的二阶线性递推数列的通项公式进行研究,可得如下一般性结论。
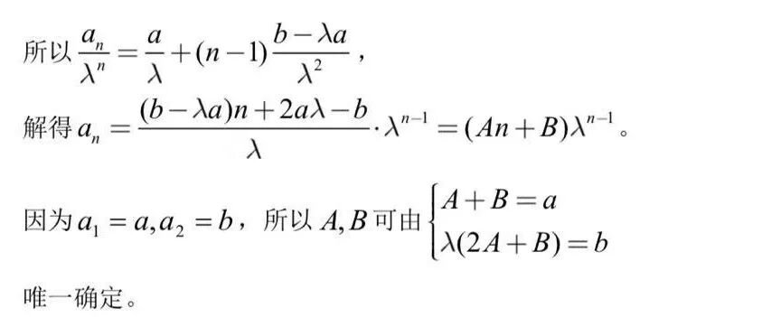
3.二阶线性递推数列的特征根法与特征根通项公式
4.应用二阶线性递推数列特征根公式解题举例
注:求二阶线性递推数列的通项公式,既可用本文两个定理的结论直接求解,也可用证明定理所用的待定系数法和方程思想求解。
评注:本题解法由浙江省平阳中学洪一平老师提供。
5.解析八省联考数列题
法2:另起炉灶,重新构造
法3:用特征根通项公式简解
公众号邹生书数学
2020年9月至2020年12月
最受读者欢迎的数学解题文章链接
48.柴淑兰、王丽敏——抓好“概念、方程和几何性质”解决椭圆常规问题
46.越做越起劲的100道高中数学函数压轴题, 你敢来试试吗?
45.庞景生——2012年广东高考理科数列第19题的深度思考
36.彭光焰——向量数量积不等式|a|∧2|b|∧2≥(a•b)∧2的解题探究
31.黄贤锋:一道三角函数题的多解探究
26.彭光焰:从“路径依赖”到“另辟蹊径” ———从几道三角题的解法谈起
25.彭光焰:全面理解 多方转化——一道分式函数最值问题的多角度审视
24.曹凤山:基于核心素养提升的高考数学备考策略——以函数与导数内容为例
11.赵志岗——深度解析2020年全国1卷理数第21题的命题方式与背景
9.甘大旺——2019 年浙江大学一道开平方自招题的 4 种解法
长按或扫描二维码关注本公众号!
投稿邮箱:zoushengshu@163.com;
商务联系:13297228197。