请点击上方蓝色字体“邹生书数学”,订阅本微信公众号;请点击右上角的“…”,发送给朋友或分享到朋友圈。
公众号“邹生书数学”创建于2018年8月28日。
开号宗旨:为热爱学习和研究的高中数学教师和教研员搭建学习交流平台,提升教学能力,促进专业发展。本公众号致力传播数学文化,发表教研成果,交流教学经验,探讨数学问题,展示解题方法,分享教学资源,为服务高中教学作贡献。
邹生书,男,1962年12月出生,本科学历,理学士学位,中学数学高级教师,黄石市高中数学骨干教师。主要从事高中数学教学、高中数学解题研究和探究性学习等。从2007年8月到2018年8月,在《数学通讯》《数学通报》《数学教学》《中学数学》《中学数学教学》等,二十多种学术期刊上发表解题和探究性学习文章300余篇。
公众号“邹生书数学”诚请高中数学教师、教研员和热爱数学的朋友不吝赐稿。来稿请注明真实姓名、工作单位和联系方式,一般只接受word文档格式的电子稿件,文稿请认真审查,防止错漏,确保无误,文责自负。
投稿邮箱:zoushengshu@163.com;
商务联系:13297228197。
从八省联考第7题例析圆锥曲线双切线
问题的处理方法
湖北省阳新县高级中学 邹生书
我们把过一点作圆锥曲线的两条切线的问题叫做圆锥曲线的双切线问题。这类问题由于涉及双切线、双切点、双斜率,在引参、设点、设直线方程和求解过程中,处理方法特殊技巧性强,对运算能力和方程思想的灵活运用要求较高,是圆锥曲线的一个难点和热点问题。本文通过典型例题赏析圆锥曲线双切线问题的处理方法。
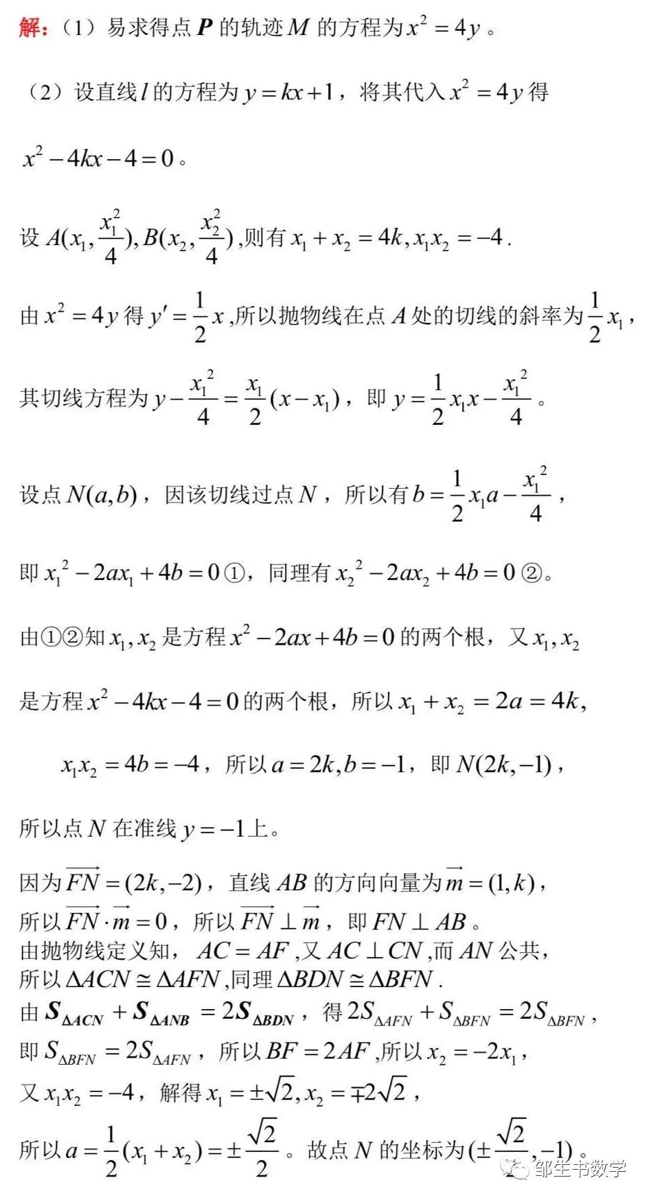
例1(2021年八省联考第7题)
解法1:一个易想难算的解法
本题的一个很容易想到的解法是:已经知道了直线AB,AC过定点A,再根据它们与圆相切求出两切线的斜率,继而求出两条切线的方程,接下来分别求出两条切线与抛物线的两个交点B,C的坐标,继而求出直线BC的方程。这个解法很容易想到,但运算量较大,容易算错,即使做对了,也是费时耗力,也是对而不美。解法如下:
评注:切线斜率还可以通过几何法求得,如图,直角△ADE中,AD=2DE,得∠DAE=300,则直线AB的倾斜角为600,从而其斜率为√3,则直线AC的斜率为-√3。
解法2:一个优美解法
注:上述优美解法由广东深圳张俊老师提供。
点评:上述解法先设点再求线,设而不求,解法优美,赏心悦目。本解法先根据点B在抛物线上,由抛物方程用其纵坐标设点B的坐标,然后由A,B两点求出直线AB的方程,再由直线AB与圆相切,圆心到直线的距离等于半径,由点线距离公式得出点B纵坐标的等量关系式,再平方整理得出点B纵坐标的一元二次方程,接着用点B在抛物线上,将点B纵坐标的一元二次方程化为点B横坐标与纵坐标的二元一次方程,最后用曲线与方程的关系使问题得以解决。
与上述八省联考第7题一个类似的题目如下:
评注:证法2设切线斜率,利用直线与曲线相切判别式为零从而得出关于斜率的一元二次方程,再利用根与系数关系求解,解法一箭双雕、整体替换、设而不求,堪称妙解。我们用此法探求椭圆两条互相垂直的切线的交点轨迹,同样可获得良好的效果。
由例5、例6知,无心圆锥曲线(抛物线)互相垂直的两条切线的交点的轨迹是一条直线,并且该直线就是准线。有心圆锥曲线互相垂直的两条切线的交点的轨迹是一个圆,我们不妨称此圆为有心圆锥曲线的“准圆”。
公众号邹生书数学
2020年9月至2020年12月
最受读者欢迎的数学解题文章链接
48.柴淑兰、王丽敏——抓好“概念、方程和几何性质”解决椭圆常规问题
46.越做越起劲的100道高中数学函数压轴题, 你敢来试试吗?
45.庞景生——2012年广东高考理科数列第19题的深度思考
36.彭光焰——向量数量积不等式|a|∧2|b|∧2≥(a•b)∧2的解题探究
31.黄贤锋:一道三角函数题的多解探究
26.彭光焰:从“路径依赖”到“另辟蹊径” ———从几道三角题的解法谈起
25.彭光焰:全面理解 多方转化——一道分式函数最值问题的多角度审视
24.曹凤山:基于核心素养提升的高考数学备考策略——以函数与导数内容为例
11.赵志岗——深度解析2020年全国1卷理数第21题的命题方式与背景
9.甘大旺——2019 年浙江大学一道开平方自招题的 4 种解法
长按或扫描二维码关注本公众号!
投稿邮箱:zoushengshu@163.com;
商务联系:13297228197。