请点击上方蓝色字体“邹生书数学”,订阅本微信公众号;请点击右上角的“…”,发送给朋友或分享到朋友圈。
公众号“邹生书数学”创建于2018年8月28日。
开号宗旨:为热爱学习和研究的高中数学教师和教研员搭建学习交流平台,提升教学能力,促进专业发展。本公众号致力传播数学文化,发表教研成果,交流教学经验,探讨数学问题,展示解题方法,分享教学资源,为服务高中教学作贡献。
邹生书,男,1962年12月出生,本科学历,理学士学位,中学数学高级教师,黄石市高中数学骨干教师。主要从事高中数学教学、高中数学解题研究和探究性学习等。从2007年8月到2018年8月,在《数学通讯》《数学通报》《数学教学》《中学数学》《中学数学教学》等,二十多种学术期刊上发表解题和探究性学习文章300余篇。
公众号“邹生书数学”诚请高中数学教师、教研员和热爱数学的朋友不吝赐稿。来稿请注明真实姓名、工作单位和联系方式,一般只接受word文档格式的电子稿件,文稿请认真审查,防止错漏,确保无误,文责自负。
投稿邮箱:zoushengshu@163.com;
商务联系:13297228197。
比较大小思路多 主考方法是同构
湖北省阳新县高级中学 邹生书
实数的大小比较在高考中是一种常考题型,大多以选择题的形式出现,一般题目靠前的比较简单些,靠后的难度较大是小题中的压轴题。比较实数大小的思路方法较多,常用的有作差比较法、作商比较法、中间值比较法和构造函数法等,较复杂的大小比较往往需要综合几种方法方能解决,其中构造函数法是最重要最基本的主考方法。比较实数或式子大小的个数以三个者诸多,2014年湖北卷将实数比较大小推向顶峰。题目是6个指数式的大小比较,第1问判断一个函数的单调性质,第2问是求6个实数中的最大数和最小数,第3问是要将6个实数用大小进行排序,并证明。三问层层推进,其中第1小问题是基础,第3小问难度较大。
【说明】为了不发生误解特作如下说明:本文以及本公众号所说的“同构”均指在证明不等式或判断式子大小时,通过变形化为相同的结构,从而构造一个函数来解决不等式证明或实数大小比较的思想方法。
我们先来看2017年高考全国卷I理科第11题及其诸多解法,这是一道实数大小比较的选择题,题目如下。
考题1(2017年高考全国卷I理科第11题)
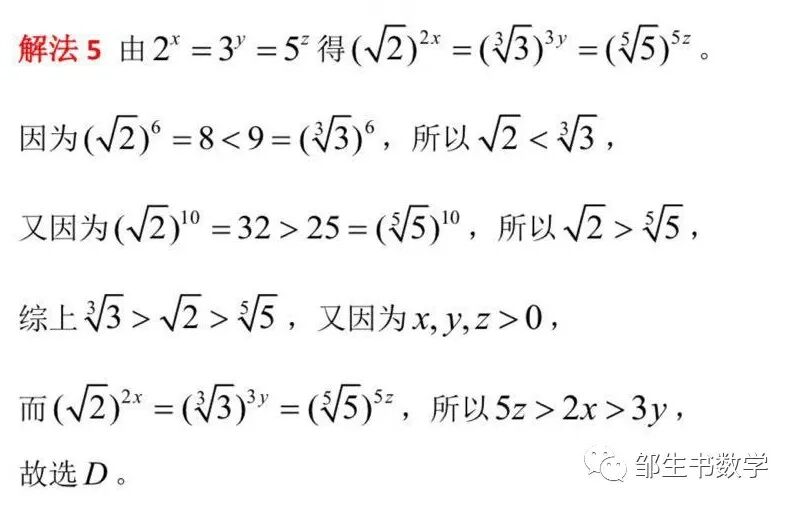
本题已知的是指数连等式,要判断的是与指数相关的式子的大小比较,最容易想到的是将指数有关的大小比较转化为对数的大小比较,为了便于比较在化为对数式时应化同底的对数,我们可以考虑常用对数和自然对数,下面我们采用自然对数求解。实数大小比较主要有有三种方法:作差比较法、作商比较法和构造函数法,其理论依据是函数的单调性。
解法1(作差比较)
解法2(作商比较)
点评:作差比较法和作商比较法只适合两个数式的大小比较,构造函数法是用函数的思想也就是整体的思想,将需要比较的两个或两个以上的量放到某个函数的单调区间上加以比较。整体思想和各个击破的策略并不孤立的,关键是用得恰到好处,有时同一个问题的解决中既要用到整体思想又要用到各个击破的策略,请看下面的解法4.
点评:本解法先用整体思想将指数大小比较转化为对数大小比较,最后用各个击破的策略将对数大小比较转化为真数根式的大小比较。
点评:本解法用指数的运算性质将已知等式变形配凑出需要比较大小的式子,将问题转化为比较底数(根式)的大小。本解法用指数和根式的单调性比较大小,解题目标意识强。
小结:比较上述5种解法可知,解法3构造函数法,用函数的单调性可以将三个数式的大小比较一步到位;作差比较法和作商比较法,根据选项设置特点也要作两次比较;解法4和解法5,将对数式转化为指数式或根式比较大小,显得迂回曲折舍近求远。
2017年这道高考题实际上是2005年高考全国卷文理第6题的变式,原考题及构造函数法如下:
考题2(2005年高考全国卷文理第6题)
原考题需要比较的三个实数是以对数形式独立呈现的,是三个常数的大小比较,解题易于切入,而2017年这道高考题是以指数连等式呈现的,需要比较大小的三个式子是变量,明显增加了解题的思维难度。比较两道高考题的表达形式和解法可知,高考题1源于高考题2是考题2的华丽变式。试题思维难度“青出于蓝而胜于蓝”,从题面上很难看出两题的关系,只有通过化归转化才能发现两题如出一辙,由此可见试题变式之巧妙达到一个较高的境界,真可谓是“软草平莎过雨新,轻沙走马路无尘”。
考题3(2021年八省联考数学第8题)
考题4(2020年全国I卷第12题)
解析:首先对已知式子作同构变形,然后用函数的单调性求解。通过观察,左边结构简洁,因此,将右边的式子向左边式子的结构化。
同构变形完成,且由等式变成了不等式,这正是我们所希望的。
考题5(2014湖北卷理科数学第22题)
2014年湖北卷理科数学第22题是一道有6个指数形式的实数比较大小的大题目,实数比较大小不仅出现在大题,而且是压轴题的位置,将实数比大小推到了高峰。真是:前无古人后无来者。空前绝后。试题与解答如下:
长按或扫描二维码关注本公众号!
投稿邮箱:zoushengshu@163.com;
商务联系:13297228197。