请点击上方蓝色字体“邹生书数学”,订阅本微信公众号;请点击右上角的“…”,发送给朋友或分享到朋友圈。
公众号“邹生书数学”创建于2018年8月28日。
开号宗旨:为热爱学习和研究的高中数学教师和教研员搭建学习交流平台,提升教学能力,促进专业发展。本公众号致力传播数学文化,发表教研成果,交流教学经验,探讨数学问题,展示解题方法,分享教学资源,为服务高中教学作贡献。
邹生书,男,1962年12月出生,本科学历,理学士学位,中学数学高级教师,黄石市高中数学骨干教师。主要从事高中数学教学、高中数学解题研究和探究性学习等。从2007年8月到2018年8月,在《数学通讯》《数学通报》《数学教学》《中学数学》《中学数学教学》等,二十多种学术期刊上发表解题和探究性学习文章300余篇。
公众号“邹生书数学”诚请高中数学教师、教研员和热爱数学的朋友不吝赐稿。来稿请注明真实姓名、工作单位和联系方式,一般只接受word文档格式的电子稿件,文稿请认真审查,防止错漏,确保无误,文责自负。
投稿邮箱:zoushengshu@163.com;
商务联系:13297228197。
立体几何中确定点位置的一个好方法
——λ大法
湖北省阳新县高级中学 邹生书
立体几何中的存在性问题常见的有平行、垂直、距离和夹角这些常考不衰的重点内容,命题设置常以解答题的形式出现.存在性问题特别是存在性探索题,具有新颖性、开放性、探索性和创造性等特点,有利于考查学生的探索能力、创新意识和综合素质,深受命题者的青睐.这类问题的一个共同特点是要确定动点的位置使得问题具有某种数量关系或位置关系等属性,而解决这类问题的难点和关键最后都归结为如何确定动点的这个特殊位置。若用向量方法处理,尤其是通过建立空间直角坐标系利用待定系数法求解存在性问题则思路简洁明了,解法程序化操作方便.下面我们通过典型例题解读立体几何中确定点位置的一个好方法——λ大法,与读者朋友交流分享。
1.平行垂直有关的存在性问题
平行与垂直是立体几何的两种重要的位置关系,其中线线的平行与垂直是基础,线面平行和垂直是重点考查内容,应引起高度关注.
例1(武汉市2012届高中毕业生二月调研测试理科数学第19题)
如图, ABCD是边长为3的正方形,DE⊥平面ABCD,AF//DE,DE=3AF,BE与平面ABCD所成的角为60°.
(Ⅰ)求证:AC⊥平面BDE;
(Ⅱ)求二面角F-BE-D的余弦值;
(Ⅲ)设点M是线段BD上的一个动点,试确定点M位置,使得AM//平面BEF,并证明你的结论.
点评:本解法通过建立空间直角坐标系将要确定点M的位置使AM//平面BEF,转化为向量AM与平面BEF的法向量垂直,即将“线面平行”问题转化为“直线的方向向量与平面的法向量垂直”问题来解决.这里设DM=λDB(0≤λ≤1)是通法.另外,由于点M在正方形ABCD的对角线上,故还可设点M的坐标为(t,t,0)(0≤t≤3),是解决本题的特殊设法.
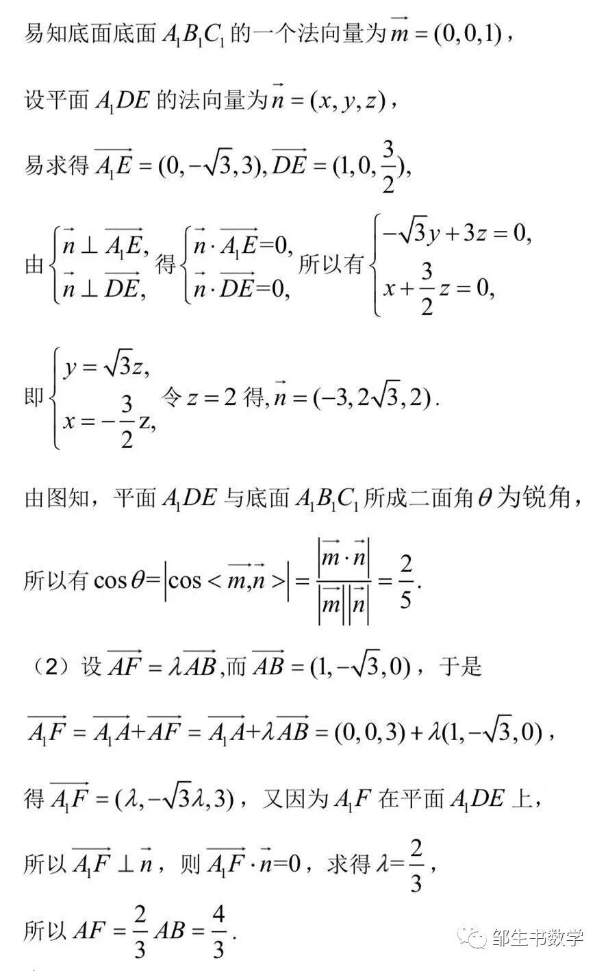
解:(1)取B1C1的中点O,连接OA1,OE.依题意知OA1,OE, B1C1两两垂直。以O为坐标原点建立空间直角坐标系如图所示。
的坐标,是问题解决的关键,然后用平面的法向量与平面内的这一向量垂直,便可以求出λ的值,从而求出线段AF的长度.
2.与夹角有关的存在性问题
夹角问题主要有线线角、线面角和面面角,其中线线角是基础,线面角和面面角是高考重点考查内容.
例4(2012年湖北省八市高三三月联考理科第18题)
一个四棱锥的三视图如图2所示.
(Ⅰ)求证PA⊥BD;
(Ⅱ)在线段PD上是否存在一点Q,使二面角Q-AC-D的平面
点拨:线线角、线面角和面面角是立体几何中与角有关的主要问题,利用向量法解决此类问题可以避开抽象、复杂的寻找角的过程,只要能够准确理解和熟练应用下列公式就可以使此类问题巧妙获解.
3.与距离有关的存在性问题
长按或扫描二维码关注本公众号!
投稿邮箱:zoushengshu@163.com;
商务联系:13297228197。